Skip to main navigation Skip to main content
  • KSCN
  • E-Submission

CNR : Clinical Nutrition Research

OPEN ACCESS
ABOUT
BROWSE ARTICLES
EDITORIAL POLICIES
FOR CONTRIBUTORS

Articles

Original Article

Effects of Maternal and Post-Weaning High-Fat Diet on Leptin Resistance and Hypothalamic Appetite Genes in Sprague Dawley Rat Offspring

Clinical Nutrition Research 2018;7(4):276-290.
Published online: October 17, 2018

Department of Home Economics, College of Education, Kyungnam University, Changwon 51767, Korea.JFIFddDuckydqhttp://ns.adobe.com/xap/1.0/ Adobed     ! 1AQa"q 2#w8B36v7XRr$9bCt%u&Ws'(xy4T5fH  !1AQaq"2B Rbr#u67Ѳ3sTt5v8Sc$4ĂCÔ%UӅFV ?_Aנj- H>>,m*>fzp"TrKkr^r.|_&]|*vPuܶvoQ1mwVJUhu-I"=LniAƕ8"۲ k*ҿ[yu:.vUQ+)%F DHyVBk>Hy8jݹ q~9D4KRmzQ)^ʔ.J%k_tVi5NTjg!'ky|5asOȻ)R۸ߩFMԿ3L4j6dڜ#NIwUF]JqB/(FafJRzq3\G՛ ?~\ 6)6W4m[O^L0E&rRMض*C .]Unl-1 1r#Rj/&QɈ׉˩s6Rj=5Tg.y.·Pӡ:JJS:C8-2u]d&vUz;7p9 5VnL֢"y)">iי(IDDd| Yj0; LRfS:ktYK%*N2^m|&dğth":ey)uPQZW)gcC3Pv&MMWd&Ŵ۲mvTRoժM03*F3Yd6\8,\hݻ kߔi<k NTwSԪmljj[>->ptU%'LR>&EBH$MQAUx[$Z6vi&_a.KIQ{hyƒ j"JOC9eFҝfj;˚Ω<[3_m% lQ@4g=5$(J]Yc-OMq<Ǎ wSzڗ)k$7VIP붾ͯnV+卵*t]iЎD31~SA1éC2u)ʼnQn-Uoi3:grI8ؓWm*G zܕ)ZקJ}Y YlGeJ6cB2I NS3Q>k=KTBT]W6+SOXQgGR? telˊ%-Re\hѯ2TF"C/OJΩ6r[N.0{SpljjX1“jOsӥ;ҭhe}xu`Ք&.)yO̒ Fߑ.$Qw;9Iw2o+RVJMSOj[SoҌZ%;`d$blQ{Ro{Imڌ>3egf\O֝Uzx"䢸g+mv%Gʆ:|V[N'&ס-ޝ'kfE|K,G&˳98Juin/\\Qݿ̋v~Ǩ!rtWU d|E߫R4d}.qPw*Ӭv5YEcn~f5c%MTMkb-F>5JT,})QHg%{("ӔȸWMsYyWNRrkkJr0XドnͫT}r-jj,Ŕʍ\Q2Ri>v$5!]"JB2WɅ)]VԜUc8i|.jeRO6^V.¸ Q&#|ܶ-*uOG%JAtRZRr]FFG\۩w+?'zչSѧt jz>KW&ot{7P&2D;&\\>Q2JzܗAKSfeNn[jRrԕf6,q,F1tRfԗ>vֶևj-&R'Zi2=xv~Elbsvm8=ӛ"ū񕜈BȩlWau[]ٷBߨF~J!|Ipr3R̴#Yp)={7:G{+:\W}n|Q#%)7^-h"Ƒq:M*%J&$T軨I333׎g_- ucBwwjp[6i25$̏bU’ٱRv?G\~#Iͪb7<<}Ezt" q_Inw,7-d,G÷%T* Wg1"䥱kq/A.,_KhqŒxwvo u2ۥۧ.bQ}XκA$֣ +K״ZUNmڸII{.v{5z5ѮRme[moyƾd~cRݾK'j.\i&/S6f|b=5: p!6i_ 4j6=.si˧eƾtS^c.Y^RJVS-Vi3,esi08?H$GvZgg?gi䤟2adw릿:"۪lkSN>q-4kI܋ێe̊qۅgDoѨ9; #T.Q;7#~_Ufstb_'w~Xw1Xk,vcOt._}v}8"(4Z\ۘgk?J?bm_c!g{HZV]Fkk%~gEt)b秴vΰB|꽸}mp~E6ݹv;7P٤v+ri*3Ԣ|'O14_~7nP{7ZU\Vű[ +7󖱅o#:ǥŬ\|3r%TJX]V7ez¨Y]lc|O3V! R zbJ'PnGqVJ"19WVeOF埜EaEJωqCN5Z g-9[S<$sUK5b|7sn\7x qmv##FF\ w[=-43$^ooVSiXօv7iB۴yg>]Vf"r$J3""32!Zh[K%7GvNLs+4nB/B{vlsobJaҺJR:0g%&zR\ S3T[&ִor*ⷳc3ʊO[iozW٨%$gn:ܶWwFBԹjHP&z u&F2\f;ipW73 [; '_̽b;vib!oec dC-tS__$Xs]l9&z$2/N>%'[}b{h/{`{Ji׉׏ YJB/X%}.|+{(S:qz]4_Kѵo`^tY_4S#* ^zvݾMr+TrkQ g.8Ͽ^i>ӈǙvix>$o( ^qt*&t1oJVu-ql5U6jCЉmĻ*"?JT=K'O/|=Vo}l0b}}f?X[?/\JSBe,kP8ETJ==?.p5ފgbU9}ǶdNKk—_$8̸͓ۍ8Di\BԿ-1v{FF]|.^ۅ{vl12׏z7-R7wE?\nh\jN/Kձr_oBw"N QMBZqe-m:ӨSn6j4%!hQ;sv'm4kcM=!8\m[M4{SMliۇ%eֽR&N:{2A8)THLK3Zj[jPBx#BگMf:G1\`edcʮ?|w(-̮vXt,bW2;.ιNHRR#YwTM"<;mk\.foIDjmlJ;vxy7o7i\,KQŊ9d^Mmgc L*.T6tLeIuOH3SJQ3=F/ʿ<9\JM6mN6=<{xkP!F1QR[I$6ُimXu2An2yԒMU q f[IB-'䤯jYm52&JG\zд\~vdg QtHGXw&1Lw+nDEdC1w|YJmvP)HZ>i0BPβә?R:QO["]I_Jʏۍ>QKyu^bycBq4lXF~l [\*N>-J6,Gq(Zr5h]CwYӤU~ʶߑ u*SIv%ZfJ7)! FS*s_\|IŸZ)J ]ܜi4"z[+Z,MOZ))}|Ʀ(RUNIII.S'ˍO~˨rn}M)xxӕ0 eyҵ7YMAB]ӣU:/ѭ*6bcwP͵ "+qēVjŹO|GtY4V j[mLV M -m>",B$ GD1~j6O4|LxnNmqATNR3ε|DŽa[fmn-ڭ+FiK7Pcm;r5 l8r{#-]'nrFh2ruycb;pW=njRqRJ(d mnpckNnʹ+6]tz~E=ʕ l ZZ5jSi3#47.Lcfe`9؏v囜.F\-UZ:*0_<Νu9Lӵm&)_3\^ҹ3"1n1v_|uRʞͫr'iȧN_kH׺8xXrj=\МH)V\ˬ.Xʸ oVRC}ySU9/OBY먌5 ٿwޞ)rw8Ӫi5*5ZΗcGƱ !ZۄlmpjJ -l <R̵/JAպZuq\IdUS 48wXJJtcg4cI~aqߓwŷrm-v)G7yS^7H^-\mŌAq|"m9IBnF㏉9[N+mmy/!KKۉ%n +BdddfFF6FQRN-U5;Sv'm4kcM=Mn)\qιqUd9F%",6MGdT%-+~ f%+y֛^3SrF>6lc(֪vۊN;g._0Sѧ]ETWرkQKzGe9ʨsKA"yC y2\[5 rԭ7Gk5Mzw_4sM3hxЊ'oÍ5jsub )ͪ~tR2H]R͍>̋m6=%(˿(Wrr-܅y5(ܔJ޺YunW̹븹NsqK ]/QR#"ZMDfD|43Qw|._ԡSqTZBg??O Ϥ)/E_U|i}2 9Z?¹0:x'3,whǣ?C y-A~=daJј&M?D1_PS+Oi&;a @;Dž7[ zZC"bv:jjMQk$M RԸ3uA\=wI.AwC"^.{?-\NSiˏ"b}T/}q/ o.1M}R%:-ZniʒL$SgrBW*,Mw'N\ɇ{s\j]VryG'8f`}'N<*/`U숻z CwHq18J+vԕKss4R53/&XTt1bZƟo\=%nO)h$rBi-nKĪ^ ջڜlwkYm[̑+/QrZo%TQ;TLs($2C:s.%+eoNttq۰kK7O0m_t_pZ1SsSM7"mevFZ[w -FJ*T*jФQRg BSu|]g:ɵzjqwmltL.e3sRMچkSmjkmWœިm++¦'tILk*բQ D,PB\lI[9{%Gb R6öۍmX-MaʉA931cs..G4CujQտ[9 }G-xwl)IQz j Ó"rqe&=]꾧֎c)<kӳ+0JrRR3'TnXi^xMF Bު*tIL.[h"2"nKzZe'ZV/RrNYz]8죝n]Ķܩ>^Ժ]u-7^\mZjܣ9+Rmn ߑv?oꋘ?&ƪy^N4o=3-ؔ̿*`}V݁ ƒPu8%$ ݗ]wt;\y\>='OjPIp/nJU8{϶FNMsf"ίNqƹ(+ ݮF2Km |jܴZs%zf*eȫ?]4)I۵nR&FX + [jDh(#哑9q9Eծj8noǕZf\J-l&Z˫}`ӎhyrΉn\űn]9pʌӣ"׮Wt?N4_I_~54#/my1Xr*척aS#DT >q ssΛW;3oUaJSRMDgQnt:Ql,/ ܷfRqiM Ȼ>Cob;A>ڦWقM9X~/!'MW.}Vrߔꔵ!5|iB(0-zF=}okڢE$^wW~nokY߮\6՜̌{i-AF*9)\t9IV6۸5ZUF6R$ŨQIq砳YUZ]eyv >hI櫥N )&l JulwE1GDOuFN2| }馥uC1rޫV+^gdb&W[4<^e4YW,d|htͮsUM)۸8:{3d{AѢ)~ \#J=NdƮꮓ90 |1K$v*?мS ]i$J,C,SG?/_՜pMSƯM|mG1V1$~K>CSvkuj=&) -,yLjuFHK{c駗.SOua;BrSqj-ۍZ#'Jys7[g2z/.u4+XV2VQ.ޕ)$"(%)#Z7suZ%j }BǬݕe)Jvz8zJf:hIN|svO1O#IEcۍjݽ:SdὮvu^@:o^5cs>i/VqmVm]ؔܢn6'vޑ̗J4Wn@OlKbX ;n:hgJ9ŻyǑz8f܌q&Y fN0N;[69 rbׅC2/#kE l&2~èMR.*%g=Ft.%؝e8<.e=Uv{~㻏"EˑnvDѭ͜Lu3u0:U֝$[M5<:oi+V4V9 6nXvx&_ q Qqw3W:uϔ2yb/(ɳ|5zQiJ#r|Hw#.W?4aDŲ\ugWG;Cw鐢K|xg)##=O.dF˟jMUvWĻsr.z]kPc9"]R)mkfOd*uYf١RsB Aîh=k]ʳUrrZsq`d#r$/Ը3o^&lRWȍyuW̦Y4QDUMJ65ƒ[+ygk XK_±k#y:8(TJOSQhJt2.DR}"5[) r)6V6u5k:eXZmv𭤔!푊Q[qQ}ҹLE- 8qIZG|UM4j}Mܕ[Vwm{} Naqµ"ԈM zOpKѰ?IAD3Ir0'/q1itoB5{%wkOBn-ۜduqIzYK60{+DʕܞqIt";r1mG/\/ym[6JƫR \L=S=OT@Ix[TMm{>ݾտ֒ݸӉLYIx>+"JVNzx||5rI?C{oz8۹e\R-^\A2F R+N9 vlT]"ۭ d)t֞i #E2jB@׵=#/N+!