Skip to main navigation Skip to main content
  • KSCN
  • E-Submission

CNR : Clinical Nutrition Research

OPEN ACCESS
ABOUT
BROWSE ARTICLES
EDITORIAL POLICIES
FOR CONTRIBUTORS

Articles

Original Article

Association between Total Diet Quality and Metabolic Syndrome Incidence Risk in a Prospective Cohort of Korean Adults

Clinical Nutrition Research 2019;8(1):46-54.
Published online: January 29, 2019

Department of Food and Nutrition, Sungshin Women's University, Seoul, Korea.JFIFddDuckydqhttp://ns.adobe.com/xap/1.0/ Adobed     ! 1AQa"q 2#w8B36v7XRr$9bCt%u&Ws'(xy4T5fH  !1AQaq"2B Rbr#u67Ѳ3sTt5v8Sc$4ĂCÔ%UӅFV ?_Aנj- H>>,m*>fzp"TrKkr^r.|_&]|*vPuܶvoQ1mwVJUhu-I"=LniAƕ8"۲ k*ҿ[yu:.vUQ+)%F DHyVBk>Hy8jݹ q~9D4KRmzQ)^ʔ.J%k_tVi5NTjg!'ky|5asOȻ)R۸ߩFMԿ3L4j6dڜ#NIwUF]JqB/(FafJRzq3\G՛ ?~\ 6)6W4m[O^L0E&rRMض*C .]Unl-1 1r#Rj/&QɈ׉˩s6Rj=5Tg.y.·Pӡ:JJS:C8-2u]d&vUz;7p9 5VnL֢"y)">iי(IDDd| Yj0; LRfS:ktYK%*N2^m|&dğth":ey)uPQZW)gcC3Pv&MMWd&Ŵ۲mvTRoժM03*F3Yd6\8,\hݻ kߔi<k NTwSԪmljj[>->ptU%'LR>&EBH$MQAUx[$Z6vi&_a.KIQ{hyƒ j"JOC9eFҝfj;˚Ω<[3_m% lQ@4g=5$(J]Yc-OMq<Ǎ wSzڗ)k$7VIP붾ͯnV+卵*t]iЎD31~SA1éC2u)ʼnQn-Uoi3:grI8ؓWm*G zܕ)ZקJ}Y YlGeJ6cB2I NS3Q>k=KTBT]W6+SOXQgGR? telˊ%-Re\hѯ2TF"C/OJΩ6r[N.0{SpljjX1“jOsӥ;ҭhe}xu`Ք&.)yO̒ Fߑ.$Qw;9Iw2o+RVJMSOj[SoҌZ%;`d$blQ{Ro{Imڌ>3egf\O֝Uzx"䢸g+mv%Gʆ:|V[N'&ס-ޝ'kfE|K,G&˳98Juin/\\Qݿ̋v~Ǩ!rtWU d|E߫R4d}.qPw*Ӭv5YEcn~f5c%MTMkb-F>5JT,})QHg%{("ӔȸWMsYyWNRrkkJr0XドnͫT}r-jj,Ŕʍ\Q2Ri>v$5!]"JB2WɅ)]VԜUc8i|.jeRO6^V.