Skip to main navigation Skip to main content
  • KSCN
  • E-Submission

CNR : Clinical Nutrition Research

OPEN ACCESS
ABOUT
BROWSE ARTICLES
EDITORIAL POLICIES
FOR CONTRIBUTORS

Page Path

  • HOME
  • BROWSE ARTICLES
  • Previous issues
8
results for

Previous issues

Article category

Keywords

Authors

Previous issues

Prev issue Next issue

Volume 4(2); April 2015

Review Article

[English]
Carbohydrates and Endothelial Function: Is a Low-Carbohydrate Diet or a Low-Glycemic Index Diet Favourable for Vascular Health?
Elena Jovanovski, Andreea Zurbau, Vladimir Vuksan
Clin Nutr Res 2015;4(2):69-75.   Published online April 24, 2015
DOI: https://doi.org/10.7762/cnr.2015.4.2.69

Low-carbohydrate diets have become increasingly popular in both media and clinical research settings. Although they may improve some metabolic markers, their effects on arterial function remain unclear. Endothelial dysfunction is the well-established response to cardiovascular risk factors and a pivotal feature that precedes atherosclerotic diseases. It has been demonstrated that a high carbohydrate-induced hyperglycemia and subsequent oxidative stress acutely worsen the efficacy of the endothelial vasodilatory system. Thus, in theory, a carbohydrate restricted diet may preserve the integrity of the arterial system. This review attempts to provide insight on whether low-carbohydrate diets have a favorable or detrimental impact on vascular function, or it is perhaps the quality of carbohydrate that should direct dietary recommendations. Research to date suggests that diets low in carbohydrate amount may negatively impact vascular endothelial function. Conversely, it appears that maintaining recommended carbohydrate intake with utilization of low glycemic index foods generates a more favorable vascular profile. Understanding these relationships will aid in deciphering the diverging role of modulating quantity and quality of carbohydrates on cardiovascular risk.

Citations

Citations to this article as recorded by  
  • Effects of Single Low-Carbohydrate, High-Fat Meal Consumption on Postprandial Lipemia and Markers of Endothelial Dysfunction: A Systematic Review of Current Evidence
    Megan L Wilson, Katie E Lane, Abdulmannan Fadel, Ellen A Dawson, Ella Moore, Mohsen Mazidi, Richard J Webb, Ian G Davies
    Nutrition Reviews.2025; 83(3): e1049.     CrossRef
  • Влияние диеты с низким гликемическим индексом на краткосрочные исходы у пациентов с ишемической болезнью сердца после чрескожного коронарного вмешательства
    Б.А. Аляви, Д.Д. Пайзиев, Ж.К. Узоков, Э.Н. Ташкентбаева
    Кардиология в Беларуси.2025; 17(5): 674.     CrossRef
  • Coculture to vascularization transition in bioengineered skin grafts through VEGF-associated pathways tracked by exosomal biomarkers
    Shalini Dasgupta, Ananya Barui
    Biomaterials Science.2025; 13(6): 1464.     CrossRef
  • Effects of the Mediterranean diet on the secondary prevention of cardiovascular diseases: a systematic review of randomised controlled trials
    Roghayeh Molani-Gol, Maryam Rafraf
    International Journal of Food Sciences and Nutrition.2025; 76(3): 226.     CrossRef
  • The relationship between low-carbohydrate diet score, dietary macronutrient intake, and rheumatoid arthritis: results from NHANES 2011–2016
    Wenqiang Zhan, Ruiqiang Li, Xingxing Xu
    Clinical Rheumatology.2025; 44(1): 171.     CrossRef
  • Effects of Weight Loss on Endothelium and Vascular Homeostasis: Impact on Cardiovascular Risk
    Margherita Tiezzi, Francesco Vieceli Dalla Sega, Paolo Gentileschi, Michela Campanelli, Domenico Benavoli, Elena Tremoli
    Biomedicines.2025; 13(2): 381.     CrossRef
  • A bibliometric and visual analysis of low carbohydrate diet
    Gang Lu, Xin Huang, Chun Lin, Lijuan Zou, Huashan Pan
    Frontiers in Nutrition.2023;[Epub]     CrossRef
  • The association between low carbohydrate diet scores and cardiometabolic risk factors in Chinese adults
    Jiaqi Wang, Shuaishuai Lv, Yutian Zhou, Yan Sun, Huichen Zhu, Guochao Yan, Yan Wu, Yuxia Ma
    British Journal of Nutrition.2023; 129(2): 324.     CrossRef
  • Lipophagy mediated glucose-induced changes of lipid deposition and metabolism via ROS dependent AKT-Beclin1 activation
    Li-Xiang Wu, Yi-Chuang Xu, Christer Hogstrand, Tao Zhao, Kun Wu, Yi-Huan Xu, Wei Liu, Zhi Luo
    The Journal of Nutritional Biochemistry.2022; 100: 108882.     CrossRef
  • Postprandial Dried Blood Spot–Based Nutritional Metabolomic Analysis Discriminates a High-Fat, High-Protein Meat-Based Diet from a High Carbohydrate Vegan Diet: A Randomized Controlled Crossover Trial
    Megan McNairn, Alex Brito, Kayla Dillard, Hannah Heath, Matthew Pantaleon, Rob Fanter, Kari Pilolla, Samir Amin, Michael R. La Frano
    Journal of the Academy of Nutrition and Dietetics.2021; 121(5): 931.     CrossRef
  • Impact of Nutrition on Cardiovascular Function
    Vittorio Emanuele Bianchi
    Current Problems in Cardiology.2020; 45(1): 100391.     CrossRef
  • Associations between Dietary Glycemic Index and Glycemic Load Values and Cardiometabolic Risk Factors in Adults: Findings from the China Health and Nutrition Survey
    Minjuan Li, Zhixin Cui, Shuangli Meng, Ting Li, Tong Kang, Qi Ye, Mengting Cao, Yuxin Bi, Huicui Meng
    Nutrients.2020; 13(1): 116.     CrossRef
  • Efficacy of Isomaltulose Compared to Sucrose in Modulating Endothelial Function in Overweight Adults
    Eric de Groot, Lisa Schweitzer, Stephan Theis
    Nutrients.2020; 12(1): 141.     CrossRef
  • Effects of a 3-Week In-Hospital Body Weight Reduction Program on Cardiovascular Risk Factors, Muscle Performance, and Fatigue: A Retrospective Study in a Population of Obese Adults with or without Metabolic Syndrome
    Antonello E. Rigamonti, Sabrina Cicolini, Diana Caroli, Alessandra De Col, Massimo Scacchi, Silvano G. Cella, Alessandro Sartorio
    Nutrients.2020; 12(5): 1495.     CrossRef
  • Mediterranean diet and endothelial function in patients with coronary heart disease: An analysis of the CORDIOPREV randomized controlled trial
    Elena M. Yubero-Serrano, Carolina Fernandez-Gandara, Antonio Garcia-Rios, Oriol A. Rangel-Zuñiga, Francisco M. Gutierrez-Mariscal, Jose D. Torres-Peña, Carmen Marin, Javier Lopez-Moreno, Justo P. Castaño, Javier Delgado-Lista, Jose M. Ordovas, Pablo Perez
    PLOS Medicine.2020; 17(9): e1003282.     CrossRef
  • Alpha-Cyclodextrin Attenuates the Glycemic and Insulinemic Impact of White Bread in Healthy Male Volunteers
    Albert Bär, Ioannis Diamantis, Werner P. Venetz
    Foods.2020; 9(1): 62.     CrossRef
  • Effect of high-carbohydrate or high‐monounsaturated fatty acid diets on blood pressure: a systematic review and meta-analysis of randomized controlled trials
    Elena Jovanovski, Any de Castro Ruiz Marques, Dandan Li, Hoang V T Ho, Sonia Blanco Mejia, John L Sievenpiper, Andreea Zurbau, Allison Komishon, Lea Duvnjak, Roberto B Bazotte, Vladimir Vuksan
    Nutrition Reviews.2019; 77(1): 19.     CrossRef
  • Association of low-carbohydrate diet score with overweight, obesity and cardiovascular disease risk factors: a cross-sectional study in Iranian women
    Soudeh Jafari-Maram, Elnaz Daneshzad, Neil R. Brett, Nick Bellissimo, Leila Azadbakht
    Journal of Cardiovascular and Thoracic Research.2019; 11(3): 216.     CrossRef
  • Acute effect of equicaloric meals varying in glycemic index and glycemic load on arterial stiffness and glycemia in healthy adults: a randomized crossover trial
    Andreea Zurbau, Alexandra L. Jenkins, Elena Jovanovski, Fei Au-Yeung, Emma A. Bateman, Christy Brissette, Thomas M. S. Wolever, Amir Hanna, Vladimir Vuksan
    European Journal of Clinical Nutrition.2019; 73(1): 79.     CrossRef
  • Effect of carbohydrate restriction-induced weight loss on aortic pulse wave velocity in overweight men and women
    Majid M. Syed-Abdul, Qiong Hu, Miriam Jacome-Sosa, Jaume Padilla, Camila Manrique-Acevedo, Colette Heimowitz, Elizabeth J. Parks
    Applied Physiology, Nutrition, and Metabolism.2018; 43(12): 1247.     CrossRef
  • A serving of blueberry (V. corymbosum) acutely improves peripheral arterial dysfunction in young smokers and non-smokers: two randomized, controlled, crossover pilot studies
    Cristian Del Bo’, Valeria Deon, Jonica Campolo, Claudia Lanti, Marina Parolini, Marisa Porrini, Dorothy Klimis-Zacas, Patrizia Riso
    Food & Function.2017; 8(11): 4108.     CrossRef
  • Long-term effects of weight loss with a very-low carbohydrate, low saturated fat diet on flow mediated dilatation in patients with type 2 diabetes: A randomised controlled trial
    Thomas P. Wycherley, Campbell H. Thompson, Jonathan D. Buckley, Natalie D. Luscombe-Marsh, Manny Noakes, Gary A. Wittert, Grant D. Brinkworth
    Atherosclerosis.2016; 252: 28.     CrossRef
  • Long-Term Effects of a Randomised Controlled Trial Comparing High Protein or High Carbohydrate Weight Loss Diets on Testosterone, SHBG, Erectile and Urinary Function in Overweight and Obese Men
    Lisa J. Moran, Grant D. Brinkworth, Sean Martin, Thomas P. Wycherley, Bronwyn Stuckey, Janna Lutze, Peter M. Clifton, Gary A. Wittert, Manny Noakes, Neal Shore
    PLOS ONE.2016; 11(9): e0161297.     CrossRef
  • 10 View
  • 0 Download
  • 23 Crossref