ĕhx}I!cM`ąZ*ŻɄҒ߮Y.Z}='/oۙ3IpW̮hT7cTSuz9>B}΄&h!>lӵn~j˅IvU.'v'CSZw8QK3G> ,J59ٷ+HSg䧎hJdzvwv-cvxS5[̊n~ؿ%ַX?O0\6ne 6kn9.ϯ} *h 8_QhLݣ7q +=XBҲ5?[[)+F`=4 }B,sNg==u*Nj9k_GJ)+R~GSPBȒZ:(K]heL=vKPӢwq(NrG^ثϣ?#tC?.ͼ[ۅo؞y#%ǛjVyLSw%T*s92JTM%"YkQО.q)gCͲn8cgi6j1MѾ[{9h^vƘǚםidfi.^RHmg&rׇz:}݃}xT$ضk'5s-狶,\vpbPD،=Okf.c#cdz2FK5T!&)|ntD<+OŹU i-G[EE*FDfeaf2QƤM\UG_{ǹm%\yrGy:.\4wjPGUJޕUV7Do\7Vy_13w;[?c]H\$IJ,*L]3b%L{y.JRKG2sq,B6T}(#nW|km+q5] r㪍bJ@y{byz,b踊3ϻJ,'^xd،)JVw#.Vټc''ÝպWtbRؒJz۠8!o9IۄS95E9ؔ-e9JR{dmnッ<[~n${~Њ$W?&ՐY_? #a.ߑv?oꋘ?&ơ|y^N4o=3t=~7!/M3>n8W홎2M`Qx+ z qy8%]7_~540ۦ彷]Wq CѡwkďyF5Dum_}~P(5.(X,K9vᯐ?leB9;Jhm#3{CxGE-S{;@Fz˙]=O'!ɿ]' r`:7'2bЖ>Iy,/eTy/V<.H?UYY{\^#ѣr9^7?xoRȆ7EoS_&??zϾM?(~Q-K&>"~aߨ t7Emsϛ+?;fCr)fY+>z$tIkjn_>vnrֳki-˹l= t;'EyC¥|/BLwBJdgjۛ$s S1|ɍV%JI6KvəhzIlBYɒ|0"Sy0F>eo5W)O+X˻u';v)2vVq۳kۮws?UʑBǴYO漪e2MIjPAک\b1)DDؚKm6ZWΨgȕ۶yjڳ 2ضN[C[|r@9Jfo<_eI7q.|cÊV߷:i.:$ȋ)1%%)ADZCEBxJ0MJۥy(bNsKM9k43IwNt.\%N簤I'.j|ƃ2$grBEٌ\}9:v*!n7M(ɽ]7c@XxƱԨ37īf62cTTfFK]9wntQHͮvٱI/f|j=7}\_V5U^+:uljSȃY(XI.ȱmo1甅jڎIZ2>#\*:gY|4k\8ZwSqtyA!+];бޞKծË¥e)#5ap.QK^8VdU{*ѽL\=qmjnB5>{ Ӟ`v±5 ^k&O~Oshɷ,;6nOW>u6{RqS`)S%jp\ipdEBLfTWy$GIYw~䲭J.1vSY5z.V>^+Ǎvc.I[R{QsNR3ӎfhd>y?UJ*}~[e\i5U^͛E]G_FS(Iɿ]i8:4zj~շsW,ˆsy:%O}iur]iF5~3M:Ӟ#N06)4ߧgdawIotiz:1r5YDZLHBSi;NQc44la=Y kQIT*ըl:tq2(է9VO4뒳܂~2rq'nrVZŦ[t7\oլfb/mlpc.I8콚q^1iE~䰳mi[dۧw֤ICfdFeCsg:i| 6擣׋* 96lust^{%99UNRvaMܽo ammi$em4D6DD\nA%$$#}۷/ݕr99JMն[oT޲E"KTaP+HGkŴj5TM5xƱOS-k`ۛkٝWz;{kS}F;~q|~^_|euwnE'pSupUP)V]vE+t =ZRaVdG6= *.ϼnj9:UɷbېmF_tޫgHjVS'śǕًdkkѻ_]Kv?nT>)^e=Ar1'3ԔILyD?:-^in):{7.؂\.:V }#뺾.3r̸*xbFM aȵz 6SQ:ײj[ 8nn iFMw rR"5M5I旘35f^j='j:nNW.ʭocZvZKV^ɚJ.cM1ZI7E'6rg탸5oZ=[m Z`\hbMUR١Ȗĉ):Jin!_7Dй+f̷eKҷvͨBPR(V`y6tw*MRΝcB.ڭTnc;P$8nFvm4(D(R#R-L -2:FP lxZKQc6I("Km%$E, 78uXIFA$RQI$JbInG]c[ֹ:ZM+n^')JmJMJRu{e)7jQDw~%yQl}BZujSSf۩QZ+Dzhd5o%BIc'GZ?}΍:>Ɵivז-%݌J5MqGWTVʦh݇ܟ~Օ_6 n'{3~mϬj'J11OȻn߃r Qr\3y٘+WӍ'WxEs^O3 o~[|7>]]H9݇ZomT@]?5B:Z߂'`V_+/MSKX߆ޠk3?o7y:4R/7þ] iG߬aBRU&?r&/} cQߥGj2?C5Yśe7hU=?+ x龳f-܈czW^7p%-(\D4h{UK&ӡn^m]Fݢ:`δvj俜F+) y[{{ 7 tu>gvrěOj'5 iRg[ͶFjGe n~qT$ci ۚ0oԹc*jL[sVWqj\ݻ&6"WoK:cnWmrv)o>66(F>=W^bf#c zzʞtپy%mՉPël e}J.\Zk4ttt>oEM=q)hJjI=ͥ(%]脼_88ф;͛gWG;Cw~˘$4=uWdĜTثNDkiQL9U*O"4XP`02,Ge-k5$h>ܼ]3vr6!9RQPIVSnM(ۓ{>;/Qͱv{3&-[rc)ܚI$n{Sv3[j00)-D3z}MRzVQпj,T[uVs0\}Sid;r(ݝJ>æʺL&c[jPK0~d(FKÝW\m]GTcF|Iׁ)I3~#oX%vҦEݑؼ5Żv2qAZTE^..M{ʐfȏ2##.R}*KʛZz^ӞN*lPťLf\G6[WVQquV]XAi)5J!,$iJ6o$tPZc;Kjx_n3`qIelV~vLy{fn匋Ѿn%;zV.n'-ұdd2߽1bZksPe3TI9)$ԩIN9Vơ\=2885N\ p)/a柛w9g_lױo8ݷ iixJV& ғRi{N^_oAŮE6Y7I$Nk$|Q)-*4Z)^¸%4Qm [I%.c-OV+C֧R#%ѨCe3i;w$G+_dy| Fzj$DI(=OA gj%v/]8qԯNIS*֩',Q%\44ZZ%D|Ǧʴ6&vֵI$%8(ԬƾS&#Z. }6z?b/|Jl{ץv&mpx4Z$”ڝ4-H%dGKfM:sKSRWeJAn]>s6应-W9'H]'uȫYvgK^\czp|My\鏩w/ËQ.)]\QiS`8uL뚛̸=J"ܻi\å'-)54Ue]:K\퓡vK xwBqrH\*֕TnzC.mT=t-H]SČ~Nu╏NÅ3f|͡G~B+Xm[Q7U{9"~jgK Zoʰ7"qJ,ekSeNGgϳ] ^.6:s}_,%eRg<5⿨z{ZPun#jRІ.6g T.!]xa c#jN$Zpl̋H WZu8WmMRýsĮ?Mco~sx TU҆Q :KDG4n42.<3/'^?6/ܠڒ^yrrÿr2\D}}B]^E~^T cɛ7϶Y[<֞[7d}2%QPqOLEQR\CIsj1?\}%tJ0e~ *sk"*)&ۓEi#{1J8Hrt|'ܝRr8)=ƔN'RVz:cf]F7bZyZUȘ4x8,#JG̒?.W9XnO]KO]%]ƻ O5Γ/3qÓj؍/r̺rƵ 5\&m6h.xoeX[=<3%< lZ"2h\Z[&jW3ejm?k&[]ųj+{N{66leu_+lj]q* 7g*knأYv= q ەdxЬZ|%GUrQ3jLŒqET]1% qkXYūYc[7Ś]QY\jko\</Lc7+'hMSUc6qXyؙ~6#ѯv.0$BQi5YyIhɍiy=KD!n3Vm[V%W-B%swa97ajۗ m+9~]fKq|Ddaˑ0A]_v޺mM5* F-BYHJ5}q>ʉ.6hyDmpD׬'-_v5;5[8K[viJ.3dR:oYHHh9I7:۽fi+wm^ [)odPѱ52CZUJicSw\&_s0uBȍh32džzQflcd^m|7GѹE!fO5]]H9݇ZomT@]?5B:Z߂'`V_+/MSKX߆ޠk3?o7y:4R/7þ] iG߬aBRU&?r&/} cQߥGj2?C5Yśe7hU=?+ x龳f-܈czW^7p%5|Y:SJE\U-(a_cƣUǽXXKiȞNlmۊڭڄR!**ܤMeȽ$|X5(Ź\rJ~ܮ]>'HB0cp XFr_c?f?7<ukSgov¥iG>>䙗i.+t+bOjIܶ . i^:nm}s}(3>NZ$2Qg([".>i.ƾ)B̋M8+"- >eE6DݥJnJˣt׻ 5.˅nJGwZD~!i۶a,Db3ZQ3O#KO5/֍ozuK'GbRi᝘NV_ҝcvם ZoX}F6z 7e5_e:ۓj=AB+iܔERadMBq*ԯ DwI/Gy*mĥiRKg6skY/#SN4e$-yXM YL?^ĸNNӪ{$r1JJRSLO]Aqm>V/s[~i/j+m>z}eI"Qvp]{ZԼ:{vPAG2=T͡@ڐ#u"E*>C;o$~C#_d/HBq^YRٽzIKbOm\~żjFFGdiQ(*/i*#.FF]©m=BmpQQQSP&Ҫ!T&^>:y)$ˑÐFčI Bӡ-t!bM WҦŶ'UZ=}zvn~oT/\ǒ'nr8 AJIӆz<^uߖ4eFC1i+v!3qNyߕni?4JZlmYFXFۼO0B\m[ tʄU3s"Sr(NJ;SKW72L4̏BVdf^Ҹj\]ȱ۪(ӷm?J-KEmWڽ^4<8qu%9pŹW~877ܾeVгS(յe^C]yX͹! םm4FGȋ\y'Z FX7e)|Gjt߹#gb\ŧq_([R8[qU$Z (ʻezV2V!iQ,i$JE˂٩ a(GK'O{vnBvryRd-RK4=qxZJMl_CuuIz @Rt㮽޳!|68\-l[џ84-2Pu" RJ_^OL>G1~XnBŬw6J0*Uvlږ1N G1q9IUm*'oWu][&UyYZbBZRZNfEJf"+2nF~Eû7n1xv.RUM$6 lAxSQJ&n5ܞwlEói"#>4׿Q.nEq7Oko[1wg8ZQwZYiqtm&~">Bo?w͡ni2峋NCEy Ҕ+%ZJ ʩq*fpˤl,~^Mχk1+:ݕ z&Y`KLӪУDr3[*Z :(SL&ݻ۬Vqsyԭs x|iI߽zZrg.:mp%6ԜvgmpIUt;QbS.Է) ǨKSV,*lڌ|5Jt3#NP.=+OZ~/G سIgbꥹJnl_DUM\iM!֔wVZuԺ,yV.Q>f v:݇WiaŸN5Ҕ[M7SsrvǣrMW= \8ZW-jsnڕ.ZnF2qt ً[ٻޘY۷Zm"Jxr&NAfA-݌to9s359݆mZ+N1-qS$D=17 x׵+%_ ve4ir6Z$FDڗnFtOr'7'{9C˨ꤡaYoace{Refnft RR"4%ʌm:Sj3)OdInTO>X'vxV#jܮw9Fog;5.~Y5\~18YQܹvj4+~t7S ﬕs %^۵ڴDZV69R^Y+rj$ԇoJKR5wB9C>Y:l+EǎS{ʲ{T6Wi* ^^9k/y/Cs\g*qڵgn4T8mERr|Ti+iPe;;.i\EBEJ 丬i9ɧM-ԼsGDrZ>r#R>~X9y4b棇9JwV۔%m(b[Tjvl}۩~nDԺ{Zo-YuK1vx.nWuO+jN [ٮ0%"΢CdTJK-RަH"$I(*ve &҉FzB,_Vpqp9m8werv')E;o&QE׵^d9˦j\_,ڵugZȻ̧8k+jK{wmr@3ӭ2 wFkzFVqs1؛.v'I%$[iT]D5Dl2 nk7qUxԫLS+sا3/ΖeZYK<["%-g/kRs:f3;*E ت wJ%)5&+&rw*霣i|sMҴ|;R+fm䡩.!**dӶ-6s6,]zAXMWjmnz%SJߴm2UXw7MQ%<!tKys#P,W>s;3IYwx<+i_\\\U6 u7P|xbn_k&ӓVOe䦒 VUr,-㘘"-LZeOSҠթrEvq8Kf%5%&K"#%vD/.ZYYŏ+p$nZkvއuW9㓱Z G wYIFyf)?