¸ Q&#|ܶ-*uOG%JAtRZRr]FFG\۩w+?'zչSѧt jz>KW&ot{7P&2D;&\\>Q2JzܗAKSfeNn[jRrԕf6,q,F1tRfԗ>vֶևj-&R'Zi2=xv~Elbsvm8=ӛ"ū񕜈BȩlWau[]ٷBߨF~J!|Ipr3R̴#Yp)={7:G{+:\W}n|Q#%)7^-h"Ƒq:M*%J&$T軨I333׎g_- ucBwwjp[6i25$̏bU’ٱRv?G\~#Iͪb7<<}Ezt" q_Inw,7-d,G÷%T* Wg1"䥱kq/A.,_KhqŒxwvo u2ۥۧ.bQ}XκA$֣ +K״ZUNmڸII{.v{5z5ѮRme[moyƾd~cRݾK'j.\i&/S6f|b=5: p!6i_ 4j6=.si˧eƾtS^c.Y^RJVS-Vi3,esi08?H$GvZgg?gi䤟2adw릿:"۪lkSN>q-4kI܋ێe̊qۅgDoѨ9; #T.Q;7#~_Ufstb_'w~Xw1Xk,vcOt._}v}8"(4Z\ۘgk?J?bm_c!g{HZV]Fkk%~gEt)b秴vΰB|꽸}mp~E6ݹv;7P٤v+ri*3Ԣ|'O14_~7nP{7ZU\Vű[ +7󖱅o#:ǥŬ\|3r%TJX]V7ez¨Y]lc|O3V! R zbJ'PnGqVJ"19WVeOF埜EaEJωqCN5Z g-9[S<$sUK5b|7sn\7x qmv##FF\ w[=-43$^ooVSiXօv7iB۴yg>]Vf"r$J3""32!Zh[K%7GvNLs+4nB/B{vlsobJaҺJR:0g%&zR\ S3T[&ִor*ⷳc3ʊO[iozW٨%$gn:ܶWwFBԹjHP&z u&F2\f;ipW73 [; '_̽b;vib!oec dC-tS__$Xs]l9&z$2/N>%'[}b{h/{`{Ji׉׏ YJB/X%}.|+{(S:qz]4_Kѵo`^tY_4S#* ^zvݾMr+TrkQ g.8Ͽ^i>ӈǙvix>$o( ^qt*&t1oJVu-ql5U6jCЉmĻ*"?JT=K'O/|=Vo}l0b}}f?X[?/\JSBe,kP8ETJ==?.p5ފgbU9}ǶdNKk—_$8̸͓ۍ8Di\BԿ-1v{FF]|.^ۅ{vl12׏z7-R7wE?\nh\jN/Kձr_oBw"N QMBZqe-m:ӨSn6j4%!hQ;sv'm4kcM=!8\m[M4{SMliۇ%eֽR&N:{2A8)THLK3Zj[jPBx#BگMf:G1\`edcʮ?|w(-̮vXt,bW2;.ιNHRR#YwTM"<;mk\.foIDjmlJ;vxy7o7i\,KQŊ9d^Mmgc L*.T6tLeIuOH3SJQ3=F/ʿ<9\JM6mN6=<{xkP!F1QR[I$6ُimXu2An2yԒMU q f[IB-'䤯jYm52&JG\zд\~vdg QtHGXw&1Lw+nDEdC1w|YJmvP)HZ>i0BPβә?R:QO["]I_Jʏۍ>QKyu^bycBq4lXF~l [\*N>-J6,Gq(Zr5h]CwYӤU~ʶߑ u*SIv%ZfJ7)! FS*s_\|IŸZ)J ]ܜi4"z[+Z,MOZ))}|Ʀ(RUNIII.S'ˍO~˨rn}M)xxӕ0 eyҵ7YMAB]ӣU:/ѭ*6bcwP͵ "+qēVjŹO|GtY4V j[mLV M -m>",B$ GD1~j6O4|LxnNmqATNR3ε|DŽa[fmn-ڭ+FiK7Pcm;r5 