Original Articles

[English]
Development of Job Standards for Clinical Nutrition Therapy for Dyslipidemia Patients
Min-Jae Kang, Jung-Sook Seo, Eun-Mi Kim, Mi-Sun Park, Mi-Hye Woo, Dal-Lae Ju, Gyung-Ah Wie, Song-Mi Lee, Jin-A Cha, Cheong-Min Sohn
Clin Nutr Res 2015;4(2):76-89.   Published online April 27, 2015
DOI: https://doi.org/10.7762/cnr.2015.4.2.76

Dyslipidemia has significantly contributed to the increase of death and morbidity rates related to cardiovascular diseases. Clinical nutrition service provided by dietitians has been reported to have a positive effect on relief of medical symptoms or reducing the further medical costs. However, there is a lack of researches to identify key competencies and job standard for clinical dietitians to care patients with dyslipidemia. Therefore, the purpose of this study was to analyze the job components of clinical dietitian and develop the standard for professional practice to provide effective nutrition management for dyslipidemia patients. The current status of clinical nutrition therapy for dyslipidemia patients in hospitals with 300 or more beds was studied. After duty tasks and task elements of nutrition care process for dyslipidemia clinical dietitians were developed by developing a curriculum (DACUM) analysis method. The developed job standards were pretested in order to evaluate job performance, difficulty, and job standards. As a result, the job standard included four jobs, 18 tasks, and 53 task elements, and specific job description includes 73 basic services and 26 recommended services. When clinical dietitians managing dyslipidemia patients performed their practice according to this job standard for 30 patients the job performance rate was 68.3%. Therefore, the job standards of clinical dietitians for clinical nutrition service for dyslipidemia patients proposed in this study can be effectively used by hospitals.

  • 4 View
  • 0 Download
[English]
Dietary Intake Assessment and Biochemical Characteristics of Blood and Urine in Patients with Chronic Gastritis
Mi-Kyeong Choi, Myung-Hwa Kang, Mi-Hyun Kim
Clin Nutr Res 2015;4(2):90-96.   Published online April 27, 2015
DOI: https://doi.org/10.7762/cnr.2015.4.2.90

Chronic gastritis is a prevalent gastroentestinal disease in Korea. The purpose of this study was to investigate status of foods and nutrients intake and health related biochemical indicators in the patients with chronic gastritis. Daily food and nutrient intake, blood lipids, and antioxidant indicators in the urine, were compared between a group of 19 patients diagnosed with chronic gastritis and a control group of 27 subjects having normal gastroscopy. No significant differences were found in age, height, weight, body mass index, and blood pressure between the two groups. Daily energy intakes were 1900.6 kcal for the chronic gastritis patient group, and 1931.8 kcal for the normal control group without significant difference. No significant difference was found between the two groups in all nutrient intakes except for cholesterol. The chronic gastritis patients consumed lower amount of sugars and sweeteners but greater amount of starchy food groups such as potatoes and legumes than subjects of control group consumed. Also the chronic gastritis patients showed higher serum triglyceride concentration than the normal subjects. These results indicate that the dietary pattern of chronic gastritis patients may have relation to a change in the serum lipid level; however, more systematic research with a larger samples size is required.