ƎUm5ԉ/'k84{KO:rQI}XRuԪ|*lu)3qZ[mSm5R3".Xcَ5c®ࢫI*۳~wRϿQWޝ(EJrri&ۥ^ʶ齲Im|[yb;mnm֩uiܘq>E+Ikx߄3r33-5𹻖09ϖ9[Tz~mr5NsWl$oPusޛ^{Z;);sڹf\3oٹZmԉ/'k84{NO:rQIBø8Bݱ3n֤DiK4u& ofSȒܩx<˘|N0Fչ]qsp"}! QWw@t4ӭ+cO5%]'*{eM߲DRO1y*q8w++e!c߶ܪlZWّM欼 CQ̼빶lX{vib/V/ ai;x6~]+z]MWB>re-:lgk}պ!#9?%܋V-c[z!W?c7YNm/jRr[HOzԻefճ0q15Zp#rkQQ0tU-AmڵP/cȕ?0cZYj;:0ZM=D6g ?'UN+ձ[K ܖB2'xq9{|۫N0ku 7xaj;n\ 2[VznMlWiKbSk))f..)Km)&bGZ=>OR܍W:j'rM'wYz&/鶧{Sʵb"vջq[I-ՌZH._x*BagC'T(Q:$ͳQcMCKy?3g'ߝqnT);qs #ؤZ}OOI:cfnc8W~qy.;^pVl]Hԓ>^H^@7-AA܃nmL(uWܻS߿ Td95Bdh4t6*dDh!EhI[iŨ\L.&Nc ܮf^;$R)\rip9I|ٺ?#R.ZDZ;/]nݻqs\QE9M&Bd ]N mN*D>tgbK>+ˏ.!23]BȔR1ɝ^j'k2ƮqBQq[$di]icV/e`޵B.FIIJqbi>Ӥ|p; 6${)RU>_e}^dzdfzi %ekRVUS?6'hׂ)5.\+qUgzE2C˷ecŏ^֔ibk shesFWJ#~> Wk~ݨ}ڶ>ơǚ)׽ZƉo~B-ڼrvoE:Ʃ3ۣK7+Y`WirS):{>ڛ}:wԨ(J_";6R%[u&ƫdZ_\'np| RJwNeTW,=rrbnkڄ[M3ܴz)3- R.?:okۼ0TU'w{6&w7j1z3ON'fGoO?)S_bQ_¿R(^ԴԴG.EtMڇ&RUiW uQjU> Kiu1d<ѥIQ'RQ1:O/lŗᏩiʂv&Jc{D5 Tt)1.n[n۶X}RjqnOʽ(~[Ns{ސ⛌uO,kgo֢dRNQȄ .'6W!׌P朼tdZjFGE"]K@'i۪N;sI[{SOzk>`rRR+!σj8&TjlvA̷Q?HyjyLHNտJMjܶT۽lG?SnKN%<‘ nq[N0Sq[Ta(&t(|HGO~gvkݻTR4&Z$#ViOY1r$6YF?e4U/Mvxų:zbU^gQQ+NW_'4jfz^c'#`rvrڡ(IJ/J ݦ6 ]-CW |_{v*_q3^DZ}Ic6Uڌ8p7{crZq5ki`)mU6|-Z5^iEz3P=:Cu7DF'k%}<C-޹ֲ̱#\,(f88%X-N(ck0VLR~} G"-8ӏ/ϰKq?(#nrVTmZ;zióM4 m |UT'C^_1X.gXM{%ʤd 4\ovN":"y-,T)fLQgۢr=/CƹǨJVr[a+!rT|%Y\ٱzsS>jͱ.oOc6f$q% ǒGo;n[];ߎjrk{~\VۓNIGn:iqxo |~t5)Rxעri{Vi&NUOl_ѮMfsޕkЄay.0P{7N((BaIP$ K"U6Gl ݙqJRu+qN$ m#*p<|{:>-Ev=86N*MM긭U*uѾ?/^o7;'u,h4݌xښRM:5.(/ \իU.{F^rmF-Jɷ.>Q"[4xT^OZ~mK}T0ݛ^SAo9u?lX(' qj%=X}"^e4wˠ|rܫ 6I\Ķ;Ӻw!'ڍWg{ i U_9Avhۣƾ+:vs/MK[ɭīe{`Zgb}r[i'GE2J7Nez579wRq+Un ]J.cJ4M:h箽Wxxm^ pc\wcN%'My $$| :$Fqɏ¾^қP9J6Wxvu}ݵP>Z'FFdg"-; [¢cmWkÎT8nG%ݣ7*\խCLRYZͤiD&J#'ehbSyXK|y*ӞpS̍R`[pTr/Eg)K+92{_ n3zwz'oŸۤ+sOj J:`T>Cf*lwd\fYOP"R E֢̔L4ɥ :;.b(B02rJ蠟9>V'9M%)IqnhP<%,r'P/vNSwr#w"ݨaqc(|{kd=^0jTMR2ULNz|.<|^PfY22##!,K~E BEJۜ&jRNsHަޛg\r,v؜.jK3)[EJ2ii{KEiHP^&]Gn8x=K}Wx/KI9-ϵwQ%spܾ[^R}S3$qvq8M[ ozKxcqmJ/ӿ{_}7&ݨ\f6ZSyQz& 7ۉ[8~UNn|nkiTB+4RI8'Nc%tn{!]Ȋo.nEmʱn𵵥J A+wy#+ikǒڂ;՛s85'KmE:Ђu""Iģ5p=БbTY-ͽڔ詻ngL2Q}$de# fs^o{DUUsfwӶ;s1T,ǤtޒQ\෼J=.tKU,7čJ5 N$y3kdSMQU~mO[03 $zAڟsF5^뜞"Կ QHmrR"ӳηer+ҔZ]hE-6Jmt'ޒ=O[sQj)6K}?e4v_KfZheޓ=BV[bY}lݒTTЬ{ȫvO_qpRApVŗ 6ju=*BR)g "O1yhb=tqJ gtm\b3RY+JQ^Ō֍\յ\>+uSi{=x ^w;uӘ#ĸzLn*$anok߷CBӷ}5Yqvdž<( "_OWit5:EZj2 B ρ1̊fi[n!HQF82q1牙nqnEpT(2RMoM4ϳOu ':֧_Xjsg jP^(ڙ{2%E͖j^}ZU[Q$'U) <܂%!s"m R'G5M0<+zM6qYm$ڕ$3ǧH]?o2N<8F1̻r_my[Rf59NjpzBnl7*{.QP 3N&^BLJPjAHCK2Q}$#~YMq8 k(MFMU)8MEqTy+Tʞ-ar5yܕOXw!e;q-Jqܶ䓊Y:LC UE{/t>r"lI9)3KJjϤA 6SEE$d߇3KG*En|P\ԭTn6I-ƍKTj<1H_zwGr19wF N8ݝ+a9ɫM6mhePi%mmD! """"""*1bRKrD"vnrM۫mmĽm]ӡiG~e"˩ lhRTMk^MX["Jݱk7_ޕ*DqĒ&flՒ}`W}~SմZ{ĕ~wm*/{{ѹ_-0ط#P]xlڱ~Tn5wi*lڪ (JxioϏbqKYR|!|KN53 OS222$jzww%i}>N)E+rۥ7c$Ofl/LNث\6H9: FY󡈾I)fB֔JI_ ֣^: 9mY{66㒢7Uj]:.-os[R&gMF3˸#໹kmjq^8W"PΦURjʄWa˧T!͋ lW48JB2ko+ /Nw QwQzQ ے%$ޓ7^YL|r7!v%Trܥ &|M8~ybrn[RV gSn{{*#2#ԽᢏӴHak" ӌcwҜw&RJ07ױ>Ļ =^ BɆ)v32.M1=#6%̠tҤnzqMwԣ~s*%-j|_m*.Yx9Sz=)qE4 3pk+,`=kNRڥ=B=nŔNAx)Q$ԩȧ4z3t#Z2lҮYn$S%y- JzGpu|LBV7ZW#;Wwipܷ%(6jFG5#{$D"uۭ~]֫SrD܃fҎӾ+Tu>-ZTQ& N|$沸ii>eRWݳu'[O̻j8JۻEѩ[]vni= ڒ,[_%kC7I3Nv$4ɎЈeٸoUu:[}Do5|zNq=Tre%ɧ6&~DȍF]ƞG5q m]/w/ \ʲr8=oʔe9U(W"|S]uZd#?Se[W"ֿh][-7Nu:T=)R}.;ml*5Dlf $fF(̏T hiIUU4Szɕ t(%_|2 ~6eM;TƗK[f&]LK^CE2[ȏBOd;Mi|cx,^6;sیGpQ\NuJIFTJ~đArh* B"$H쉩eXPRj?sl"ԥ)su]xpԴY%VESH"ЋJǰ K&5^Ukzׄ8kEgS2h&Se\ Yl]WҶp-ZUvi7QS:4byqOo+[̺腋[6-_Fo.6[7$p&^ _GZԸߍkc.qqoI[9m߸YxOZЦ1uoiSH)P9Uʄjcq= S>֙NeR><;+ڌk%_qT].srNO?s[=vH[]RZHRMtᩗVؾ:/~u)ԍdg%=edVrISb{6vSu=(ܥ)mTv/J}̇8 S3ad:^hBSf؉OɔLhI_1d8,L><_A0y3rXq"'(۱;mFNII.v5_(^q~X>y{3צ I*Vܛv/jW' T'NR'j%ꔩ:mJ3SB}΋!-H-RJBТQoedi9tjENenPpke.%4]#{:>mkEɱdYWl\\\'nRM4&U>?Ќˉk÷!𴪛]]5}UqG~ݏI"O~s6(Ļ)qO~h}uԕd}Q~G,oE!&G&/]_H-O=o{k\̭bkv.Ô܈+;arZx)m?M\3lU$mk-CFXjTv6u' g:Vn_*qk:VC A%'4JV%EY)#BғO4<e׿jQQ]yUr4=wm[K1r׵%Iũ-O}|kC;/VcݩWZ)EHdžTru]8hgĵ-;=>U_ InvTm_jBM+QiF"9*{DI/iuo(=TzϖmPQl_v4z>T*ȴ>YF;ε\t]EH4ꌇ[VrLzef 2T^V>g2~kg5~Nק;{~Z~W}&ŒBӿS2$J?~(Yœ"˲ߩ\O]: J׉ښT{mmIѩn3˧)4LdFZ/zUG>U> n 5& ϴ-KJi2o]uKljvK3$bԔҚV旧iY5.ίfi96v7!v))FJM4{jG~Jt/lUE%pTAFe4qQk\ve۽/u/Im+W')v{\-E|Pms7߮DZRr۞/mu*1ՙaB܆ -xg3#6ۥtRogʌU)׎]ZҞNnŞr}F1Nnޞ;cZ{N}ۿMiuxʉ*3qi'9KHQ$WJxXyرŔe~[v5~/jN9Q4o6rJv FrdxM*iRjMzUinHdн7ᾞS=S'7 } ̽zt7K|_g J=Lq+/Bw_\ۧx\HJUPzQ<hqF[V0x==CsU7q|^ {)Iq38$_A(VgcKu06Ƅ"%i~_ˉk QCܣB8Ku/񋇵u([w}$F|8TՠI.E !;RJ^}MɒD_q2];Ɖ{5}*n7nEInO{Mwv}&q+v [V}Ĝ@%>#dXQ$f;iep.GquixVt x6bj͵mlKقQ[T]zs/&yەnM'W}!Fp_d^Tu N{ɻ'l{խ2.sTu{W^H&;1s)Pӛ6>$mě;Łnj= fLT)>׸+qReɴ[UR\L*P/!$Ӊ3Q 'K=m~6XqW3^W+ųO_[F$rR*u"T%@O +%# ]˽!aܽz{ͷvQh쩎]hGތ5ɇ*DzJDRNLi 4:{~2FmXY-zzĽ^f=]uū{/+&c:Ma{ĝDp2m܍kHș/(--m_vݮK(V{R}.k&yƴ7i^4@3f sK3^Ř˸B=]?gt5KbZB<e;kQLpxuWC}n 5ҴepB##~q= `x]KWF {GfŲ}?G.I9pjWkU]>={7q{kO/^I3==f1ɏ%nnʫ/Zu_yXN<57ۍ'vy/"8넭M2eԷ&Y,в33%IkjMr7xf nmQkX4踼>a-GcIeތw&U=-:qnW)z¥j :WqSZvԒ#j"KrIU)%qrmRoDGQ~SYRsu*V)  ,/x)MFD6O#]z 96[Ui(JRfw'y$GeUީkdMF-ݻ98F2d[o{Rn0n-xsV6Dh|Eb2E:KCOӪv4SJCr"J!!m,hRLD| ZYFm/X~ΧfrN&4Ƒ=Z9Mh.Mܵw/BdrܥniŪ8ɧ|y%œ[M=_tj?F!z5\evM:\ ~F-sg钬OWq“iiȍ<Gi%%n2rqͻllƑ)okw7}\Uk-:&fj솘XerV9yZuʼşdFC=rmo%~ZN78X(N)_7.Εn1MpJ}62jjJdI";R5&iLԸc:jmqiQj$ujp\{;v5B񥍪Xn Ą4qOERjzN(Ga٠䌡)p*v(J7#ZۻZ8O W uONb+^Qipv9GvֽƼϯrYƖKGJQDNPhRJjᡧC"21"9ѓS1;R_O7/WGz)8fE%F2ukmvSov/iZ&/]~KmI[:^~ͤ\kMi稜\ywJt3W7 8Ʒ~ݥeFgѼw"8VVSج\뻆}ݭ/J6Q)d|)zU3>k\L=;ow֯gN3pKѫ|wmkZ$z^2R:E)f>ς нd|#׆?