l8r{#-]'nrFh2ruycb;pW=njRqRJ(d mnpckNnʹ+6]tz~E=ʕ l ZZ5jSi3#47.Lcfe`9؏v囜.F\-UZ:*0_<Νu9Lӵm&)_3\^ҹ3"1n1v_|uRʞͫr'iȧN_kH׺8xXrj=\МH)V\ˬ.Xʸ oVRC}ySU9/OBY먌5 ٿwޞ)rw8Ӫi5*5ZΗcGƱ !ZۄlmpjJ -l <R̵/JAպZuq\IdUS 48wXJJtcg4cI~aqߓwŷrm-v)G7yS^7H^-\mŌAq|"m9IBnF㏉9[N+mmy/!KKۉ%n +BdddfFF6FQRN-U5;Sv'm4kcM=Mn)\qιqUd9F%",6MGdT%-+~ f%+y֛^3SrF>6lc(֪vۊN;g._0Sѧ]ETWرkQKzGe9ʨsKA"yC y2\[5 rԭ7Gk5Mzw_4sM3hxЊ'oÍ5jsub )ͪ~tR2H]R͍>̋m6=%(˿(Wrr-܅y5(ܔJ޺YunW̹븹NsqK ]/QR#"ZMDfD|43Qw|._ԡSqTZBg??O Ϥ)/E_U|i}2 9Z?¹0:x'3,whǣ?C y-A~=daJј&M?D1_PS+Oi&;a @;Dž7[ zZC"bv:jjMQk$M RԸ3uA\=wI.AwC"^.{?-\NSiˏ"b}T/}q/ o.1M}R%:-ZniʒL$SgrBW*,Mw'N\ɇ{s\j]VryG'8f`}'N<*/`U숻z CwHq18J+vԕKss4R53/&XTt1bZƟo\=%nO)h$rBi-nKĪ^ ջڜlwkYm[̑+/QrZo%TQ;TLs($2C:s.%+eoNttq۰kK7O0m_t_pZ1SsSM7"mevFZ[w -FJ*T*jФQRg BSu|]g:ɵzjqwmltL.e3sRMچkSmjkmWœިm++¦'tILk*բQ D,PB\lI[9{%Gb R6öۍmX-MaʉA931cs..G4CujQտ[9 }G-xwl)IQz j Ó"rqe&=]꾧֎c)<kӳ+0JrRR3'TnXi^xMF Bު*tIL.[h"2"nKzZe'ZV/RrNYz]8죝n]Ķܩ>^Ժ]u-7^\mZjܣ9+Rmn ߑv?oꋘ?&ƪy^N4o=3-ؔ̿*`}V݁ ƒPu8%$ ݗ]wt;\y\>='OjPIp/nJU8{϶FNMsf"ίNqƹ(+ ݮF2Km |jܴZs%zf*eȫ?]4)I۵nR&FX + [jDh(#哑9q9Eծj8noǕZf\J-l&Z˫}`ӎhyrΉn\űn]9pʌӣ"׮Wt?N4_I_~54#/my1Xr*척aS#DT >q ssΛW;3oUaJSRMDgQnt:Ql,/ ܷfRqiM Ȼ>Cob;A>ڦWقM9X~/!'MW.}Vrߔꔵ!5|iB(0-zF=}okڢE$^wW~nokY߮\6՜̌{i-AF*9)\t9IV6۸5ZUF6R$ŨQIq砳YUZ]eyv >hI櫥N )&l JulwE1GDOuFN2| }馥uC1rޫV+^gdb&W[4<^e4YW,d|htͮsUM)۸8:{3d{AѢ)~ \#J=NdƮꮓ90 |1K$v*?мS ]i$J,C,SG?/_՜pMSƯM|mG1V1$~K>CSvkuj=&) -,yLjuFHK{c駗.SOua;BrSqj-ۍZ#'Jys7[g2z/.u4+XV2VQ.