Citations

Citations to this article as recorded by  
  • Integrative analysis of serum lipids and chronic gastritis: causal insights from mendelian randomization and experimental models
    Xinqiao Chu, Yaning Biao, Hongzheng Li, Jian Chen, Jixiong Yin, Xingxing Gao, Shaoli Wang, Jizheng Ma, Liufeng Yi, Yixin Zhang, Muqing Zhang, Zhen Liu
    Lipids in Health and Disease.2025;[Epub]     CrossRef
  • Development and evaluation of dexamethasone-loaded bioadhesive polymeric nanocapsules for mitigating cardiac and gastric adverse effects of free dexamethasone
    Rania A. Abdel-Emam, Marwa F. Ali, Abeer S. Hassan, Rasha B. Abd-Ellatief
    Journal of Pharmaceutical Investigation.2024; 54(6): 825.     CrossRef
  • Study on knowledge of front-of-pack labeling and food group-based dietary intake among chronic gastritis patients
    Tejaswi Nagireddi, B Venkatashiva Reddy, Mounika Kollimarla, Veerabathina Kamala, Sai Subhakar Desu, Siva Santosh Kumar Pentapati, Rajeev Aravindakshan, Arti Gupta
    Journal of Family Medicine and Primary Care.2023; 12(9): 2128.     CrossRef
  • Association between the Dietary Inflammatory Index and Gastric Disease Risk: Findings from a Korean Population-Based Cohort Study
    Sundara Raj Sreeja, Trong-Dat Le, Bang Wool Eom, Seung Hyun Oh, Nitin Shivappa, James R. Hebert, Mi Kyung Kim
    Nutrients.2022; 14(13): 2662.     CrossRef
  • Spice Intake Among Chronic Gastritis Patients and Its Relationship With Blood Lipid Levels in South India
    Tejaswi Nagireddi, Venkatashiva Reddy B, Siva Santosh Kumar Pentapati, Sai Subhakar Desu, Rajeev Aravindakshan, Arti Gupta
    Cureus.2022;[Epub]     CrossRef
  • Zinc transporter SLC39A11 polymorphisms are associated with chronic gastritis in the Korean population: the possible effect on spicy food intake
    Eunyoung Ha, Ji-Hyun Bae
    Nutrition Research.2018; 57: 78.     CrossRef
  • 2 View
  • 0 Download
  • 6 Crossref
[English]
Glycated Hemoglobin is a Better Predictor than Fasting Glucose for Cardiometabolic Risk in Non-diabetic Korean Women
So Ra Yoon, Jae Hyang Lee, Ga Yoon Na, Yu Jeong Seo, Seongho Han, Min-Jeong Shin, Oh Yoen Kim
Clin Nutr Res 2015;4(2):97-103.   Published online April 24, 2015
DOI: https://doi.org/10.7762/cnr.2015.4.2.97

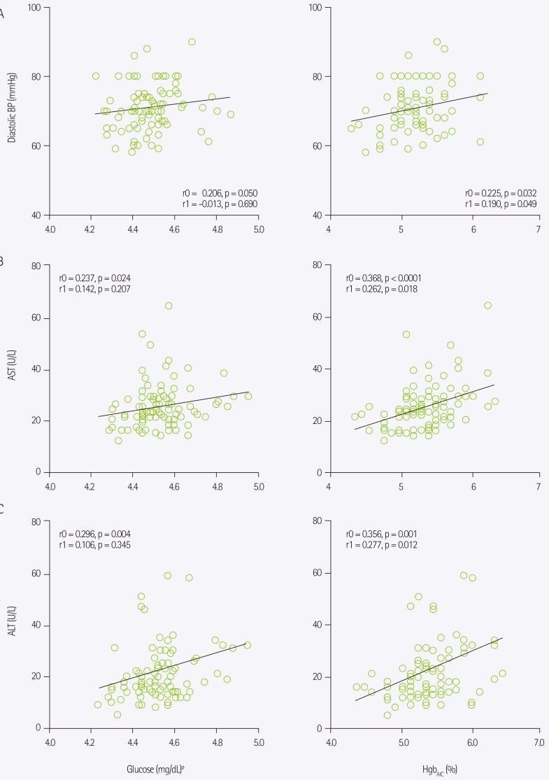
This study aimed to investigate if glycated hemoglobin (HgbA1C) as compared to fasting blood glucose is better for reflecting cardiometabolic risk in non-diabetic Korean women. Fasting glucose, HgbA1C and lipid profiles were measured in non-diabetic women without disease (n = 91). The relationships of fasting glucose or HgbA1C with anthropometric parameters, lipid profiles, and liver and kidney functions were analyzed. Both fasting glucose and HgbA1C were negatively correlated with HDL-cholesterol (r = -0.287, p = 0.006; r = -0.261, p = 0.012), and positively correlated with age (r = 0.202, p = 0.008; r = 0.221, p = 0.035), waist circumference (r = 0.296, p = 0.005; r = 0.304, p = 0.004), diastolic blood pressure (DBP) (r = 0.206, p = 0.050; r = 0.225, p = 0.032), aspartate transaminase (AST) (r = 0.237, p = 0.024; r = 0.368, p < 0.0001), alanine transaminase (ALT) (r = 0.296, p = 0.004; r = 0.356, p = 0.001), lipid profiles including triglyceride (r = 0.372, p < 0.001; r = 0.208, p = 0.008), LDL-cholesterol (r = 0.315, p = 0.002; r = 0.373, p < 0.0001) and total cholesterol (r = 0.310, p = 0.003; r = 0.284, p = 0.006). When adjusted for age and body mass index, significant relationships of DBP (r = 0.190, p = 0.049), AST (r = 0.262, p = 0.018), ALT (r = 0.277, p = 0.012), and HDL-cholesterol (r = -0.202, p = 0.049) with HgbA1C were still retained, but those with fasting glucose disappeared. In addition, the adjusted relationships of LDL-cholesterol and total cholesterol with HgbA1C were much greater than those with fasting glucose. These results suggest that glycated hemoglobin may be a better predictor than fasting glucose for cardiometabolic risk in non-diabetic Korean women.

Citations

Citations to this article as recorded by  
  • Factors related to reversal of prediabetes in patients from a cardiovascular risk program during 2019 - 2023
    Wilfredo Antonio Rivera-Martínez, Aura María Salazar-Solarte, Diana Marcela Sánchez-Machado, Lunévar Figueroa Torregrosa, Robinson Pacheco, Yesit Bolaños-Moreno, María Eugenia Casanova-Valderrama
    Cardiovascular Diabetology – Endocrinology Reports.2025;[Epub]     CrossRef
  • School Segregation and Health Across Racial Groups: A Life Course Study
    Amy Yunyu Chiang, Gabriel Schwartz, Rita Hamad
    Journal of Adolescent Health.2024; 75(2): 323.     CrossRef
  • Glycative Stress, Glycated Hemoglobin, and Atherogenic Dyslipidemia in Patients with Hyperlipidemia
    Chien-An Yao, Tsung-Yi Yen, Sandy Huey-Jen Hsu, Ta-Chen Su
    Cells.2023; 12(4): 640.     CrossRef
  • Effects of Non-periodized and Linear Periodized Combined Exercise Training on Insulin Resistance Indicators in Adults with Obesity: A Randomized Controlled Trial
    Anne Ribeiro Streb, Larissa dos Santos Leonel, Rodrigo Sudatti Delevatti, Cláudia Regina Cavaglieri, Giovani Firpo Del Duca
    Sports Medicine - Open.2021;[Epub]     CrossRef
  • Diabetes, Glycated Hemoglobin, and Risk of Cancer in the UK Biobank Study
    Rita Peila, Thomas E. Rohan
    Cancer Epidemiology, Biomarkers & Prevention.2020; 29(6): 1107.     CrossRef
  • Glycated Hemoglobin and Cancer Risk in Korean Adults: Results from Korean Genome and Epidemiology Study
    Ji Young Kim, Youn Sue Lee, Garam Jo, Min-Jeong Shin
    Clinical Nutrition Research.2018; 7(3): 170.     CrossRef
  • Roles of microRNA-124a and microRNA-30d in breast cancer patients with type 2 diabetes mellitus
    Shu Zhang, Ling-Ji Guo, Gang Zhang, Ling-Li Wang, Shuai Hao, Bo Gao, Yan Jiang, Wu-Guo Tian, Xian-E Cao, Dong-Lin Luo
    Tumor Biology.2016; 37(8): 11057.     CrossRef
  • 3 View
  • 0 Download
  • 7 Crossref
[English]
Weight Gain in Pregnancy, Maternal Age and Gestational Age in Relation to Fetal Macrosomia
Yi Li, Qi-Fei Liu, Dan Zhang, Ying Shen, Kui Ye, Han-Lin Lai, Hai-Qing Wang, Chuan-Lai Hu, Qi-Hong Zhao, Li Li
Clin Nutr Res 2015;4(2):104-109.   Published online April 13, 2015
DOI: https://doi.org/10.7762/cnr.2015.4.2.104