\ǔpV{;\$ƵE%-ͪm0S6[n< kE[}mvE4DDZ^$OZ0*$~XUv҅B@^?]so#%ojw;Y#SxxueBگy v^i-)s)zV jC{7Gt.w3v,ygg8s]aE_,*E tY5k٨h=o"m泏:\6w噓aiL׎n^c\75AGkЯ0Lf46َ`egZ˓p/k;̛]kq!ݸzpԭG"}R9Ve>ˏHUjJ-&7nrnwG*Xv\˱/vN}O)ʼn&CV͍f̵]r\PMB-6Du-#RͰtRN^)mT _}nSȕC*_xBuTkJW[`ɩ`ejvsngP ڻ.-WUtܑqԹQj)t;vN&RNũT+8%IXӃ5fK՛-d9 ]CƑm|nZ-6=Hz,*aEm W3VzRšdY~Xf׀Xx"]s;)5u*ُHB BRGS6bݶؿ 9j[1*jױga7oX CUI%0v#~\-O-Ꙛuɷ쏪&5mY٦M`LJ2qK~HZbr =N'YobI. (^ ׾{_ ?OJ`S`3BN[}5w6:ǵ/iSlt=4F*d&T4y/#. ɵim5Uֲf 眕6Y7 fơ=3dϕq뚩$qTM-%r!$@A? ޾V0c~{[{;򥧅a~ڵ»&ڄv1ek=wb MLkNAԬw-x>~/r=e73VeVN)K%Sښe"+3uXuچrn ֺVzscJ峻m}vb㶓n\YbIUBT%*,0nov=;z꣓S/nSXSpl##k9mXGrZv^Gde!ŷRԠzQyjC]`gToPov{j~KRBMY}i[߶9KL2ԉO0K#m>wB[ٍ+n[[b٦DX ݲpo] [\m5qdT()mo4Oy9Ie b][wղmM~vmi۱~t \}$яimRk(L c Cvk7r9_r1 ;zv|F@KyZ[&jEji/"6$69ml#e]9s\{ScL}Ȣؿ0q/nZ*t,CLoD߉Njǚy=Pgmu6^]l-["çUʖMlʍp-"qmU>۷uFOJ%Ǔkx 'g=睋k[3u,{³WɘݪF]ՍeFX"Oy\,cچ=w/gn Ļ]#2? vqy-gXnR.^}ݺFs{ŝG]}e|#0mjx"ƬWكm?rgU^xVB":Dt>@LRbun~ݭ,w+v⪕;\U(RYa61>#Jm˞Μ9g9XKaG='u8gf}'qy#ɉw J]We.ʲ-<+&q%s?2dњztҼn`cΤmmqMdz O[-ߩӲ&;[tmܝVnr">{x<8U+p:Ig]zjGkt,uzf}dؠoJaکqEq -(:d<պ=eKy[˗^%ZXkX[C2߱\ITTLGzANM￵i]K>UsOGDDD.ZF6* ҃V Zhz{'xp^`wo8r0h ZmJ5"jb[l=yUu7-;7IT%:jFjߖm0tzU'K)څNۧYJ)4IQ}^KWm7kSP>q;ނ#)'n7&׊r?óM{IwR\j2Qn[v pe#/tAF\ϵ225q֒om6z})6҅*oqDsMf CNIN=T S2t,_ѧ}kveMF0J\Rnnݙܹy[rUc-j{yGtkQ%s]5qB.Nw.JN1LvR Ui5J ZESQԙr):MJ+g}χ!2;q([jAud][ljVK3$ײSJI=/|&tl'*n۽f.frܥ jQO8>&Z];.|7T/C}$ڋUmP2Reҭ8hFF\L 3~e v\۫]ݝNmrnB%*]Z«hKc=BTLG :V74$=Ǘy+EX'4tn(I:Ѝ;Df8c,k1%dJ6.j6ź{N~l6&*fœI7 WAlGOu-ҢH,,(ǔe뿋쩨kM܍ZſgRvQ' 9)?n|er˭|I|-fGK.rΛp8XV1%K6mvG+tc+qE&ǸC_Nm:l=_/m5^[dߌڇ.c<%:)tQ$Ow~-aY;UJ>=F)2[nk؆?훐M=l6[4(O.]2#-H^n#->&mp5~Fӛ+|| S,xag%qkEUzUgæBhߕP(7]kFnq?֖CpruZ6*rEڊtS|*tI*E}7R<,nUU֫^I7Q*mSly%rdȓd8hE<9oHhMfNSRj[i7D[Rj݊+kდq{"$$H?p\̅S?㭻;t~R߁)^/>Qj`yt[w ԛ;²~+ߔ_ YW~|o]?x^ᯛ `ʼn;g)T@vWn]>&4lp+$D̢1l|ȨF%-}.9[}w~ ԠLM9hСablfe&QoW!s?wjLK?s7yO>(=C~_nyǜu?v3vyo oI@qV-jeES^[9WoSܝh"l2C1a͔CiJ@3:Pճw=/7ovuk+\V;lDgն<[A+rX~d;m!_s8ݖ׷;;.0llUC+?i#_crʙ1~C.\–q ul8Hܶ2m`ܻM3Tov|Bs rɵ"oLS- DКw=Tv@f'6|YlD͓Y%׵-#Ѯo%:&!3o%\J<02;K87>^vgƓ# ;ݝmz^Y6=PS39U%~ &f# }o!muH;ʲŇ˷yvP+&.7e[3'vR4Yj̗IZ`e˽3o[WU{ m[sUbۋZǾۆl6~9'V*.\S2<Sd*zY[aŶ`]C$n.v^Ʌ dng>ەZ,Mmϑ :n6nϦezWqUJ4! ۇ4R! =>>Fn|Q[{pRO17ƕ~._I''00k=b՛o}Osðc2'o\3}ݭQ^2 . R1yKȣtAݿ-uܾw!`?1Whn|gzUo[ECWwjUIן)^h#1ɭ!/Z np;o;ΗŻkXs."6E`Z1 עӐ9Kl8qd q} 2Stt;#j>;խabONŗ=fwP1j)l6J̶|gV2`y/0E˛6+ԫ1? 6}KW c\KoKͨ2ۅFw–s*TԞLיuDx .kCzWXhy۶gLu|%TnupǺl-S* PRaLnT+c+*xl.v!.U=|; !_L̎뱚U=4hm:ٯ"y)$:>%(n}X'p[ȴ ^˒4kƓmzDx \ 'NqamP7nyN݅=j7%McSڵj%STy qXymvCg{w/w=wSW5r̹u erծˊsOm=DhEҚRb#n)QOxtվQwe]I}wCa'"[ۂ-z}2UuKP$㜉ԧ:mc<Ý>RoL?wu|%ҷ&K y_!y9 ??:tq3(UU-lkS'ɸ@jdzQˬR] EVPW1DJq2n:,c|ǻ̑;y{X,ۂ.u.b˕u.tKBjQ"[S園S`ٮdNبeJ&9Ơ ~0a(Vm٘L+Jr*vڑE( x0+tp˕ n';wm-ޜMOxX>{#2%jgb2M[`K*\5@8l'e=0u+w ֘鳾{y܀:R*Ya]"Ӧ%ktynlۣ65,3gU}{GYrb;ge'TKwǘ.,rpܚV]Tr,!dp /ԺU,xՉ>s׽~W5oTh yx?xrrx?)?ilbT׬,z$Ԏ.UH٠\U1pU:]JwSrGZq8àd驐,N67QYBӢD㏙W!Q25ϸo9ms-7-%3CihO.J鯽-;MZM8ku-7k9S$8]q2E(}bۏI[DKOK}3KUB^u %Y,u.-&f#]'܆o$x`Yu,dzwM;#oKxn;\[d7}Rb+*Y䛂ZuBӱl{j0O̓}LhK;[aֶaGL{Cb#S.T[>߃F]NK"u^LUʐ_ykW?!GRj29͖qa'0[npcDvV)qz9R)PۨM^aJx W] r>];eN3vxdmĘ(5W2K1䪖weF{mE/QP6\u54x5[hۮ-Nk”i[lUgL]J}5 S:EhiUrgHl!ŒJ$pe=q^b͵Q' ?6|R\,JA ڵ"TDꈭ:ymg`B5t%M] <N_zv2_Ortٵ/i/ReӮ*7[qүqEG* m"[I:6e^p"I$jԴęh!m)]GZkcjS!{e^z}+Cѥ9;R|/ֱeiUԏCNu2Zhcٗg$ݭwvr P8*7/Lk~I'Km1+MW%Bk|oOm>-#qj*|Dbѱkn|n{v#jĮqNpMIUm(7Liz;{ҜݞڝVƚVϬ+sO!OstGvxӉ']uӎ4g_ 1^-8ۦ k!)Ύ5O;YSB#2Zzχ;<.ֵOtge~.(RC#wFZeGZٸ6FFJ4e2ˇpJT$[wgV)q6muDGJ56q\I!̗ y/I~RtJ9kJ]Iy*'FN0s.[l!fw'y(7$œ WƫgyΙdMEU JQJv̋vmrۖ.jWR_M֨djYgSj0^\y'EoECjm$ IƩK>Z28J2TiJ2N#}.s cArl嫶nB.FIJ.)۔\ZiM>/hLĸ=C1s[?YMqp|94- 鮝𦔽/k^#NT(Y LS$6˩}{;5 )B۷W$qpN)qqoot}ZDVә;7TiK|6f3h$dԄ}fqݡ>Nb򗉉+ͶO]>ߡ_VtYf79ڰիF sq~prս|QM)g%l0ocJȨHz V;Bb/kLAcfPJ,ԭ{ƍgpjNR6VSI*$!yV足jᇑ.](EܣqM\qJ2eZT).<9UB/(B0j)mtKEj#׿fDI-=rZړj|'Nڤ]k*i$5qt"ݙPM6E4ke^Z8ۏhz$Q(R Ay2zfRñnpnkbkI:=j &ΝșW?׵d{+ύM'??XqeeĽ.[o=UxFS=ӷdZwenՄ]_X=ĭVa* pKs0ބۍfJ3 gz̚i|wnxtjc¼5${(1fXQ65ȼb̶Zkn>%FQMJXӡ{TZEVNᖣimT/37cNJUPnP҂ZOE~"-Rc4^b- FEͧtf5[)S!OZIښݲ͑;tvܡ+N)AR=hCNn;wL16-:特7M$=Tҕ-.R[HٷnXk sn[ҞD-0WS9p9:-Ϸ-jѬNu{ҹfv)[Ľvwfg(ٷfe+0mYj8Q1\ݧg]Eǎvڿc!4#j5̋C2"}BRriFp7=ô\TZ:\BLfj#I22װ<;صZl j 6:l"6]۸ K'6RTѯ^ئOԓV\?$x7s#r:Oh{ց=MmuHԷd{pN /܅:UE#Yy+(SgQ(Щ)RHzw>^Ѿݻ>mK&^ '$Jۻ&w%F|xfz%˳ L~3N?Cy9 v w/{ƿ kz3x> sXv}vP"@WyC z`'톽Dw%-tt yVY\wmuPYQA0iG-2JP,6/gˢ]u.-n!Zw.N7Q]Df}Q0({a\@=i_X7gFǘ8^⻲}G MZ1)WEfO12G+=-B@z\`||w6ċj߬m}UwRox֢I &c~XGP6Qndpvܻul'V7^FJt^{b^B(L~sѣ6@߿^xqU!ڙ5|Vpvef-uӥ^3  FSDɯKD%0r}FF穛r7 +o"V8tv̖NQU!5uFd"bCr^bJ=֤fM#ʳԷP0O-9xRBm\=`r-:;~3Tl(nXtXi%2Vٛ#vwqƴ`L@"H‹qW.j,JM5B[)WܺUeZFqc'V˷1W7V̾-MHФwn8N;HPSdݷC7&2j.W\τGŎ'Vb]c.x+Rx1%C2T{myg[qU|+m:M:շ8҉yWd)ՋWS%%:iqlʹmGwݹ WnNŤѩ5(9hTٵDdGUi-)vSs2 2{OnT$Xck n:¶(lASLeȔBjμPpTb2~N2~%^k[ܗ[Jzs0ӓHBKq[}JَA-$dFQgjxxFv4r/x*Rm% `4J(&iv7SkԲmSH1YWmx 8n.k']:Z˭_W >ڃXЩ. jTq%Aā[E}amc]D:rmHRiu:uӚӢ\p(5-q%e)(۬ҖȽIf<߽pr&ݫVfY91q2ĭEQgYbTGQ&,yL+N$[q*RVۉQ=FuTܻ>f>f㋳8N6$܌n)9&»iˤsX,݅܍ȩv+sRTpO}d?Wn/Inpȸ%O]StQO|v5\}7Zwb.AIVK^:wb{[uݯcytO߶S<{8KSRׁH̏N7ۚ[xkwYy_'ZӵF+>쌛ZUĦreE9F[24De{}@:ExWs-\ǻ7K-\JNvEk%:s˙#κ].oͳ;լ7wB6nwu:$L; DkI#Wz.:Xp(˅v$Sq,wn\qIN-e<5Oe+vuYTpcojUI_ާP8 O 7&VL8z$_B-H-[uh]T{|8=qVRN-:Ij:7PUtXϷmy鉿:RIM~33ӸS2#׳GdŲ5+/Bx{(WzȨ5Y㞎#|˖+ ط.