ޕ)$"(%)#Z7suZ%j }BǬݕe)Jvz8zJf:hIN|svO1O#IEcۍjݽ:SdὮvu^@:o^5cs>i/VqmVm]ؔܢn6'vޑ̗J4Wn@OlKbX ;n:hgJ9ŻyǑz8f܌q&Y fN0N;[69 rbׅC2/#kE l&2~èMR.*%g=Ft.%؝e8<.e=Uv{~㻏"EˑnvDѭ͜Lu3u0:U֝$[M5<:oi+V4V9 6nXvx&_ q Qqw3W:uϔ2yb/(ɳ|5zQiJ#r|Hw#.W?4aDŲ\ugWG;Cw鐢K|xg)##=O.dF˟jMUvWĻsr.z]kPc9"]R)mkfOd*uYf١RsB Aîh=k]ʳUrrZsq`d#r$/Ը3o^&lRWȍyuW̦Y4QDUMJ65ƒ[+ygk XK_±k#y:8(TJOSQhJt2.DR}"5[) r)6V6u5k:eXZmv𭤔!푊Q[qQ}ҹLE- 8qIZG|UM4j}Mܕ[Vwm{} Naqµ"ԈM zOpKѰ?IAD3Ir0'/q1itoB5{%wkOBn-ۜduqIzYK60{+DʕܞqIt";r1mG/\/ym[6JƫR \L=S=OT@Ix[TMm{>ݾտ֒ݸӉLYIx>+"JVNzx||5rI?C{oz8۹e\R-^\A2F R+N9 vlT]"ۭ d)t֞i #E2jB@׵=#/N+!ĕhx}I!cM`ąZ*ŻɄҒ߮Y.Z}='/oۙ3IpW̮hT7cTSuz9>B}΄&h!>lӵn~j˅IvU.'v'CSZw8QK3G> ,J59ٷ+HSg䧎hJdzvwv-cvxS5[̊n~ؿ%ַX?O0\6ne 6kn9.ϯ} *h 8_QhLݣ7q +=XBҲ5?[[)+F`=4 }B,sNg==u*Nj9k_GJ)+R~GSPBȒZ:(K]heL=vKPӢwq(NrG^ثϣ?#tC?.ͼ[ۅo؞y#%ǛjVyLSw%T*s92JTM%"YkQО.q)gCͲn8cgi6j1MѾ[{9h^vƘǚםidfi.^RHmg&rׇz:}݃}xT$ضk'5s-狶,\vpbPD،=Okf.c#cdz2FK5T!&)|ntD<+OŹU i-G[EE*FDfeaf2QƤM\UG_{ǹm%\yrGy:.\4wjPGUJޕUV7Do\7Vy_13w;[?c]H\$IJ,*L]3b%L{y.JRKG2sq,B6T}(#nW|km+q5] r㪍bJ@y{byz,b踊3ϻJ,'^xd،)JVw#.Vټc''ÝպWtbRؒJz۠8!o9IۄS95E9ؔ-e9JR{dmnッ<[~n${~Њ$W?&ՐY_? #a.ߑv?oꋘ?&ơ|y^N4o=3t=~7!/M3>n8W홎2M`Qx+ z qy8%]7_~540ۦ彷]Wq CѡwkďyF5Dum_}~P(5.(X,K9vᯐ?leB9;Jhm#3{CxGE-S{;@Fz˙]=O'!ɿ]' r`:7'2bЖ>Iy,/eTy/V<.H?UYY{\^#ѣr9^7?xoRȆ7EoS_&??zϾM?(~Q-K&>"~aߨ t7Emsϛ+?;fCr)fY+>z$tIkjn_>vnrֳki-˹l= t;'EyC¥|/BLwBJdgjۛ$s S1|ɍV%JI6KvəhzIlBYɒ|0"Sy0F>eo5W)O+X˻u';v)2vVq۳kۮws?UʑBǴYO漪e2MIjPAک\b1)DDؚKm6ZWΨgȕ۶yjڳ 2ضN[C[|r@9Jfo<_eI7q.|cÊV߷:i.:$ȋ)1%%)ADZCEBxJ0MJۥy(bNsKM9k43IwNt.\%N簤I'.j|ƃ2$grBEٌ\}9:v*!n7M(ɽ]7c@XxƱԨ37īf62cTTfFK]9wntQHͮvٱI/f|j=7}\_V5U^+:uljSȃY(XI.