To investigate the possible risk factors related to macrosomia. Pregnant women and their newborns (n = 1041) were recruited from a cohort study in Maternal and Child Care Center of Hefei from January 2011 to July 2012. Questionnaires were applied to collect the demographic data besides the medical records. Detailed health records of the entire pregnancy were obtained using retrospective study. Meanwhile the data of neonatal outcomes was prospectively tracked. Associations between exposure risk factors and macrosomia were analyzed using Pearson's chi squared test. Logistic regression models were used to assess the independent association between these potential predictors and macrosomia. The incidence of macrosomia of this cohort was 11.24% of which male: female = 2.55:1. Male incidence (8.07%) of macrosomia was higher than female (3.17%), p < 0.001. Body mass index (BMI) before pregnancy (pre-BMI), maternal height, parity were not independently associated with macrosomia; multiple logistic regression analysis indicated that macrosomia was mainly independently associated with weight gain in pregnancy (OR=1.14, 95% CI [1.10-1.19]), maternal age (OR = 1.09, 95% CI [1.03-1.15]) and gestational age (OR = 1.62, 95% CI [1.31-1.99]), respectively. Our findings indicate that weight gain in pregnancy, maternal age and gestational age should be considered as independent risk factors for macrosomia.

Citations

Citations to this article as recorded by  
  • Association of postpartum weight retentions at 4 weeks with large-for-gestational-age infants in the second pregnancy: the Japan environment and children’s study
    Satoshi Shinohara, Reiji Kojima, Sanae Otawa, Megumi Kushima, Kunio Miyake, Hideki Yui, Tadao Ooka, Hiroshi Yokomichi, Zentaro Yamagata, Ryoji Shinohara, Michihiro Kamijima, Shin Yamazaki, Maki Fukami, Reiko Kishi, Chiharu Ota, Koichi Hashimoto, Chisato M
    Journal of Diabetes & Metabolic Disorders.2025;[Epub]     CrossRef
  • Metformin use in gestational diabetes is not associated with an increased risk of preterm labor and small for gestational age infants compared to diet control alone
    Ashton D’Souza, Hala Abdullahi, Fariada Badri, Ibrahim Ibrahim
    BMC Pregnancy and Childbirth.2025;[Epub]     CrossRef
  • The mediating effects of gestational diabetes mellitus and hypertensive disorders of pregnancy between maternal advanced age, previous caesarean section and the risk of small- or large-for-gestational-age newborns: a multicentric prospective cohort study
    Lihua Lin, Bin Sun, Xiaomei Wang, Ronghua Zhang, Juan Lin, Jianying Yan
    Journal of Global Health.2025;[Epub]     CrossRef
  • Interpregnancy weight change as a potential risk factor for large-for-gestational-age infants: the Japan Environment and Children’s Study
    Satoshi Shinohara, Sayaka Horiuchi, Ryoji Shinohara, Sanae Otawa, Megumi Kushima, Kunio Miyake, Hideki Yui, Reiji Kojima, Tadao Ooka, Yuka Akiyama, Hiroshi Yokomichi, Zentaro Yamagata
    The Journal of Maternal-Fetal & Neonatal Medicine.2023;[Epub]     CrossRef
  • Trends and associated factors of intergenerational obesity mother-child pairs in low-income households in Malaysia: Evidence from the National Health and Morbidity Survey.
    Nur Nadia Mohamed, A. J. Rohana, Noor Aman A Hamid, Frank B Hu, Vasanti S Malik, Muhammad Fadhli Mohd Yusoff, Tahir Aris
    Current Research in Nutrition and Food Science Journal.2022; 10(2): 669.     CrossRef
  • The effect of adolescent and advanced-age pregnancies on maternal and early neonatal clinical data
    Pinar Yavuz, Mustafa Taze, Ozgul Salihoglu
    The Journal of Maternal-Fetal & Neonatal Medicine.2022; 35(25): 7399.     CrossRef
  • Effective Macrosomia Prediction Using Random Forest Algorithm
    Fangyi Wang, Yongchao Wang, Xiaokang Ji, Zhiping Wang
    International Journal of Environmental Research and Public Health.2022; 19(6): 3245.     CrossRef
  • Evaluation of the factors affecting newborn weight
    Duygu VURALLI, Mete SUCU, Nazlı TOTİK DOĞAN
    Cukurova Medical Journal.2022; 47(1): 233.     CrossRef
  • Pregnancy weight gain may affect perinatal outcomes, quality of life during pregnancy, and child-bearing expenses: an observational cohort study
    Ching-Chung Liang, Minston Chao, Shuenn-Dhy Chang, Sherry Yueh-Hsia Chiu
    Archives of Gynecology and Obstetrics.2021; 304(3): 599.     CrossRef
  • Association between false positive glucose challenge test results and large-for-gestational-age infants: a retrospective cohort study
    Satoshi Shinohara, Atsuhito Amemiya, Motoi Takizawa
    BMJ Open.2020; 10(2): e034627.     CrossRef
  • Metformin-treated-GDM has lower risk of macrosomia compared to diet-treated GDM- a retrospective cohort study
    Mohammed Bashir, Mahmoud Aboulfotouh, Zeinab Dabbous, Marwa Mokhtar, Mashhood Siddique, Ramy Wahba, Amin Ibrahim, Sanam Al-Houda Brich, Justin C. Konje, Abdul-Badi Abou-Samra
    The Journal of Maternal-Fetal & Neonatal Medicine.2020; 33(14): 2366.     CrossRef
  • Maternal body mass index and risk of neonatal adverse outcomes in China: a systematic review and meta-analysis
    Lei Liu, Yanan Ma, Ningning Wang, Wenjing Lin, Yang Liu, Deliang Wen
    BMC Pregnancy and Childbirth.2019;[Epub]     CrossRef
  • Metabolic profiling of umbilical cord blood in macrosomia
    H Sun, Y C Wang, C C Wang, X X Xu, Y H Wang, H T Yan, X J Yang
    International Journal of Obesity.2018; 42(4): 679.     CrossRef
  • Trend and risk factors of low birth weight and macrosomia in south China, 2005–2017: a retrospective observational study
    Jiaming Rao, Dazhi Fan, Shuzhen Wu, Dongxin Lin, Huishan Zhang, Shaoxin Ye, Xin Luo, Lijuan Wang, Jianwei Yang, Minhui Pang, Jiayi Zhang, Qing Xia, Xiaoke Yang, Wen Wang, Yao Fu, Yan Liu, Xiaoling Guo, Zhengping Liu
    Scientific Reports.2018;[Epub]     CrossRef
  • The association between cooking oil fume exposure during pregnancy and birth weight: A prospective mother-child cohort study
    Lingling Wang, Weiyue Hu, Quanquan Guan, Guizhen Du, Ting Chen, Wei Wu, Yun Wang, Xinru Wang, Yankai Xia
    Science of The Total Environment.2018; 612: 822.     CrossRef
  • Examination of the relationships between different birthweights and various gestational parameters
    Özgül Özgan Çelikel, Nurkan AKSOY
    Journal of Surgery and Medicine.2018;[Epub]     CrossRef
  • Low birth weight and macrosomia in Tigray, Northern Ethiopia: who are the mothers at risk?
    Hayelom Gebrekirstos Mengesha, Alem Desta Wuneh, Berhe Weldearegawi, Divya L. Selvakumar
    BMC Pediatrics.2017;[Epub]     CrossRef
  • The evaluation of the low risk pregnant women who gave birth to macrosomic infants
    Ali Özgür Ersoy, Efser Öztaş, Sibel Özler, Ebru Ersoy, Hasan Onur Topçu, Rahime Bedir Fındık, Yasemin Taşçı
    Journal of Clinical and Experimental Investigations.2017;[Epub]     CrossRef
  • 3 View
  • 0 Download
  • 18 Crossref
[English]
Associations of Colorectal Cancer Incidence with Nutrient and Food Group Intakes in Korean Adults: A Case-Control Study
Yu Jeong Chun, Seung-Kook Sohn, Hye Kyung Song, Song Mi Lee, Young Hoon Youn, Seungmin Lee, Hyojin Park
Clin Nutr Res 2015;4(2):110-123.   Published online April 30, 2015
DOI: https://doi.org/10.7762/cnr.2015.4.2.110