|e<o/rߔX>7s}VE.OVti׽ .5nNJO"95{#q}Ay9do]R"M6z\tnNS-D!@3N_jicWsy*5uٮRcWv/.,j}=S)j5C^> Ie =gu9ӛqjtz]۪TMoߧI!Ǧ¶m:,"[L!{qAv-o 3{"KʼnrIkfٶj2ƙ؄S`7` k6jzޞ?e5G&6uʷ2%ԒRKE*G\Npom F/V |C0.q_eenƣ<5Oh'67ɪn[SĽ{ڔjǘzs;~׌(ۂ`ܢ1ƣ` _l9Va6%UQWh~P~\F^ZHR@:ۧCJ{ôGeBh;~ۧnU J\O+n2 RҠ)ng}Kh{5+S×ܛ.1ZjG)iRȤIN 4%{oΜ/eO[Nffd ĹK?nnԼMqX'܌nZvq<ķbFnͪaQ`5 s,M_լ?-@_{w{ӺձJ}GF[%v\5[ŒGkOw/ΜM9rjË%2+rd~+󲕛C9U۳r[aJǭm|˒LAʨSCq[XMۺoubfp:t+ΤĻo ][ zt-*67kvS7D·MMCQXm;)܎n_h%]4ܙnRk!]ڵsDUF"`R, &#R_*[z*ZqFXɻ]7|۵w+'pFDەs=r./ᐚm3Hשy yD"jHCr':sA65نѮ^o1V/ f;nFr3VM)e*- s D'H݅fӧ\*޷[k<7u<-]֍Q8R h|p=WlW3s%Q %3l}@U-K6f-NϿu|ڴmWN׮[׸F*mW\%r! C78:޳vBG7ŵ.JթԚ2x)ST!řn~9 W:Wpܢ件{xf8ٳwKE ҰWxVB\qBZ 2wMb[lGSnyԚ~z9ZmያvoN2Afnݽjf>)j3 !;gOYʹK" Wftڎ+׭b*2ϻK>ۢӱeyԪXISUm[z+ugX%0lϏnvg!;t{BqPj>PyvR7Cj]O%+ݲ :qiMj6W}3vC/R=4Som]ŗ=ю, TF6U_-\6MyskwMr&Q\wjKܩyMϣUj0*}RZܷSdY3>Zjqj6TgzpA/M`/Cmл,޻feE[/+uk^Vs1W$G(JsW2ٰu*߻q*Y޵.Wi:ur5T),=0uRmho.twܖiYwrWHntvEj8qhf`Ͻpf(R&>Ki%I7$QӖm-2 ~yߗQ-앑/ x[k8nw.c㩵k}]FkbJl:{.(˩n0Hqvαp7 귎.Gupx[N`Yq'+ruU7[ү+>!xrȫoSo]OC# d^Q]\>!ƛGw^Mx"-+%vdX-:M2UR%d>%l ioSu6lsj7D P>XxHz Ukà(n^Q V>5cVtWj SEiJdznyej[lE' 3kuٌNn4JW)gB {4 j6&]' m-(ZMEz8cz>WZ6#7+[,MR-Z!4ܓtCyE|umj1ƽvƷV\;%>Q :#Le(iVz5 4ũۤUWxX ^(ҔsլB2w-V ^R+; ˂M\z+Uwr+RWY⺧~ Q*JcYSNSλUd8in=v K낫k\IRרSUaCFmϿ5̗P|u ZTԕ}>oYѲ1sfP+sQkX8Gb~6r,s>^\,mGL+7[n-E\.Fqḕcl*Jmjb5 ,m]c}NXfeVlǸJ5eˡ$4%g~N p4Y*WwW٧<8v#;qԩTut,m"#Y D\5V`\\Lȋ];LȇiS6ϝZ l>LruR\v=ǘϔDg=ԈdFZ+M{=|,[;0>RiSi4,S5}yxw&(E7&fݙ4UՕ! ~'Id)]ǽu2K-fޭ \08Vڅ쓬=Vy^^ IhyKR-B#Ըr=]mܻӾ'*Umkoy rTqT_i,/8Q^<ݤ|4ԻO(܄"'5N~#m.(Ҿ2i6Uev&I*<}҄$eNtÛzyWJubW^iBW.܅Wڮg]irO6Ve90sgv.+sV޿aޔ[p?3q*FutUo*eL\KM'EG*ZcAFfG5J 5jj=MJ3OK:k˝'NMB7m3uFҕ\-Ywg%PRqMIyZGY9|μvn߻5cWݷa^+X֥vnݘ\v7m>Fgzv"-;Ew֝}1|RjN𿊀7g#֟*GQQ|#/bo]p$>_Un9гUbn9׃ErQBU-^vDmVh'<R[fdHT]*~}3j;nvjc7s-rӳ Y8[n[1pJx kX[Jk9Mn!_Nю6x:iZ˦U |߉^Ԛ݃hYxk &U^bwKk.[jE+P(˞=9j@snCv7%c_7=xǁ<l {t'酚+1F‹l׭:ݻILruǶkL-L(K0L1&>wXB(pm;1fpnlp֓%Skidkt(U +xulo'/ڕeN r=^pZZ:Pnj8Hf"48ijY[ N[yZٻ+=  ø:3 ?^ܷ^Sr#YK[UF?CuhC b]GM')mڏsNrܗI]ljq6VB. W,UK"YX5{c >Iqā> T:n!,5l2VzCl|+I[*SrjnS6٨y+x,@>П.g+!rn9>N|W>OZT_ut Y""v7|sfި;Pclm EùN,{'fNT%U&LfH8~1v>Il}统u6P˗c(WV~H^bMU.o*oOF0N:_:6Smr_.b+|ݶYY غF,mwjv>f*>QM뭱Sd:`N{l/⎱;n-z~"Gze퇎J5S KG9!Gn;N1 ݎ h6m|S?ɂ5'WOÞ 7|7^ao @mxGmi^jϽ>01Mf0լD3-2T. VXR"ɥV Kl J O7|u?bvа;6.eߓ|[1bmRr,eRz`z 6܎-ͨku͹Fː dPhYgZUj}nvX;z=gVեTv_J }\1n7w2J?ޘγc\E 1Aޑzq;\r]]\Y&[nsNei\uURje*Qk2CSl*xJz-xٶlm+|UjUؓ`Ladqiĩ!Gd\W~fz;Tn*PdRM&T4`չSWq5k훶(N"Ӎ% V]֦wb.nUO!u*J&Oӕ2e|Z=eV쫚΅g#+/RW:طnbi*Wyo)p{:ETKؚR(RY+r웓r(IF) VmȵNB:h Q1ғ|u8E]{,'$-TR[j49l*3"I鯴zhd>Q+\BkNF=.$ZR4Nwհ(IpNi.(Gi33#33e$FXK*NdWrud[r{xnk$v2ıh+J1TQ[#JQl[tRO]LHKٮ NӍnF񨔤֞Em'MILB"ԋ%dBŋ+p̿_17jzT~4pc Vo\ƹb9Rq-'1j;8ܗ)hE%DZKS<璸Bu*%*Yw5ڻ9ۣ^z4U; Ñk\U(o~G?VUĎ:?P?_F_Kߤ~ᓾI |pr.Ok\SklRhҪz{­P .}SktZ7UQ4ڌIM8̈eaӊJZ%FFZu,KZvln廐SNFIVtuNi?CM5]+Ph,{jN JSR$IS^tSUVrORYu.9WyP6 [Kiu m!X|]Y79ӄ)\ģ)pbڳr%*&ꑶ_-H*dzk)1 V3')UAϹٶWRxe'պn۫h7AR9 EAJeGLms!%D| A 5]/Q3eb̄vnVn%za\m kZnv([emqrIҕij|""><hjJשvvǕ|Pޟs}V~2&Z?+2N&Z4w@)4iSڪ_>/JN9Hiۏuf8'It[ȲR.hZ$ȋ_Y ~U<UUO*6b)Ovzڜj\R̋.$FsQuҊj^נ䈈y<zZIuP[}Qm=C?zN(Exqu/kn S-FzKZzOסӽjJ\)F3b!r5ٝ|;6 o=-3*λ]αb\abqRi-w޵⦪~b8Kpo)Z=>)ғ"5/GTZLE-輵f7ݘ۹~+&+w/7GFI:l33fg.N~۲\2|*cnermnnM+Fq"ѪIz%j =YW8@~gc/~?N'?)«qȸs➟n=k" X“m֮VreMh2[uݖ] *FܖN)MȐ`f0 g,C9̑o;ddudJ=In13:ݒvvdMUEJLp^,6t-@͐9'{7m{-3,>hnF;ѰM)->>+Ěz!R* :`e--m7nB\u{b U>[8֪]6^ߤLʦ\DFNo$$dͶlgno8OrsQ\l̯hRo8tuNo+ CTxu!2[>ctFpeޓƻֶR"3QrQuOѳgwQr;S~)6HhZw/GgVTmUf_yt7%$];zLWF̰xy2Ʉu!MCmš_0[W6jf#a-KLi+3Q7c^qg%s<1aYIQeZf+}>;S6L0]Yu_h9߻<ƅpmiM$AVvŚ,*#t2.8Y)-Zhshü97/#Oro"u^/uFgWɺ,p:6a,^x%$Yve^3PƗMnTP&yS}OJ '덫MH^:rXԴJۋ/rI;S*,+yz1hv)Qw^ڍJ2oL׊q(\fDj:^T%vOadɂnS}ZO)N*λdaȜkG_PIEO}нa(^iQX᯦-7^)%g'SJx(.S9zVɴZ{E ))ۅi/s7 VIV-|sj0*UBTHIqRf>FP$KqN0 R̻8j\GcC}IUz\i 6F)Q{Gҧ3qSzKj-Az VЛS-zy:8*mNk|D鿓ND2u+0Yŝ7kqm·?8Ib]u>˗^_>(]vӋzv+ݩ){vZrJ2RQ몋C$z [,pp,8mڊbR]Il .f~d/ݓs㓓mͶ{mgjQwn=Oic9ܚm4Q/6ݨ[TƧ?nԶoytf{@AzT{e{[O'ZRZt~AGD?s3􌿂ՉIw'|~U\ w~di:Kޱ)U/sU%njѩ&GSP^ǝd)..!^U` 1wX[aԇSxoFV6_扐)T 2Mfd=ۖͭiZ7KK Bi9%7@<3<ճԻU,},a}FRqɛr i@ONJvK KLN M, ʖv0n-]DwlI-X6ܶ$Jʴh5O+mOI+Ra瞠\ MG7BفjYo1#͖0V`Ѱ2M?c8>-Crt*JkIGS:e#hPKx[鱼>{5m;wcն&>j-M֥^َ) 6yȜl_w{-ō̱r> U=]iw3)r*]:K]6BdCTZ|>gf}LW}[$'Y5 &c -j.z6R 67MԷFMnÌwI7w5E}o޽+K ֵy4܌ȥW"COyR[q5Ӱ͙f[v"_#q{MV6܍3"u9BK(41ӯqˇc${ߝCi6I(OmθzҜ5k^:>Jzw.>qV8{vU[ڶEm|DžBz].KHjI]x;Mɗ{m,qZXr忇2u^RO2Z}ZێS[2Jen!*NDcrBUً4<ǼMҲs1Zw57c3&ĖڻzmP*FuJG1-dN:|OU}ҵgi2t~F^^Z.VxjvŧnNNh<:]^~NN+ge^g.SԔGFe߯'[vn'(ScJ]kܗ7eJOlRrfziݮq̋S"\*U<*W]k$FջV}? 7g#֟*GQQ|#/bo]p$>_Un9;l S VvQU%OLU{οmU6bZ1MTx%!֙Q7, J=!3 ;Q,ڌ;6ͱ݅q^&ߔ·n #WbwӖX.HtG)N&d̵zpI,n cu ޖUj+VXUp[w]N o.J6Z8Ts&utxln;~HPHS/xw`G\ʡ¿rj Z^vt"[L:SD\h0sUwR,}[x^X,R2Vn< ]2YDr[SRKs8tXb̷G?Ps Tv 3be,zVz D[/I.KOEQrm'$7|[J>r S`5յwT#\w1FTz\Ԛ &"ׅhSHrD\'r]~/>p;:Piuu:"9ő=tTaS7V2rӷk7mb[^WmPp*[y.Þ6f]cizJCgRR@UVl큝.WJP1N{/\whZ ػϧӱE7|E֫Sί.x-Y&pi%v''-x6r'Ws*6=DwwUu]=C?MK [yrtܒG$!WGqJ*%SAz ED[^)/tė/g=#Omd.|^n/sl׉g DZqemqowݮRzUܜ=ڽ-o/Iۖ;qVʘgPp|mm;6zGl9.8pwWgsJ2qPbe}}UpNjٯ}7TMQKrؽtEx%v w߾8%|j;~|}pK]ơ/ w߾8%|j;~|}pK]ơ/ w&~e_H 8PL7:%ʭ5Kw&U2vwR_+rm'}C7#rWoO&HoG?M$UR7{FU]u ;# !Wk`|W>׹潇9Vn)6)*ҹ{%qV4q>W1vi#T"Qk&GwxcJBJ- Ϸ^ˁxkU}ԣ/3.;]J=<*)cS)ROK9H=,r zX @)cS)Da^ԽQ gxJI=w֣gf*TRj