ȱmo1甅jڎIZ2>#\*:gY|4k\8ZwSqtyA!+];бޞKծË¥e)#5ap.QK^8VdU{*ѽL\=qmjnB5>{ Ӟ`v±5 ^k&O~Oshɷ,;6nOW>u6{RqS`)S%jp\ipdEBLfTWy$GIYw~䲭J.1vSY5z.V>^+Ǎvc.I[R{QsNR3ӎfhd>y?UJ*}~[e\i5U^͛E]G_FS(Iɿ]i8:4zj~շsW,ˆsy:%O}iur]iF5~3M:Ӟ#N06)4ߧgdawIotiz:1r5YDZLHBSi;NQc44la=Y kQIT*ըl:tq2(է9VO4뒳܂~2rq'nrVZŦ[t7\oլfb/mlpc.I8콚q^1iE~䰳mi[dۧw֤ICfdFeCsg:i| 6擣׋* 96lust^{%99UNRvaMܽo ammi$em4D6DD\nA%$$#}۷/ݕr99JMն[oT޲E"KTaP+HGkŴj5TM5xƱOS-k`ۛkٝWz;{kS}F;~q|~^_|euwnE'pSupUP)V]vE+t =ZRaVdG6= *.ϼnj9:UɷbېmF_tޫgHjVS'śǕًdkkѻ_]Kv?nT>)^e=Ar1'3ԔILyD?:-^in):{7.؂\.:V }#뺾.3r̸*xbFM aȵz 6SQ:ײj[ 8nn iFMw rR"5M5I旘35f^j='j:nNW.ʭocZvZKV^ɚJ.cM1ZI7E'6rg탸5oZ=[m Z`\hbMUR١Ȗĉ):Jin!_7Dй+f̷eKҷvͨBPR(V`y6tw*MRΝcB.ڭTnc;P$8nFvm4(D(R#R-L -2:FP lxZKQc6I("Km%$E, 78uXIFA$RQI$JbInG]c[ֹ:ZM+n^')JmJMJRu{e)7jQDw~%yQl}BZujSSf۩QZ+Dzhd5o%BIc'GZ?}΍:>Ɵivז-%݌J5MqGWTVʦh݇ܟ~Օ_6 n'{3~mϬj'J11OȻn߃r Qr\3y٘+WӍ'WxEs^O3 o~[|7>]]H9݇ZomT@]?5B:Z߂'`V_+/MSKX߆ޠk3?o7y:4R/7þ] iG߬aBRU&?r&/} cQߥGj2?C5Yśe7hU=?+ x龳f-܈czW^7p%-(\D4h{UK&ӡn^m]Fݢ:`δvj俜F+) y[{{ 7 tu>gvrěOj'5 iRg[ͶFjGe n~qT$ci ۚ0oԹc*jL[sVWqj\ݻ&6"WoK:cnWmrv)o>66(F>=W^bf#c zzʞtپy%mՉPël e}J.\Zk4ttt>oEM=q)hJjI=ͥ(%]脼_88ф;͛gWG;Cw~˘$4=uWdĜTثNDkiQL9U*O"4XP`02,Ge-k5$h>ܼ]3vr6!9RQPIVSnM(ۓ{>;/Qͱv{3&-[rc)ܚI$n{Sv3[j00)-D3z}MRzVQпj,T[uVs0\}Sid;r(ݝJ>æʺL&c[jPK0~d(FKÝW\m]GTcF|Iׁ)I3~#oX%vҦEݑؼ5Żv2qAZTE^..M{ʐfȏ2##.R}*KʛZz^ӞN*lPťLf\G6[WVQquV]XAi)5J!,$iJ6o$tPZc;Kjx_n3`qIelV~vLy{fn匋Ѿn%;zV.n'-ұdd2߽1bZksPe3TI9)$ԩIN9Vơ\=2885N\ p)/a柛w9g_lױo8ݷ iixJV& ғRi{N^_oAŮE6Y7I$Nk$|Q)-*4Z)^¸%4Qm [I%.c-OV+C֧R#%ѨCe3i;w$G+_dy| Fzj$DI(=OA gj%v/]8qԯNIS*֩',Q%\44ZZ%D|Ǧʴ6&vֵI$%8(ԬƾS&#Z. }6z?b/|Jl{ץv&mpx4Z$”ڝ4-H%dGKfM:sKSRWeJAn]>s6应-W9'H]'uȫYvgK^\czp|My\鏩w/ËQ.)]