This study aimed to examine the associations between intakes of various nutrients and food groups and colorectal cancer risk in a case-control study among Koreans aged 20 to 80 years. A total of 150 new cases and 116 controls were recruited with subjects' informed consent. Dietary data were collected using the food frequency questionnaire developed and validated by the Korea Centers for Disease Control and Prevention. Multivariate logistic regression models were used to estimate odds ratios (ORs) and corresponding 95% confidence intervals (CIs) for colorectal cancer incidence. High intakes of total lipid (ORT3 vs T1 = 4.15, 95% CI: 1.33-12.96, p for trend = 0.034), saturated fatty acid (ORT3 vs T1 = 2.96, 95% CI: 1.24-7.04, p for trend = 0.016) and monounsaturated fatty acid (ORT3 vs T1 = 3.04, 95% CI: 1.23-7.54, p for trend = 0.018) were significantly associated with increased incidence of colorectal cancer. High dietary fiber (ORT3 vs T1 = 0.22, 95% CI: 0.08-0.56, p for trend = 0.002) and vitamin C (ORT3 vs T1 = 0.38, 95% CI: 0.14-1.05, p for trend = 0.021) intakes were significantly associated with reduced colorectal cancer incidence. From the food group analysis, bread (ORT3 vs T1 = 2.26, 95% CI: 0.96-5.33, p for trend = 0.031), red meat (ORT3 vs T1 = 7.33, 95% CI: 2.98-18.06, p for trend < 0.001), milk·dairy product (ORT3 vs T1 = 2.42, 95% CI: 1.10-5.31, p for trend = 0.071) and beverage (ORT3 vs T1 = 3.17, 95% CI: 1.35-7.48, p for trend = 0.002) intakes were positively associated with colorectal cancer risk. On the other hand, high intake of traditional rice cake (ORT3 vs T1 = 0.35, 95% CI: 0.14-0.86, p for trend = 0.024) was linked with lower colorectal cancer incidence. In conclusion, eating a diet high in total lipid, saturated fatty acids and monounsaturated fatty acids is associated with higher incidence of colorectal cancer, whereas a diet high in dietary fiber and vitamin C was found to lower the incidence in Korean adults. Interestingly high traditional rice cake consumption is associated inversely with colorectal cancer incidence, warranting a future study.