Correspondence to Joo Sun Choi. Department of Home Economics, College of Education, Kyungnam University, 7 Gyeongnamdaehak-ro, Masanhappo-gu, Changwon 51767, Korea. jschoi@kyungnam.ac.kr
• Received: July 24, 2018   • Revised: September 11, 2018   • Accepted: September 16, 2018

Copyright © 2018. The Korean Society of Clinical Nutrition

This is an Open Access article distributed under the terms of the Creative Commons Attribution Non-Commercial License (https://creativecommons.org/licenses/by-nc/4.0/) which permits unrestricted non-commercial use, distribution, and reproduction in any medium, provided the original work is properly cited.

  • 617 Views
  • 2 Download
  • 11 Crossref
prev next
  • The defective satiation signaling may contribute to the etiology of obesity. We investigated how dietary modification during maternal (pregnancy and lactation) and post-weaning affects obesity, insulin resistance (IR) and hypothalamic appetite responses in offspring in adulthood. Pregnant female SD rats were randomly allocated to either maternal high-fat diet (43% energy from fat) or control diet (12% energy from fat) until the end of suckling. After weaning for additional 4 weeks, half of the offsprings were continuously fed the same diet as the dam (C-C and H-H groups); the remainder received the counterpart diet (C-H and H-C groups). The long-term high-fat diet during maternal and post-weaning period (H-H group) led to susceptibility to obesity and IR through the significant increases of hypothalamic orexigenic genes compared to the maternal and post-weaning control diet group (C-C group). In contrast, the hypothalamic expression levels of anorexigenic genes, apolipoprotein E, leptin receptor, and activated signal transducer and activator of transcription protein 3 were significantly lower in H-H group with elevations in circulating insulin and leptin and body fat mass. However, dietary changes after weaning (H-C and C-H groups) partially modified these conditions. These results suggest that maternal and post-weaning diet conditions can potentially disrupt hypothalamic neuronal signal irrelevantly, which is essential for leptin's regulation of energy homeostasis and induce the risk of offspring to future metabolic disorders.
The nutritional and hormonal status of an animal during fetal and early life may determine the long-term control of energy metabolism, in particular by programming future feeding behavior and energy expenditure regulation [1, 2]. These factors may play a key role in determining susceptibility to obesity and metabolic disease in adult life [3]. Adverse prenatal environmental influences may induce permanent adaptive changes in the developing fetus that may promote survival in the short-term but may increase vulnerability to later obesogenic environmental stimuli [4, 5]. Over-nutrition from lactating obese dams or from the post-weaning diet may also amplify the risk of metabolic and hormonal disorders during adult life and then induce obesity [6]. Leptin and insulin plays a critical role in the establishment of this programming [7]. Insulin is the major postprandial hormone and acts by moderating satiety signals generated by a meal in the brain tissue [8]. Animals that lack or are insensitive to insulin are known to be hyperphagic and to gain weight [9]. Leptin also plays a key regulator of energy homeostasis and neuroendocrine pathways within the hypothalamus to reduce body fat content and food intake [10]. Obese humans and rodents with elevated circulating leptin levels but less functional leptin receptors (LepRs) in the brain may develop severe obesity and hyperphagia through blunting leptin sensitivity [11]. The key targets of leptin action are not only orexigenic neurons that express the peptides neuropeptide Y (NPY) and agoti-related protein (AgRP) but also anorexigenic neurons that express pro-opiomelanocortin (POMC) and cocaine amphetamine related transcript (CART) within the hypothalamic arcuate [12]. Since LepR, particularly the long form (Ob-Rb), is expressed at NPY/AgRP neurons and POMC/CART neurons, leptin is expected to act on the inhibition of NPY/AgRP neurons and on the stimulation of POMC/CART neurons through LepR [9, 12]. The intracellular domain of LepR binds to activated signal transducer and activator of transcription protein 3 (STAT3) and then phosphorylation of STAT3, to induce the expression of these neuronal peptides [10]. Recently apolipoprotein E (ApoE), which has been found in the hypothalamus as a satiation factor, was reported to be modulated by leptin [13]. While central ApoE administration reduces food intake [14], the specific intracellular signaling mechanisms activated by ApoE remain largely unknown.
The development of a hypothalamic neuropeptide network begins after birth and is achieved at the end of the second or third postnatal week in rodents [15]. Early nutritional influences may impact the normal development and maturation of this neuroendocrine network. An easy access to high-fat foods has been implicated in the rise of obesity in both children and adults [16]. Leptin and insulin resistance (IR) due to prenatal malnutrition could be amplified by peri- and post-natal high fat nutrition through neuroendocrine modification. It is important to understand how metabolic and hypothalamic signals interact with each other depending on eating behavior. Although some studies observed that the influence of maternal over-nutrition or high-fat diet before and after the weaning on the development of metabolic disorders in offspring in adult offspring (hereafter, ‘adult offspring’) [16, 17], studies which elucidate the dietary effects on hypothalamic markers at early life stage of age are much to be done in an aspect of early prevention of metabolic disorders.
We hypothesized that maternal and/or post-weaning high-fat diet will affect hypothalamic appetite signaling, predisposing to offspring to obesity. We investigated how a high-fat diet during maternal and/or post-weaning affects growth, insulin and leptin resistance, and the hypothalamic responses of appetite genes and leptin signaling in adult offspring. Furthermore, we observed whether a post-natal control diet after weaning could be ameliorate the adverse effects of exposure to the maternal high-fat diet.
Animals
The animal protocols used in the present research followed the “Guide for the Care and Use of Experimental Animals” issued by the Animal Care and Use Committee of the Korea Centers for Disease Control and Prevention (KCDC) and the Korea Food and Drug Administration, and were reviewed and approved by the Animal Ethics Committee of KCDC (KCDC-12-026-1A) and Kyungnam University (KUIAC-17-04). Eight-week-old female and male Sprague Dawley rats were purchased from Japan SLC (Shizuoka, Japan) and were housed in individual cages at 22°C ± 2°C with a 12-hour light-dark cycle. All rats were acclimated to this environment with ad libitum access to water and Purina Rat Chow (Purina #5001 Chow; Dyets, Inc., Bethlehem, PA, USA). Females were mated following the 2 weeks acclimation period. After mating was confirmed with the presence of vaginal plug, the pregnant female rats were randomly assigned to a high-fat diet (n = 8, H group) or a control diet (n = 8, C group). Animals consumed their respective diets from gestation to weaning. Dams were weighed throughout gestation. After birth, pups were weighed, and the litter size was reduced to 10 pups per dam in order to ensure sufficient milk supply and to equal numbers of males and females. After litters were weaned at postnatal week 3, offspring from the control diet and high-fat diet dams were assigned to either a high-fat diet or a control diet and fed their diet until the end of the experimental at 7 weeks of age, giving rise to 4 dietary groups in order to sacrifice for blood parameters and hypothalamic parameters. We refer to the offspring born to high-fat diet dams as H-H and H-C groups according to their post-weaning diets. Offspring born to control diet dams are referred to as C-H and C-C groups according to their post weaning diet. The first letter refers to the maternal diet (pregnancy and lactation), second letter to the diet from weaning to 7 weeks of age.
The experimental diet was modified by changing the fat and carbohydrate content, based on the AIN-93M diet (ICN Biomedicals Inc., Irvine, CA, USA). The C group provided 3.82 kcal/g (dry weight) and contained the following metabolic energy content (kcal %): 21% protein, 12% fat, and 67% carbohydrate. The H group provided 4.70 kcal/g (dry weight) and contained the following metabolic energy content (kcal %): 17% as protein, 43% as fat, and 40% as carbohydrate. Beef tallow was used as the main fat source and corn oil was added to 4% of total fat weight to supply essential fatty acids. The vitamin and mineral content in the 2 diets were identical and in accordance with the requirements for standard rat diets. Water was freely available throughout the experiment, and body mass was recorded every week. Food intake was measured every 2 days for the duration of the experiment.
Oral glucose tolerance test
After 7 weeks of maternal and post-weaning diet modification, rats were deprived of food overnight and subjected to an oral dose of glucose (2 g/kg body weight). Blood samples were obtained from the tail at 0, 30, 60, 90, and 120 minutes after glucose administration to measure glucose concentration. Blood glucose was measured using a Super Glucocard II analyzer (ARKRAY, Inc., Kyoto, Japan).
Blood and tissue collection
At the end of week 7, rats were fasted overnight and anesthetized using CO2. Blood was collected with heparinized tubes by heart puncture. Plasma was separated by centrifugation at 3,000 rpm and 4°C for 20 minutes and stored at −80°C until further analysis. Abdominal fat, liver, and brain tissues were excised and frozen immediately in liquid nitrogen, and stored at −80°C until further analysis.
Biochemical analysis of plasma and liver
Concentration of serum glucose (AM-201K), triglyceride (TG, AM-157SK), total cholesterol (TC, AM-202K), high-density lipoprotein cholesterol (HDL-C), and low-density lipoprotein cholesterol (LDL-C) were determined using an enzyme assay method (Asan Pharmaceutical, Yongin, Korea). Free fatty acids (FFAs) were determined using a NEFA kit (Wako, Osaka, Japan). Enzyme immunoassays were performed to measure plasma insulin (Rat Insulin Kit RPN2567; Amersham, Buckinghamshire, UK) and leptin (Mouse/Rat Leptin ELISA Kit, 022-LEP-E06; ALPCO Diagnostics, Salm, NH, USA). An IR index was calculated as follows:
IR index = fasting serum insulin concentration (ng/mL) × fasting serum glucose concentration (mM/L) ÷ 22.5
after modifying the method of Matthews et al. [18] by using insulin concentrations instead of insulin units. Lipid composition of liver was measured after lipid extraction. Liver were homogenized, and tissue lipid was extracted in chloroform-methanol solution according to Bligh and Dyer method [19]. The solution was centrifuged after addition of 0.9% NaCl, and the lower phase was collected for evaporation. Then phosphate-buffered saline (pH 7.4) containing 1% Triton-100 was added to dissolve the remaining pellet. Hepatic TG and cholesterol concentrations were measured using the same commercial kits as those used with the plasma.
Western blotting
The hypothalamus was homogenized in 50 mM Tris-HCl, 100 mM NaCl, and 1 mM EDTA (pH 7.5) containing a protease inhibitor cocktail (Roche diagnostics, Indianapolis, IN, USA) and a phosphatase inhibitor (Pierce, Rockford, IL, USA). Equal amounts of hypothalamus whole lysate protein were separated by 6%–8% sodium dodecyl sulfate polyacrylamide gel electrophoresis, transferred to polyvinylidene difluoride membranes, incubated in blocking buffer, and treated with primary antibodies. Rabbit polyclonal antibodies against actin were obtained from Santa Cruz Biotechnology Inc. (Santa Cruz, CA, USA). Rabbit polyclonal antibodies against phospho-STAT3 (pSTAT3 [Tyr705]), STAT3 (Cell Signaling Technology, Denver, MA, USA), and Ob-R (Santa Cruz Biotechnology Inc.) were used. Appropriate secondary antibodies were used, and the bands were visualized using enhanced chemiluminescent Western Blotting Detection Reagents (RPN2106; Amersham) and X-ray film (AGFA, Mortsel, Belgium). Tina 2.0 software (Silk Scientific Inc., Orem, UT, USA) was used for densitometric analysis of immunoreactive bands. Actin levels were determined for each blot to verify equal protein loading.
Real-time polymerase chain reaction (PCR)
Total RNA from the hypothalamus was extracted from tissues using TRI reagents (Molecular Research, Cincinnati, OH, USA) according to the manufacturer's instructions. RNA was treated with RNase-free DNase I before reverse transcription. For quantitative PCR, cDNA was synthesized using an oligo-dT primer with SuperScript II Reverse Transcriptase (Invitrogen, Carlsbad, CA, USA). RNA expression was quantified by real-time quantitative PCR using SYBR green PCR reagents (Applied Biosystems, Foster City, CA, USA) and the ABI PRISM 7300 Real-time PCR system (Applied Biosystems). The relative quantitation (r.q.) value was calculated by analyzing changes in SYBR green fluorescence during PCR according to the manufacturer's instructions. Data are expressed as 2−DDCT values obtained by normalizing to b-actin and normalizing mean ΔCT values to the C-C group. Rat-specific gene primers were as follows: β-actin forward 5′-GGCCAACCGTGAAAAGATGA-3′, reverse 5′-CACAGCCTGGATGGCTACGT-3′; NPY, forward 5′-CCGCTCTGCGACACTACATC-3′, reverse 5′-GGGCTGGATCTCTTGCCATA-3′; AgRP, forward 5′-CACCCTGGGAACAGTGTGT-3′, reverse 5′-GGCCTCCCTTGGGTTCCT-3′; POMC, forward 5′-GGCCTTTCCCCTAGAGTTCAA-3′, reverse 5′-ACGTGCTCCAAGCCATCAG-3′; CART, forward 5′-CCGAGCCCTGGACATCTACTC-3′, reverse 5′-GCCTTGGCAGCTCCTTCTC-3′; ApoE, forward 5′-CTGGTTCGAGCCGCTAGTG-3′, reverse 5′-CGTGTATCTTCTCCATTAGGTTTGC-3′.
Statistical analysis
All data were expressed as mean ± standard error (SE) and were analyzed using Statistical Analysis Systems statistical software package version 9.4 (SAS Institute, Cary, NC, USA). Comparisons between groups were made using one-way analysis of variance (ANOVA) followed by Duncan's multiple range tests. Differences between means were considered statistically significant at p < 0.05. For the study comparing sex and diet differences in the parameters measured, we analyzed by two-way ANOVA for the sex (male vs. female), the main effects of diet (C vs. H), and sex × diet interactions. For the study comparing overall diet effect, the data were analyzed by two-way ANOVA for the effects of maternal (pregnancy and lactation) diet, post-weaning diet, and maternal diet × post-weaning diet.
Body mass, fat mass, and dietary intake
There was no significant difference in maternal food intake (H group, 131.4 ± 3.6 kcal/day; C group, 111.2 ± 27.7 kcal/day) and maternal body weight gain (H group, 80.8 ± 7.7 g/week; C group, 75.0 ± 6.8 g/week) during pregnancy and lactation. The different maternal diets throughout the prenatal period did not significant change litter size (H group, n = 13.71 ± 0.78; C group, n = 14.88 ± 0.64) and mean value of pups' birth weight (H group, 6.19 ± 0.23 g; C group, 6.03 ± 0.35 g). However, the maternal high-fat diet significantly increased body weight of offspring at 3 weeks of age compared to control diet (H group, 39.4 ± 0.7 g vs. C group, 32.2 ± 0.6 g, p < 0.05). The average daily caloric intake of offspring from week 3 to 7 is shown in Fig. 1A. The average daily caloric intake was significantly increased in the H-H group compared with all the other groups in both sexes. Groups fed a control diet (C-C and H-C group) after weaning consumed significantly less energy intake in both sexes than H-H group. Female C-H offspring that switched to a high-fat diet from the control diet after weaning significantly more consumed than C-C group (Fig. 1A). Body weight changed according to maternal or post-weaning dietary treatment at week 7 (Fig. 1B). Female offspring had significantly lower body weight than male counterparts throughout the experimental period (Fig. 1B). We did not observe a significant difference in body mass among the various diet treatment groups in male adult offspring (Fig. 1B). However, H-H group's offspring in female rats were significantly heavier than C-C group's offspring reflecting energy intake (Fig. 1B). The body mass of H-C group's offspring was also significantly lower than that of H-H group's female offspring. Although it has increased, the body mass of C-H group's offspring was not significantly higher compared to C-C group's offspring (Fig. 1B).
Fig. 1

Energy intake (A), body mass (B), and fat mass (C). Values are mean ± standard error (n = 6 per sex per group).

*,†,‡Groups with different marks are significantly different at p < 0.05.
cnr-7-276-g001.jpg
Both of maternal and post-weaning dietary modifications led to changes in fat mass (Fig. 1C). The fat mass was significantly higher in H-H group compared to the C-C group in both sexes. The fat mass of H-C group's offspring was significantly lower than that of H-H group's offspring in both sexes, but it was not significantly different in the C-H group, in spite of increasing trend of fat accumulation compared to the C-C group (Fig. 1C).
The levels of biochemical parameters in plasma and liver
After 7 weeks of maternal and post-weaning dietary modifications, glucose intolerance was significantly increased in H-H group compared with C-C group in both sexes (Fig. 2A and 2B). Although the levels of fasting glucose were not significantly changed (Fig. 2A-2C), the fasting plasma insulin level and IR index in H-H group in both sexes were significantly increased compared with C-C group, indicating overall impairment in insulin sensitivity (Fig. 2D and 2E). In male H-C group's offspring that switched to a control diet from high-fat diet after weaning, it was significantly improved glucose tolerance and insulin sensitivity, as can be seen from the decline of the levels of insulin and IR index and the results of glucose intolerance test (Fig. 2A, 2D, and 2E). Plasma leptin levels were closely related to body mass and dietary intake, reflecting body fat deposition. The plasma leptin levels were also significantly higher in the H-H group compared to the C-C group in both sexes. C-H group had significantly higher leptin levels compared with C-C group in both sexes (Fig. 2F). On the contrary, the effect of switching to the control diet on plasma leptin levels could be seen in female rats only (H-C vs. H-H; Fig. 2F).
Fig. 2

Glucose tolerance (A, B), plasma glucose (C), insulin (D), IR index (E) and leptin (F) levels. Values are mean ± standard error (n = 6 per sex per group).

IR, insulin resistance.
*,†,‡Groups with different marks are significantly different at p < 0.05.
cnr-7-276-g002.jpg
The plasma levels of TC and LDL-C in H-H offspring were higher, respectively, than in C-C offspring in both sexes (p < 0.05). However, there were no significant differences in the plasma levels of TG, FFA, and HDL-C. The hepatic TG concentration was higher in H-H group's offspring than in C-C group's offspring in both sexes but TC concentration was higher in H-H group's offspring than in C-C group's offspring in female (p < 0.05). The lipid content of plasma and liver were significantly changed by the long-term high-fat diet intake. However, diet switching effect to the control diet or the high-fat diet on plasma and liver lipid levels could not be seen in both sexes (Table 1).
Table 1

Plasma lipid composition

Table 1
Group C-C C-H H-C H-H
Plasma
Male
TG, mg/dL 47.09 ± 17.97 43.91 ± 10.22 47.09 ± 10.66 55.43 ± 13.64
TC, mg/dL 93.40 ± 7.54 112.20 ± 4.62 165.84 ± 10.33* 164.14 ± 7.04*
HDL-C, mg/dL 20.71 ± 1.57 20.31 ± 3.25 17.67 ± 1.02 15.35 ± 1.25
LDL-C, mg/dL 63.27 ± 6.91 83.11 ± 2.61 138.75 ± 8.28* 137.70 ± 6.31*
FFA, uEq/L 787.44 ± 164.09 625.19 ± 70.21 650.76 ± 73.62 586.97 ± 25.97
Female
TG, mg/dL 24.29 ± 6.00 24.48 ± 6.81 28.90 ± 7.04 24.91 ± 5.44
TC, mg/dL 85.40 ± 2.93 82.00 ± 3.27 137.69 ± 4.81* 138.54 ± 11.88*
HDL-C, mg/dL 18.98 ± 0.94 17.07 ± 0.81 16.84 ± 1.84 14.43 ± 1.14
LDL-C, mg/dL 61.57 ± 1.85 60.04 ± 5.26 115.07 ± 4.70* 119.13 ± 11.39*
FFA, uEq/L 652.18 ± 44.79 479.03 ± 49.32 600.98 ± 72.78 458.25 ± 25.46
Liver
Male
TG, mg/g 25.89 ± 2.03 28.90 ± 3.20*† 25.58 ± 1.82*† 28.88 ± 1.94*
TC, mg/g 25.89 ± 2.03 27.18 ± 3.74 24.07 ± 0.97 29.09 ± 3.38
Female
TG, mg/g 21.25 ± 1.06 21.55 ± 0.97 24.14 ± 2.13*† 27.78 ± 1.54*
TC, mg/g 21.90 ± 1.12 22.55 ± 0.67 22.20 ± 1.04 27.01 ± 1.66*
Values are mean ± standard error (n = 6 per sex per group).
TG, triglyceride; TC, total cholesterol; HDL-C, high-density lipoprotein cholesterol; LDL-C, low-density lipoprotein cholesterol; FFA, free fatty acid.
*,†Different superscript marks were significantly different between groups at p < 0.05.
We observed that the type of dietary intake plays an important role in the change of the calorie intake, body weight, fat mass, insulin, IR index and leptin. Maternal diet or post-weaning diet also affected these parameters but the changes were not consistent (Table 2).
Table 2

The effect of maternal and post-weaning diet on parameters in offspring

Table 2
Group Sex Diet Sex × diet Male Female
Maternal* Post-weaning Maternal × post-weaning Maternal* Post-weaning Maternal × post-weaning
Intake, kcal/day < 0.0001 < 0.0001 NS 0.002 0.001 NS 0.01 < 0.0001 NS
BW, g < 0.0001 0.0005 NS NS NS NS 0.001 0.05 NS
Fat, g 0.0005 < 0.0001 NS 0.05 0.02 NS 0.05 0.005 NS
Glucose, mg/dL NS NS NS NS NS NS NS NS NS
Insulin, ng/mL NS 0.002 NS NS 0.048 NS 0.017 NS NS
IR index NS 0.003 NS NS NS NS 0.023 NS NS
Leptin, ng/mL 0.005 0.0005 NS NS 0.01 NS NS 0.002 NS
LepR NS < 0.0001 NS NS 0.005 NS NS < 0.0001 NS
pSTAT3 < 0.0001 < 0.0001 0.01 NS NS 0.05 0.0005 < 0.0001 0.05
NPY NS < 0.0001 NS 0.0005 < 0.0001 < 0.0001 0.001 0.002 0.005
AgRP NS < 0.0001 NS < 0.0001 NS NS < 0.0001 0.002 0.02
POMC NS < 0.0001 NS < 0.0001 < 0.0001 0.01 < 0.0001 < 0.0001 0.001
CART < 0.0001 < 0.0001 0.0002 0.0002 < 0.0001 0.01 < 0.0001 0.005 NS
ApoE < 0.0001 < 0.0001 0.02 0.0005 < 0.0001 0.02 < 0.0001 < 0.0001 NS
BW, body weight; IR, insulin resistance; LepR, leptin receptor; pSTAT3, phosphorylation of signal transducer and activator of transcription protein 3; NPY, neuropeptide Y; AgRP, agoti-related protein; POMC, pro-opiomelanocortin; CART, cocaine amphetamine related transcript; ApoE, apolipoprotein E; NS, not statistically significant at p < 0.05.
Two-way analysis of variance test to observe the sex and diet effect or the maternal and post-weaning diet effect: *Maternal: effect of the diet up to weaning from pregnant (prenatal and pre-weaning period); Post-weaning: effect of the diet after weaning; Maternal x post-weaning; Interaction of the effect of the diet up to weaning from the pregnant and the effect of the diet after weaning.
Expression of hypothalamic appetite genes
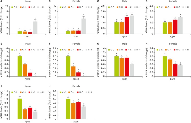
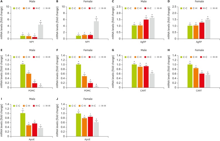
Hypothalamic mRNA expression of appetite-relating genes responded to maternal and post-weaning dietary modification similarly in both sexes. Long-term high-fat diets significantly increased orexigenic genes and significantly reduced anorexigenic genes compared to control diets. Orexigenic NPY and AgRP mRNA expression were significantly higher in H-H group compared with C-C group (Fig. 3A-3D). In contrast, mRNA expression of anorexigenic POMC, CART, and ApoE were significantly lower in offspring from H-H group compared with C-C group (Fig. 3E-3J). As a result of dietary switching after weaning, NPY and AgRP mRNA expression level of C-H group were not significantly different compared with those of C-C group (Fig. 3A-3D) in both sexes. However, both male and female C-H group showed significantly lower mRNA expression of POMC and ApoE than C-C group. C-H group rats showed lower CART mRNA expression compared with C-C group only in female. In the contrary, according to supply high-fat diet, male H-C group showed lower NPY expression in both sexes and lower AgRP expression in female than H-H group (p < 0.05). H-C group had significantly higher POMC mRNA expression than H-H group in both sexes. CART mRNA expression was higher in H-C group rats than H-H group rats, and this condition could be seen in male rats (p < 0.05). Female H-C rats showed higher ApoE mRNA expression than female H-H group (p < 0.05).
Fig. 3

NPY (A, B), AgRP (C, D), POMC (E, F), CART (G, H), and ApoE (I, J) mRNA levels in the hypothalamus. Values are mean ± standard error (n = 6 per sex per group).

NPY, neuropeptide Y; AgRP, agouti-related protein; POMC, pro-opiomelanocortin; CART, cocaine and amphetamine related transcript; ApoE, apolipoprotein E.
*,†,‡,§Groups with different marks are significantly different at p < 0.05.
cnr-7-276-g003.jpg
When we consider sex effect and diet effect by two-way ANOVA, we observed the sex and diet interactions in the gene expression of CART (p < 0.000) and ApoE (p < 0.02) but not in the gene expression of NPY, AgRP, and POMC. When we consider the maternal and post-weaning diet effect by two-way ANOVA, the expression of NPY, POMC, CART, and ApoE were affected by maternal (pre-weaning) and post-weaning diet in both sexes. The expression of AgRP was affected by both of maternal and post-weaning diet in female rats but it was affected only by maternal diet in male rats. There were interactive effects between maternal and post-weaning diet on NPY and POMC mRNA level in both sexes (Table 2).
Effect of dietary changes on hypothalamic LepR and STAT3 levels
Hypothalamic LepR protein levels were significantly affected by maternal diet as well as post-weaning diet in both sexes (p < 0.01; Table 2). LepR protein levels were significantly lower in the H-H group compared to the C-C group in both sexes. Switching to the post-weaning high-fat diet (C-H group) significantly decreased LepR protein level when we compared with C-C group in both sexes. On the contrary, H-C group showed higher LepR protein levels than H-H group in male and female rats (Fig. 4A and 4B).
Fig. 4

LepR (A, B) and STAT3 phosphorylation (C, D) in the hypothalamus. (A, C) are the results for males and (B, D) are the results for females. Values are mean ± standard error (n = 6 per sex per group).

LepR, leptin receptor; STAT3, signal tranducer and activator of transcription protein 3; pSTAT3, phosphorylation of STAT3.
*,†,‡Groups with different marks are significantly different at p < 0.05.
cnr-7-276-g004.jpg
To test whether LepR can regulate downstream targets such as STAT3, we measured pSTAT3 (Tyr 705) levels in the hypothalamus of rats. In both sexes, we observed lower hypothalamic pSTAT3 levels in rats exposed to high-fat diets (C-H, H-C, and H-H groups) compared to animals in the C-C group (Fig. 4C and 4D). Especially, H groups (C-H and H-H groups) significantly decreased pSTAT3 levels compared to the C group (C-C and H-C groups) in female rats. The level of pSTAT3 was significantly affected not only by sex × diet type but also by maternal diet (pre-weaning) × post-weaning diet (Table 2).
The adverse environmental conditions during early life plays important roles in the development of hypothalamic neuronal systems, which might predispose offspring to become obese adults. Results from male and female offspring indicated that exposure to long-lasting high-fat diet consumption during maternal (prenatal and pre-weaning) and post-weaning periods showed significantly increased body weight, fat mass, plasma insulin and leptin, glucose intolerance, IR and orexigenic genes (NPY/AgRP) mRNA and decreased the levels of anorexigenic genes (POMC/CART) mRNA with decreased protein levels of LepR and STAT3 activation (pSTAT3). These detrimental effects were partially reversed by switching the diet from high-fat diet to control diet, while the beneficial effects were deteriorated by switching the diet from control diet to high-fat diet after weaning. Although some biochemical parameters did not change in the same direction depending on sex, female offspring were more affected than male offspring, as leptin, food intake and body weight were increased in females due to high-fat diets after weaning. Providing control diet after weaning lowered calorie intake, fat weight and plasma insulin and leptin levels, IR, accompanied with decreased appetite-promoting genes and increased appetite-suppressing genes and leptin signal. In the contrary, post-weaning high-fat diet induced an opposite pattern to that seen by the control diet. Post-weaning high-fat diet increased leptin levels and decreased appetite-suppressing genes and leptin signal, which appeared more clearly in the female offspring than in the male offspring. The effect of post-weaning dietary modification like this was more effective when the high-fat diet converted to the control diet than when the control diet converted to high-fat diet. It could be proposed that the hypothalamic programming effects of maternal obesity and/or high-fat diet on offspring hypothalamic energy regulation. Exposure to an overnourished environment during early life potentiates development and expression of orexigenic peptide and perhaps neurons, probably promoting hyperphagia and obesity. This implies that exposure to high calorie meals in the early stages of life has a greater impact. The exposure to maternal high-fat diet increases the risk of this programming, a risk further exacerbated by post-weaning high-fat diet consumption. This is indicated that post-weaning diet also can modify some extend the hypothalamic programming formed in maternal period. However, an early nutritional intervention, consumption of the control diet at weaning, was not sufficient to ameliorate many of these changes in hypothalamic programming although it shows improving effects.
Previously the consequences of a maternal high-fat diet during gestation or lactation, or both, on offspring were reported in some studies [5, 17]. In those studies, the offspring from obese dams fed a high-fat diet during mating, gestation and lactation became gained more weight than those from lean dams. Maternal obesity status also continued until weaning. In our study, although the maternal and post-weaning high fat-diet did not affect the apparent maternal obesity and the reduction of litter size and offspring's birth weight, those dietary conditions could eventually affect energy metabolism in offspring. In addition, maternal high-fat diet during maternal (pregnancy and lactation) could continuously affect energy balance of offspring that switched from high-fat diet to the control diet after weaning.
To explore the underlying mechanisms of these long-term maternal and post-weaning effects on body mass due to high-fat feeding or diet modification, we have discussed this mechanism in more detail through the relationship between insulin and leptin resistance, and appetite-regulating genes. Consistent with other reports [20, 21], the maternal and the postnatal high-fat diet predisposed offspring to increased adiposity at 7 weeks of age in both sexes. Offspring fed a high-fat diet throughout the study showed the highest insulin and leptin levels and the highest fat mass and caloric intakes among groups. Providing control diet after weaning decreased fat mass compared to high-fat diet after weaning. Insulin is involved in the control of eating behavior by moderating satiety signals generated by a meal [7, 8]. Insulin directly inhibited orexigenic NPY and AgRP and stimulated anorexic POMC and CART neurons [12]. On the other hand, the benefits promoted by insulin centrally are not found in situations of resistance of this hormone. The decreased sensitivity to insulin results in increased food consumption and in inaccurate valuation of foods, contributing to impulsive eating and obesity [8]. In our study, IR was positively correlated with energy intake, body and fat weight and the mRNA expression of NPY and AgRP and negatively correlated with the mRNA expression of POMC and CART. IR seems to be involved in reducing peripheral insulin transport and its uptake into the brain, turning the neurons less able to control appetite. Leptin is mainly secreted by adipocytes in proportion to body fat content and acts both in the brain and in the peripheral tissues. Leptin is also key signaling molecule responsible for long-term satiety and energy balance. Leptin acts on the hypothalamus through its long-form LepR and regulates food intake and energy expenditure [22]. Mutations that cause defective leptin secretion or abnormal LepR signaling result in obesity in ob/ob mice [23]. Because obesity is associated with central leptin resistance, we have focused on identifying the mechanisms involved in the action of leptin on hypothalamic neural circuitry for energy homeostasis. In our study, both of maternal and post-weaning high-fat diet significantly increased plasma leptin levels but significantly decreased hypothalamic LepR levels. Reduced hypothalamic expression of LepR possibly decreased the accessibility of leptin to hypothalamus. It consequently could affect feeding centers which contain neuropeptide-producing neuronal cells that express LepR and then regulate the expression levels of neuropeptides. Actually, high-fat feeding during early developmental stages could subsequently increase food intakes and body fat accumulation by increasing the expressions of orexigenic NPY and AgRP and decreasing the expression of anorexigenic peptides such as CART and POMC. Therefore, insensitivity to leptin action due to a high-fat diet during early developmental stages also could be one of the main mechanisms behind the regulation of food intake and the development of obesity.
Defects in hypothalamic leptin signaling are to be associated with the STAT3-dependent pathway [23]. A leptin surge, likely produced by differentiating white adipose tissue, is observed in rodent pups during the first 3 weeks of life [15, 24]. Mice that possess defects in the LepR or leptin synthesis, i.e., db/db mice or ob/ob mice, do not show pSTAT3- or STAT3-positive cell bodies in the ARC, respectively [25]. In our study, LepR showed positive correlation with pSTAT3. Hypothalamic pSTAT3 levels was lower in the maternal and post-weaning high-fat diet than that of the control diet at week 7 and its expression closely reflects blood leptin levels in these animals. Out data suggest that the decreases of LepR and pSTAT3 level would significantly increase the appetite through increasing NPY and AgRP and decreasing POMC and CART, and result in the decrease of energy intake, body weight and fat mass. The decreased pSTAT3 expression can inhibit leptin signaling, leading to leptin resistance in rats consuming high-fat diet. Leptin response through pSTAT3 activation could be acquired during the second week of postnatal life [26]. Leptin begins to accelerate the metabolic rate and promotes insulin sensitivity before it becomes capable of inducing a reduction in food intake [27]. In current experiment, dietary changes at week 3 of postnatal life might influence neurotrophic actions on immature CNS cells and its modification has been shown to have long-term effects on metabolism. There was some improvement of STAT3 activation and ApoE expression in female post-weaning C group, compared to the maternal and post-weaning H group, although this did not reach statistical significance in male rats.
ApoE is essential for the normal catabolism of triglyceride-rich lipoprotein constituents and is initially recognized for its importance in lipoprotein metabolism and cardiovascular disease [28]. More recently, ApoE is also known to be highly expressed in the hypothalamus and act as a physiological controller of food intake [13, 29]. Impairments in ApoE production could lead to chronic increases in meal sizes, which might result in obesity. We observed that the expression of hypothalamic ApoE mRNA was significantly lowered in maternal and post-weaning high-fat diet compared to the control diet. It showed a very close negative relationship between ApoE level and energy intake, which suggested that reduced ApoE levels contributed to hyperphagia. ApoE also has a positive relationship with LepR protein level, pSTAT3, POMC and CART levels and a negative relationship with AgRP and NPY. Prospective role of ApoE in energy balance made an explanation by the relationship between ApoE level and energy intake, body weight and fat mass. It was first observed that ApoE has a close relationship between Leptin and STAT3 signaling pathway in hypothalamus and their levels were significantly reduced in adult offspring fed maternal high-fat diet or post-weaning high-fat diet. The molecular mechanisms mediating the anorectic action of ApoE needs to be explored in future experiments.
The present study suggests the importance of diet on the regulation of hypothalamic gene expression and energy intake during growth. These differences according to diet type and exposed time were accompanied by some modifications in neuroendocrine gene expression through insulin-leptin-signaling pathway. The long-term high-fat diet during early life could lead to insulin and leptin resistance, decreased levels of hypothalamic LepR, decreased activation of STAT3, decreased anorexic genes, increased expression of orexigenic genes, increased energy intake, and increased risk of obesity. Switching the diet post-weaning may partially reverse these conditions. These results suggest that maternal and post-weaning diet conditions can alter the susceptibility of offspring to future metabolic disorders. Predispose to an overnourished environment during early life potentiates development and expression of orexigenic peptide, probably promoting hyperphagia and obesity. Although the post-weaning environment could modify early nutritional programming during early life, it was not sufficient to ameliorate many of these changes in hypothalamic programming.