Citations

Citations to this article as recorded by  
  • From surviving to thriving: How sleep, physical activity, and diet shape well-being in young adults
    Jack R.H. Cooper, Robin S. Turner, Tamlin S. Conner, Elma Izze Da Silva Magalhães
    PLOS One.2025; 20(8): e0329689.     CrossRef
  • Dietary monounsaturated fatty acids in relation to risk of gastric cancer
    Ngoan Tran Le, Yen Thi-Hai Pham, Linh Thuy Le, Dai Duc Nguyen, Xingyi Guo, Hung N. Luu
    European Journal of Nutrition.2025;[Epub]     CrossRef
  • Obesity as a Systems‐Level Driver of Cancer: Mechanisms and Nutritional Reprogramming
    Camelia Munteanu, Danny N. Dhanasekaran
    Obesity Reviews.2025;[Epub]     CrossRef
  • Africa’s contribution to global sustainable and healthy diets: a scoping review
    Ruth Oniang’o, Zadok Maingi, Silvester Jaika, Silvenus Konyole
    Frontiers in Nutrition.2025;[Epub]     CrossRef
  • THE ROLE OF DIETARY PATTERNS AND NUTRIENTS IN SCHIZOPHRENIA: A LITERATURE REVIEW
    Natalia Kraciuk, Alicja Bury, Karol Bartecki, Małgorzata Piekarska-Kasperska, Aleksandra Maciejczyk, Katarzyna Krupa, Julia Błoniecka, Kacper Jankowski, Anna Daniel
    International Journal of Innovative Technologies in Social Science.2025;[Epub]     CrossRef
  • How the Western Diet Thwarts the Epigenetic Efforts of Gut Microbes in Ulcerative Colitis and Its Association with Colorectal Cancer
    Avisek Majumder, Shabana Bano
    Biomolecules.2024; 14(6): 633.     CrossRef
  • Dietary medium-chain fatty acids and risk of incident colorectal cancer in a predominantly low-income population: a report from the Southern Community Cohort Study
    Lei Fan, Xiangzhu Zhu, Qingxia Chen, Xiang Huang, Mark D Steinwandel, Martha J Shrubsole, Qi Dai
    The American Journal of Clinical Nutrition.2024; 119(1): 7.     CrossRef
  • Association of saturated fatty acids with cancer risk: a systematic review and meta-analysis
    Jin Mei, Meiyu Qian, Yanting Hou, Maodi Liang, Yao Chen, Cuizhe Wang, Jun Zhang
    Lipids in Health and Disease.2024;[Epub]     CrossRef
  • THE EFFECT OF LOW-FIBER DIETS ON COLORECTAL CANCER INCIDENCE IN SOUTHEAST AND EAST ASIA: SYSTEMATIC REVIEW AND META-ANALYSIS
    Tia Eka Novianti, Qonita Rachmah, Merryana Adriani
    The Indonesian Journal of Public Health.2023; 18(2): 353.     CrossRef
  • Dietary intake and cancer incidence in Korean adults: a systematic review and meta-analysis of observational studies
    Ji Hyun Kim, Shinyoung Jun, Jeongseon Kim
    Epidemiology and Health.2023; 45: e2023102.     CrossRef
  • Global Impacts of Western Diet and Its Effects on Metabolism and Health: A Narrative Review
    Vicente Javier Clemente-Suárez, Ana Isabel Beltrán-Velasco, Laura Redondo-Flórez, Alexandra Martín-Rodríguez, José Francisco Tornero-Aguilera
    Nutrients.2023; 15(12): 2749.     CrossRef
  • Serum Saturated Fatty Acids including Very Long-Chain Saturated Fatty Acids and Colorectal Cancer Risk among Chinese Population
    Qixin Wu, Dandan Shi, Ting Dong, Zhuolin Zhang, Qingjian Ou, Yujing Fang, Caixia Zhang
    Nutrients.2023; 15(8): 1917.     CrossRef
  • Association between Dietary Fatty Acid Patterns and Colorectal Cancer Risk: A Large-Scale Case-Control Study in China
    Kexin Tu, Ting Ma, Ruolin Zhou, Lei Xu, Yujing Fang, Caixia Zhang
    Nutrients.2022; 14(20): 4375.     CrossRef
  • Dietary fat and fatty acids in relation to risk of colorectal cancer
    Yi Wan, Kana Wu, Liang Wang, Kanhua Yin, Mingyang Song, Edward L. Giovannucci, Walter C. Willett
    European Journal of Nutrition.2022; 61(4): 1863.     CrossRef
  • A Critical Review of the Effect of Dietary Fiber Intake on the Prevention of Colorectal Cancer in Eastern Asian Countries
    Yunfan Yang, Li Yang, Liping Zhou, Siyuan Tang, Saverio Maietta
    Journal of Healthcare Engineering.2021; 2021: 1.     CrossRef
  • Phytochemically rich dietary components and the risk of colorectal cancer: A systematic review and meta-analysis of observational studies
    Pia Borgas, Guadalupe Gonzalez, Kirill Veselkov, Reza Mirnezami
    World Journal of Clinical Oncology.2021; 12(6): 482.     CrossRef
  • Munching microbes: diet–microbiome interactions shape gut health and cancer outcomes
    Emma Todd, Reem Elnour, Rebecca Simpson, Miguel Castaneda, Erin R Shanahan
    Microbiology Australia.2021; 42(2): 60.     CrossRef
  • The relationship between the index of nutritional quality and the risk of colorectal cancer and adenoma : a case-control study
    Alireza Bahrami, Pegah Rafiee, Saeede Jafari Nasab, Azita Hekmatdoost, Golbon Sohrab, Amir Sadeghi, Ehsan Hejazi
    European Journal of Cancer Prevention.2020; 29(3): 222.     CrossRef
  • Behavioral, Nutritional, and Genetic Risk Factors of Colorectal Cancers in Morocco: Protocol for a Multicenter Case-Control Study
    Meimouna Mint Sidi Ould Deoula, Inge Huybrechts, Khaoula El Kinany, Hanae Boudouaya, Zineb Hatime, Achraf El Asri, Abdelilah Benslimane, Chakib Nejjari, Ibrahimi Sidi Adil, Karima El Rhazi
    JMIR Research Protocols.2020; 9(1): e13998.     CrossRef
  • Effect of diet and intestinal AhR expression on fecal microbiome and metabolomic profiles
    Fang Yang, Jennifer A. A. DeLuca, Rani Menon, Erika Garcia-Vilarato, Evelyn Callaway, Kerstin K. Landrock, Kyongbum Lee, Stephen H. Safe, Robert S. Chapkin, Clinton D. Allred, Arul Jayaraman
    Microbial Cell Factories.2020;[Epub]     CrossRef
  • Nut and peanut butter intake and the risk of colorectal cancer and its anatomical and molecular subtypes: the Netherlands Cohort Study
    Lisette Nieuwenhuis, Colinda C J M Simons, Matty P Weijenberg, Piet A van den Brandt
    Carcinogenesis.2020; 41(10): 1368.     CrossRef
  • Colon Carcinogenesis: The Interplay Between Diet and Gut Microbiota
    Yean Leng Loke, Ming Tsuey Chew, Yun Fong Ngeow, Wendy Wan Dee Lim, Suat Cheng Peh
    Frontiers in Cellular and Infection Microbiology.2020;[Epub]     CrossRef
  • Association Between Dairy Product Consumption and Colorectal Cancer Risk in Adults: A Systematic Review and Meta-Analysis of Epidemiologic Studies
    Laura Barrubés, Nancy Babio, Nerea Becerra-Tomás, Núria Rosique-Esteban, Jordi Salas-Salvadó
    Advances in Nutrition.2019; 10: S190.     CrossRef
  • Dietary Fat Intake and Risk of Colorectal Cancer: A Systematic Review and Meta-Analysis of Prospective Studies
    Minkyeong Kim, Kyong Park
    Nutrients.2018; 10(12): 1963.     CrossRef
  • Thirty-seven-year Population-based Study of Colorectal Cancer Rates in Renal Transplant Recipients in Ireland
    A. Balhareth, I.S. Reynolds, J.G. Solon, E. Gibbons Harte, F. Boland, J.M. O'Sullivan, J.P. Burke, D. Little, D.A. McNamara
    Transplantation Proceedings.2018; 50(10): 3434.     CrossRef
  • The relationship between nut intake and risk of colorectal cancer: a case control study
    Jeeyoo Lee, Aesun Shin, Jae Hwan Oh, Jeongseon Kim
    Nutrition Journal.2018;[Epub]     CrossRef
  • Dietary patterns and colorectal cancer risk in a Korean population
    Yoon Park, Jeonghee Lee, Jae Hwan Oh, Aesun Shin, Jeongseon Kim
    Medicine.2016; 95(25): e3759.     CrossRef
  • Meat and milk intake in the rice-based Korean diet: impact on cancer and metabolic syndrome
    Shinyoung Jun, Kyungho Ha, Sangwon Chung, Hyojee Joung
    Proceedings of the Nutrition Society.2016; 75(3): 374.     CrossRef
  • The relationship between peripheral blood mononuclear cells telomere length and diet - unexpected effect of red meat
    Marek Kasielski, Makandjou-Ola Eusebio, Mirosława Pietruczuk, Dariusz Nowak
    Nutrition Journal.2015;[Epub]     CrossRef
  • 4 View
  • 0 Download
  • 29 Crossref
[English]
Efficacy of Cistanche Tubulosa and Laminaria Japonica Extracts (MK-R7) Supplement in Preventing Patterned Hair Loss and Promoting Scalp Health
Joon Seok, Tae Su Kim, Hyun Jung Kwon, Sung Pyo Lee, Myung Hwa Kang, Beom Joon Kim, Myeung Nam Kim
Clin Nutr Res 2015;4(2):124-131.   Published online April 27, 2015
DOI: https://doi.org/10.7762/cnr.2015.4.2.124

Cistanche tubulosa and Laminaria japonica have been reported to have anti-oxidative, anticoagulant, anti-cancer and anti-inflammatory properties. They are expected to be a promising candidates for promoting hair growth and treating dandruff and scalp inflammation as a consequence. In this double-blinded, placebo-controlled clinical trial, we investigated the efficacy of Cistanche tubulosa extract and Laminaria japonica extract complex (MK-R7) in promoting hair health in patients with mild to moderate patterned hair loss. Using phototrichogram (Folliscope 4.0, LeadM, Seoul, Korea), we compared the density and diameter of hairs in patients receiving a placebo or Cistanche tubulosa extract and Laminaria japonica extract complex (MK-R7) at baseline, 8 and 16 weeks of the study. In order to determine the efficacy of treatment on dandruff and scalp inflammation, investigator's assessment score and patient's subjective score were also performed. We found a statistically significant increase in the hair density of the test group (n = 45, MK-R7 400 mg) after 16 weeks of consuming the MK-R7 (test group: 23.29 n/cm2 ± 24.26, control: 10.35 n/cm2 ± 20.08, p < 0.05). In addition, we found a statistically significant increase in hair diameter in the test group compared to control group at week 16 (test group: 0.018 mm ± 0.015, control: 0.003 mm ± 0.013, p < 0.05). There were also significant outcomes regarding the investigator's visual assessment and patient's subjective score of dandruff and scalp inflammation in the test group compared to those in control group. Based on the results of this clinical study, we conclude that Cistanche tubulosa extract and Laminaria japonica extract complex (MK-R7) are promising substances for promoting health of the scalp and hair.