Conflict of Interest: The author declares no potential conflicts of interest.

The author thanks Dr. Ji Hyun Song, Jung Eun Kim and the colleagues of Division of Endocrine and Metabolic Diseases in Korea National Institute of Health for their cooperation that has been given to the animal experiments and analysis. Author declares no conflict of interest that may prejudice the impartiality of this scientific work.
  • 1. Taylor PD, Poston L. Developmental programming of obesity in mammals. Exp Physiol 2007;92:287-298.
  • 2. Sullivan EL, Nousen EK, Chamlou KA. Maternal high fat diet consumption during the perinatal period programs offspring behavior. Physiol Behav 2014;123:236-242.
  • 3. McMillen IC, Edwards LJ, Duffield J, Muhlhausler BS. Regulation of leptin synthesis and secretion before birth: implications for the early programming of adult obesity. Reproduction 2006;131:415-427.
  • 4. Gorski JN, Dunn-Meynell AA, Hartman TG, Levin BE. Postnatal environment overrides genetic and prenatal factors influencing offspring obesity and insulin resistance. Am J Physiol Regul Integr Comp Physiol 2006;291:R768-R778.
  • 5. Ikenasio-Thorpe BA, Breier BH, Vickers MH, Fraser M. Prenatal influences on susceptibility to diet-induced obesity are mediated by altered neuroendocrine gene expression. J Endocrinol 2007;193:31-37.
  • 6. McMillen IC, Robinson JS. Developmental origins of the metabolic syndrome: prediction, plasticity, and programming. Physiol Rev 2005;85:571-633.
  • 7. Parent MB, Darling JN, Henderson YO. Remembering to eat: hippocampal regulation of meal onset. Am J Physiol Regul Integr Comp Physiol 2014;306:R701-R713.
  • 8. Kullmann S, Heni M, Hallschmid M, Fritsche A, Preissl H, Häring HU. Brain insulin resistance at the crossroads of metabolic and cognitive disorders in humans. Physiol Rev 2016;96:1169-1209.
  • 9. Kalra SP, Dube MG, Pu S, Xu B, Horvath TL, Kalra PS. Interacting appetite-regulating pathways in the hypothalamic regulation of body weight. Endocr Rev 1999;20:68-100.
  • 10. Elmquist JK, Coppari R, Balthasar N, Ichinose M, Lowell BB. Identifying hypothalamic pathways controlling food intake, body weight, and glucose homeostasis. J Comp Neurol 2005;493:63-71.
  • 11. Grattan DR, Ladyman SR, Augustine RA. Hormonal induction of leptin resistance during pregnancy. Physiol Behav 2007;91:366-374.
  • 12. Palou M, Sánchez J, Rodríguez AM, Priego T, Picó C, Palou A. Induction of NPY/AgRP orexigenic peptide expression in rat hypothalamus is an early event in fasting: relationship with circulating leptin, insulin and glucose. Cell Physiol Biochem 2009;23:115-124.
  • 13. Shen L, Tso P, Wang DQ, Woods SC, Davidson WS, Sakai R, Liu M. Up-regulation of apolipoprotein E by leptin in the hypothalamus of mice and rats. Physiol Behav 2009;98:223-228.
  • 14. Shen L, Tso P, Woods SC, Clegg DJ, Barber KL, Carey K, Liu M. Brain apolipoprotein E: an important regulator of food intake in rats. Diabetes 2008;57:2092-2098.
  • 15. Mela V, Jimenez S, Freire-Regatillo A, Barrios V, Marco EM, Lopez-Rodriguez AB, Argente J, Viveros MP, Chowen JA. Blockage of neonatal leptin signaling induces changes in the hypothalamus associated with delayed pubertal onset and modifications in neuropeptide expression during adulthood in male rats. Peptides 2016;86:63-71.
  • 16. Song Y, Park MJ, Paik HY, Joung H. Secular trends in dietary patterns and obesity-related risk factors in Korean adolescents aged 10–19 years. Int J Obes 2010;34:48-56.
  • 17. Chen H, Simar D, Morris MJ. Hypothalamic neuroendocrine circuitry is programmed by maternal obesity: interaction with postnatal nutritional environment. PLoS One 2009;4:e6259.
  • 18. Matthews DR, Hosker JP, Rudenski AS, Naylor BA, Treacher DF, Turner RC. Homeostasis model assessment: insulin resistance and β-cell function from fasting plasma glucose and insulin concentrations in man. Diabetologia 1985;28:412-419.
  • 19. Bligh EG, Dyer WJ. A rapid method of total lipid extraction and purification. Can J Biochem Physiol 1959;37:911-917.
  • 20. Tozuka Y, Wada E, Wada K. Diet-induced obesity in female mice leads to peroxidized lipid accumulations and impairment of hippocampal neurogenesis during the early life of their offspring. FASEB J 2009;23:1920-1934.
  • 21. Bayol SA, Simbi BH, Bertrand JA, Stickland NC. Offspring from mothers fed a ‘junk food’ diet in pregnancy and lactation exhibit exacerbated adiposity that is more pronounced in females. J Physiol 2008;586:3219-3230.
  • 22. Coll AP, Farooqi IS, O'Rahilly S. The hormonal control of food intake. Cell 2007;129:251-262.
  • 23. Björnholm M, Münzberg H, Leshan RL, Villanueva EC, Bates SH, Louis GW, Jones JC, Ishida-Takahashi R, Bjørbaek C, Myers MG Jr. Mice lacking inhibitory leptin receptor signals are lean with normal endocrine function. J Clin Invest 2007;117:1354-1360.
  • 24. Heldsinger A, Grabauskas G, Song I, Owyang C. Synergistic interaction between leptin and cholecystokinin in the rat nodose ganglia is mediated by PI3K and STAT3 signaling pathways: implications for leptin as a regulator of short term satiety. J Biol Chem 2011;286:11707-11715.
  • 25. Kwon O, Kim KW, Kim MS. Leptin signalling pathways in hypothalamic neurons. Cell Mol Life Sci 2016;73:1457-1477.
  • 26. Devaskar SU, Ollesch C, Rajakumar RA, Rajakumar PA. Developmental changes in ob gene expression and circulating leptin peptide concentrations. Biochem Biophys Res Commun 1997;238:44-47.
  • 27. Håkansson-Ovesjö ML, Collin M, Meister B. Down-regulated STAT3 messenger ribonucleic acid and STAT3 protein in the hypothalamic arcuate nucleus of the obese leptin-deficient (ob/ob) mouse. Endocrinology 2000;141:3946-3955.
  • 28. Frontini A, Bertolotti P, Tonello C, Valerio A, Nisoli E, Cinti S, Giordano A. Leptin-dependent STAT3 phosphorylation in postnatal mouse hypothalamus. Brain Res 2008;1215:105-115.
  • 29. Chan ES, Chen C, Cole GM, Wong BS. Differential interaction of apolipoprotein-E isoforms with insulin receptors modulates brain insulin signaling in mutant human amyloid precursor protein transgenic mice. Sci Rep 2015;5:13842.

Download Citation

Download a citation file in RIS format that can be imported by all major citation management software, including EndNote, ProCite, RefWorks, and Reference Manager.

Format:

Include:

Effects of Maternal and Post-Weaning High-Fat Diet on Leptin Resistance and Hypothalamic Appetite Genes in Sprague Dawley Rat Offspring
Clin Nutr Res. 2018;7(4):276-290.   Published online October 17, 2018
Download Citation

Download a citation file in RIS format that can be imported by all major citation management software, including EndNote, ProCite, RefWorks, and Reference Manager.

Format:
Include:
Effects of Maternal and Post-Weaning High-Fat Diet on Leptin Resistance and Hypothalamic Appetite Genes in Sprague Dawley Rat Offspring
Clin Nutr Res. 2018;7(4):276-290.   Published online October 17, 2018
Close

Figure

  • 0
  • 1
  • 2
  • 3
Effects of Maternal and Post-Weaning High-Fat Diet on Leptin Resistance and Hypothalamic Appetite Genes in Sprague Dawley Rat Offspring
Image Image Image Image
Fig. 1 Energy intake (A), body mass (B), and fat mass (C). Values are mean ± standard error (n = 6 per sex per group).*,†,‡Groups with different marks are significantly different at p < 0.05.
Fig. 2 Glucose tolerance (A, B), plasma glucose (C), insulin (D), IR index (E) and leptin (F) levels. Values are mean ± standard error (n = 6 per sex per group).IR, insulin resistance.*,†,‡Groups with different marks are significantly different at p < 0.05.
Fig. 3 NPY (A, B), AgRP (C, D), POMC (E, F), CART (G, H), and ApoE (I, J) mRNA levels in the hypothalamus. Values are mean ± standard error (n = 6 per sex per group).NPY, neuropeptide Y; AgRP, agouti-related protein; POMC, pro-opiomelanocortin; CART, cocaine and amphetamine related transcript; ApoE, apolipoprotein E.*,†,‡,§Groups with different marks are significantly different at p < 0.05.
Fig. 4 LepR (A, B) and STAT3 phosphorylation (C, D) in the hypothalamus. (A, C) are the results for males and (B, D) are the results for females. Values are mean ± standard error (n = 6 per sex per group).LepR, leptin receptor; STAT3, signal tranducer and activator of transcription protein 3; pSTAT3, phosphorylation of STAT3.*,†,‡Groups with different marks are significantly different at p < 0.05.
Effects of Maternal and Post-Weaning High-Fat Diet on Leptin Resistance and Hypothalamic Appetite Genes in Sprague Dawley Rat Offspring
Table 1 Plasma lipid composition

Values are mean ± standard error (n = 6 per sex per group).

TG, triglyceride; TC, total cholesterol; HDL-C, high-density lipoprotein cholesterol; LDL-C, low-density lipoprotein cholesterol; FFA, free fatty acid.

*,†Different superscript marks were significantly different between groups at p < 0.05.

Table 2 The effect of maternal and post-weaning diet on parameters in offspring

BW, body weight; IR, insulin resistance; LepR, leptin receptor; pSTAT3, phosphorylation of signal transducer and activator of transcription protein 3; NPY, neuropeptide Y; AgRP, agoti-related protein; POMC, pro-opiomelanocortin; CART, cocaine amphetamine related transcript; ApoE, apolipoprotein E; NS, not statistically significant at p < 0.05.

Two-way analysis of variance test to observe the sex and diet effect or the maternal and post-weaning diet effect: *Maternal: effect of the diet up to weaning from pregnant (prenatal and pre-weaning period); Post-weaning: effect of the diet after weaning; Maternal x post-weaning; Interaction of the effect of the diet up to weaning from the pregnant and the effect of the diet after weaning.