Citations

Citations to this article as recorded by  
  • Effects of dietary supplements on androgenetic alopecia: a systematic review and network meta-analysis
    Lei Zhou, Wenkang Zhu, Yan Chen
    Frontiers in Nutrition.2026;[Epub]     CrossRef
  • Role of Polyphenols in Dermatological Diseases: Exploring Pharmacotherapeutic Mechanisms and Clinical Implications
    Juan Salazar, Ángel Ortega, José Luis Pérez, Bermary Garrido, Raquel Santeliz, Néstor Galbán, Maria Paula Díaz, Raquel Cano, Gabriel Cano, Julio Cesar Contreras-Velasquez, Maricarmen Chacín
    Pharmaceuticals.2025; 18(2): 247.     CrossRef
  • Enhancing hair growth through phytochemicals: mechanisms, supporting evidence, and future directions
    Rasaq Onikola, Aminat Mohammed, Ridwan Shittu, Habiba Nazir, Lianyan Wang
    Journal of Pharmacy and Pharmacology.2025; 77(7): 897.     CrossRef
  • Alginic acid, a functional dietary ingredient derived from Ecklonia maxima stipe, attenuates the pro-inflammatory responses on particulate matter-induced lung macrophages
    D.P. Nagahawatta, Hyo-Geun Lee, N.M. Liyanage, H.H.A.C.K. Jayawardhana, Lei Wang, Hyun-Soo Kim, You-Jin Jeon
    Journal of Functional Foods.2023; 104: 105539.     CrossRef
  • Dietary marine-derived ingredients for stimulating hair cell cycle
    Aleksandra Augustyniak, Helena Mc Mahon
    Biomedicine & Pharmacotherapy.2023; 163: 114838.     CrossRef
  • Fucoidan from Sargassum autumnale Inhibits Potential Inflammatory Responses via NF-κB and MAPK Pathway Suppression in Lipopolysaccharide-Induced RAW 264.7 Macrophages
    N. M. Liyanage, Hyo-Geun Lee, D. P. Nagahawatta, H. H. A. C. K. Jayawardhana, Kyung-Mo Song, Yun-Sang Choi, You-Jin Jeon, Min-Cheol Kang
    Marine Drugs.2023; 21(7): 374.     CrossRef
  • Anti-Fine Dust Effect of Fucoidan Extracted from Ecklonia maxima Leaves in Macrophages via Inhibiting Inflammatory Signaling Pathways
    D.P. Nagahawatta, N.M. Liyanage, H.H.A.C.K. Jayawardhana, Hyo-Geun Lee, Thilina Jayawardena, You-Jin Jeon
    Marine Drugs.2022; 20(7): 413.     CrossRef
  • Investigation of hepatoprotective effect of some algae species on carbon tetrachloride-induced liver injury in rats
    F. Altinok-Yipel, I. O. Tekeli, S. Y. Ozsoy, M. Guvenc, S. Sayin, M. Yipel
    Archives of Physiology and Biochemistry.2020; 126(5): 463.     CrossRef
  • Herba Cistanche (Rou Cong Rong): A Review of Its Phytochemistry and Pharmacology
    Huibo Lei, Xinyu Wang, Yuhao Zhang, Taofang Cheng, Rui Mi, Xike Xu, Xianpeng Zu, Weidong Zhang
    Chemical and Pharmaceutical Bulletin.2020; 68(8): 694.     CrossRef
  • The protective mechanisms of macroalgae Laminaria japonica consumption against lipid metabolism disorders in high-fat diet-induced hyperlipidemic rats
    Qing Zhang, Xiao-Yun Fan, Wei-Ling Guo, Ying-Jia Cao, Yi-Chen Lin, Wen-Jian Cheng, Li-Jiao Chen, Ping-Fan Rao, Li Ni, Xu-Cong Lv
    Food & Function.2020; 11(4): 3256.     CrossRef
  • The Potential Role of Nutraceuticals as an Adjuvant in Breast Cancer Patients to Prevent Hair Loss Induced by Endocrine Therapy
    Giorgio Dell’Acqua, Aleksander Richards, M. Julie Thornton
    Nutrients.2020; 12(11): 3537.     CrossRef
  • Hair Growth Promotion by Extracts of Inula Helenium and Caesalpinia Sappan Bark in Patients with Androgenetic Alopecia: A Pre-clinical Study Using Phototrichogram Analysis
    Hyoung Chul Choi, Gae Won Nam, Noh Hee Jeong, Bu Young Choi
    Cosmetics.2019; 6(4): 66.     CrossRef
  • Isolation and purification of fucoidan fraction in Turbinaria ornata from the Maldives; Inflammation inhibitory potential under LPS stimulated conditions in in-vitro and in-vivo models
    Thilina U. Jayawardena, I.P. Shanura Fernando, Won Woo Lee, K.K. Asanka Sanjeewa, Hyun-Soo Kim, Dae-Sung Lee, You-Jin Jeon
    International Journal of Biological Macromolecules.2019; 131: 614.     CrossRef
  • Cistanches Herba: An overview of its chemistry, pharmacology, and pharmacokinetics property
    Zhifei Fu, Xiang Fan, Xiaoying Wang, Xiumei Gao
    Journal of Ethnopharmacology.2018; 219: 233.     CrossRef
  • Herba Cistanches: Anti-aging
    Ningqun Wang, Shaozhen Ji, Hao Zhang, Shanshan Mei, Lumin Qiao, Xianglan Jin
    Aging and disease.2017; 8(6): 740.     CrossRef
  • Fucoidan inhibits lipopolysaccharide-induced inflammatory responses in RAW 264.7 macrophages and zebrafish larvae
    Jin-Woo Jeong, Su Jung Hwang, Min Ho Han, Dae-Sung Lee, Jong Su Yoo, Il-Whan Choi, Hee-Jae Cha, Suhkmann Kim, Heui-Soo Kim, Gi-Young Kim, You-Jin Jeon, Hyo-Jong Lee, Hwan Tae Park, Young Hyun Yoo, Yung Hyun Choi
    Molecular & Cellular Toxicology.2017; 13(4): 405.     CrossRef
  • Molecular pathways related to the longevity promotion and cognitive improvement of Cistanche tubulosa in Drosophila
    Wei-Yong Lin, Chun Yao, Jack Cheng, Shung-Te Kao, Fuu-Jen Tsai, Hsin-Ping Liu
    Phytomedicine.2017; 26: 37.     CrossRef
  • 9 View
  • 0 Download
  • 17 Crossref
Case Report
[English]
Nutrition Therapy for Mitochondrial Neurogastrointestinal Encephalopathy with Homozygous Mutation of the TYMP Gene
Jing Wang, Wei Chen, Fang Wang, Dong Wu, Jiaming Qian, Junren Kang, Hailong Li, Enling Ma
Clin Nutr Res 2015;4(2):132-136.   Published online January 16, 2015
DOI: https://doi.org/10.7762/cnr.2015.4.2.132

Mitochondrial neurogastrointestinal encephalopathy (MNGIE) is characterized by significant gastrointestinal dysmotility. Early and long-term nutritional therapy is highly recommended. We report a case of MNGIE in a patient who was undergoing long-term nutrition therapy. The patient was diagnosed with a serious symptom of fatty liver and hyperlipidemia complications, along with homozygous mutation of the thymidine phosphorylase (TYMP) gene (c.217G > A). To our knowledge, this is the first report of such a case. Herein, we describe preventive measures for the aforementioned complications and mitochondrial disease-specific nutritional therapy.

Citations

Citations to this article as recorded by  
  • New Insights into Folate–Vitamin B12 Interactions
    Luisa F. Castillo, Caitlyn M. Pelletier, Katarina E. Heyden, Martha S. Field
    Annual Review of Nutrition .2025; 45(1): 23.     CrossRef
  • A CEBPB/TYMP/GDF15 signaling axis mediates tumor growth and cisplatin resistance in bladder cancer
    Shuo Tian, Chuang Wang, Xupeng Zhao, Yundong Xuan, Wenjie Wei, Yuhao Dong, Wen Tao, Chi Zhang, Tianwei Cai, Chunyu Liu, Yan Huang, Xu Zhang
    Translational Oncology.2025; 61: 102537.     CrossRef
  • Thymidine phosphorylase associates with DNA damage repair to facilitate stemness maintenance, chemoresistance, and immunosuppression in pan-cancer
    Pan Liao, Zhaoli Han, Bo Yan, Fanglian Chen, Ping Lei
    International Journal of Biological Macromolecules.2025; 319: 145707.     CrossRef
  • Nutritional management in MNGIE disease: A case report
    Tuğçe Kartal, Sema Uzunoğlu, İrem Kaplan, Fatma Derya Bulut, Deniz Kor, Neslihan Önenli Mungan
    Clinical Science of Nutrition.2025; 7(1): 63.     CrossRef
  • Untargeted Plasma Metabolomics Extends the Biomarker Profile of Mitochondrial Neurogastrointestinal Encephalomyopathy
    Bridget E. Bax, Sema Kalkan Uçar
    International Journal of Molecular Sciences.2025; 26(18): 9107.     CrossRef
  • Thymidine phosphorylase participates in platelet activation and promotes inflammation in rheumatoid arthritis
    Bo Cai, Zelin He, Dandan Liu, Yuping Zhang, Zikang Yin, Weijia Bao, Qiaoyi Le, Ju Shao, Hongyan Du, Ligang Jie
    Toxicology and Applied Pharmacology.2025; 495: 117217.     CrossRef
  • Expansion of the Phenotypic Spectrum of MNGIE: Lipodystrophy and Metabolic Alterations Associated with a p.Arg393_Val400dup TYMP Variant
    Donatella Gilio, Caterina Pelosini, Silvia Magno, Jacopo Maria Venanzi, Marta Daniotti, Melania Paoli, Lavinia Palladino, Maria Rita Sessa, Franco Ricci, Elena Procopio, Giovanni Ceccarini, Ferruccio Santini
    International Journal of Molecular Sciences.2025; 26(19): 9751.     CrossRef
  • Rare digestive disease: Mitochondrial neurogastrointestinal encephalomyopathy, review of the literature
    Ying Hao Sun, Xiao Yin Bai, Tao Guo, Si Yuan Fan, Ge Chong Ruan, Wei Xun Zhou, Hong Yang
    Journal of Digestive Diseases.2024; 25(9-10): 624.     CrossRef
  • Intensive nutrition support may benefit patients with a rare mitochondrial disorder
    Arezina Kasti, Maroulla Nikolaki, Ioannis Pyrousis, Kalliopi Synodinou, Nikolaos Oikonomopoulos, Konstantinos Triantafyllou
    Nutrition in Clinical Practice.2022; 37(2): 361.     CrossRef
  • Serviceability Properties of Solid Buoyancy Materials for Deep-Sea HOV
    Hailong Zhang, Guoliang Ma, Zhiwei Zhu, Antonio Gloria
    Advances in Materials Science and Engineering.2022; 2022: 1.     CrossRef
  • Loss of thymidine phosphorylase activity disrupts adipocyte differentiation and induces insulin-resistant lipoatrophic diabetes
    Jérémie Gautheron, Lara Lima, Baris Akinci, Jamila Zammouri, Martine Auclair, Sema Kalkan Ucar, Samim Ozen, Canan Altay, Bridget E. Bax, Ivan Nemazanyy, Véronique Lenoir, Carina Prip-Buus, Cécile Acquaviva-Bourdain, Olivier Lascols, Bruno Fève, Corinne Vi
    BMC Medicine.2022;[Epub]     CrossRef
  • Case report: A patient with mitochondrial neurogastrointestinal encephalomyopathy and chronic intestinal failure
    Ana Barisic, Dina Ljubas Kelecic, Darija Vranesic Bender, Irena Karas, Marko Brinar, Vladimir Miletic, Zeljko Krznaric
    Frontiers in Nutrition.2022;[Epub]     CrossRef
  • Cardiovascular Manifestations of Mitochondrial Disease
    Jason Duran, Armando Martinez, Eric Adler
    Biology.2019; 8(2): 34.     CrossRef
  • Safety and Efficacy of Erythrocyte Encapsulated Thymidine Phosphorylase in Mitochondrial Neurogastrointestinal Encephalomyopathy
    Michelle Levene, Murray D. Bain, Nicholas F. Moran, Niranjanan Nirmalananthan, Joanna Poulton, Mauro Scarpelli, Massimiliano Filosto, Hanna Mandel, Andrew D. MacKinnon, Lynette Fairbanks, Dario Pacitti, Bridget E Bax
    Journal of Clinical Medicine.2019; 8(4): 457.     CrossRef
  • Mitochondrial Neurogastrointestinal Encephalomyopathy: Into the Fourth Decade, What We Have Learned So Far
    Dario Pacitti, Michelle Levene, Caterina Garone, Niranjanan Nirmalananthan, Bridget E. Bax
    Frontiers in Genetics.2018;[Epub]     CrossRef
  • Cerebral Manifestations of Mitochondrial Disorders
    Josef Finsterer, Elmano Henrique Torres de Carvalho
    Canadian Journal of Neurological Sciences / Journal Canadien des Sciences Neurologiques.2017; 44(6): 654.     CrossRef
  • Mitochondrial Neurogastrointestinal Encephalomyopathy Caused by Thymidine Phosphorylase Enzyme Deficiency: From Pathogenesis to Emerging Therapeutic Options
    Rana Yadak, Peter Sillevis Smitt, Marike W. van Gisbergen, Niek P. van Til, Irenaeus F. M. de Coo
    Frontiers in Cellular Neuroscience.2017;[Epub]     CrossRef
  • Altered mitochondrial and peroxisomal integrity in lipocalin-2-deficient mice with hepatic steatosis
    Anastasia Asimakopoulou, Annabelle Fülöp, Erawan Borkham-Kamphorst, Eddy Van de Leur, Nikolaus Gassler, Thorsten Berger, Birte Beine, Helmut E. Meyer, Tak W. Mak, Carsten Hopf, Corinna Henkel, Ralf Weiskirchen
    Biochimica et Biophysica Acta (BBA) - Molecular Basis of Disease.2017; 1863(9): 2093.     CrossRef
  • 2 View
  • 0 Download
  • 18 Crossref