\QiS`8uL뚛̸=J"ܻi\å'-)54Ue]:K\퓡vK xwBqrH\*֕TnzC.mT=t-H]SČ~Nu╏NÅ3f|͡G~B+Xm[Q7U{9"~jgK Zoʰ7"qJ,ekSeNGgϳ] ^.6:s}_,%eRg<5⿨z{ZPun#jRІ.6g T.!]xa c#jN$Zpl̋H WZu8WmMRýsĮ?Mco~sx TU҆Q :KDG4n42.<3/'^?6/ܠڒ^yrrÿr2\D}}B]^E~^T cɛ7϶Y[<֞[7d}2%QPqOLEQR\CIsj1?\}%tJ0e~ *sk"*)&ۓEi#{1J8Hrt|'ܝRr8)=ƔN'RVz:cf]F7bZyZUȘ4x8,#JG̒?.W9XnO]KO]%]ƻ O5Γ/3qÓj؍/r̺rƵ 5\&m6h.xoeX[=<3%< lZ"2h\Z[&jW3ejm?k&[]ųj+{N{66leu_+lj]q* 7g*knأYv= q ەdxЬZ|%GUrQ3jLŒqET]1% qkXYūYc[7Ś]QY\jko\</Lc7+'hMSUc6qXyؙ~6#ѯv.0$BQi5YyIhɍiy=KD!n3Vm[V%W-B%swa97ajۗ m+9~]fKq|Ddaˑ0A]_v޺mM5* F-BYHJ5}q>ʉ.6hyDmpD׬'-_v5;5[8K[viJ.3dR:oYHHh9I7:۽fi+wm^ [)odPѱ52CZUJicSw\&_s0uBȍh32džzQflcd^m|7GѹE!fO5]]H9݇ZomT@]?5B:Z߂'`V_+/MSKX߆ޠk3?o7y:4R/7þ] iG߬aBRU&?r&/} cQߥGj2?C5Yśe7hU=?+ x龳f-܈czW^7p%5|Y:SJE\U-(a_cƣUǽXXKiȞNlmۊڭڄR!**ܤMeȽ$|X5(Ź\rJ~ܮ]>'HB0cp XFr_c?f?7<ukSgov¥iG>>䙗i.+t+bOjIܶ . i^:nm}s}(3>NZ$2Qg([".>i.ƾ)B̋M8+"- >eE6DݥJnJˣt׻ 5.˅nJGwZD~!i۶a,Db3ZQ3O#KO5/֍ozuK'GbRi᝘NV_ҝcvם ZoX}F6z 7e5_e:ۓj=AB+iܔERadMBq*ԯ DwI/Gy*mĥiRKg6skY/#SN4e$-yXM YL?^ĸNNӪ{$r1JJRSLO]Aqm>V/s[~i/j+m>z}eI"Qvp]{ZԼ:{vPAG2=T͡@ڐ#u"E*>C;o$~C#_d/HBq^YRٽzIKbOm\~żjFFGdiQ(*/i*#.FF]©m=BmpQQQSP&Ҫ!T&^>:y)$ˑÐFčI Bӡ-t!bM WҦŶ'UZ=}zvn~oT/\ǒ'nr8 AJIӆz<^uߖ4eFC1i+v!3qNyߕni?4JZlmYFXFۼO0B\m[ tʄU3s"Sr(NJ;SKW72L4̏BVdf^Ҹj\]ȱ۪(ӷm?J-KEmWڽ^4<8qu%9pŹW~877ܾeVгS(յe^C]yX͹! םm4FGȋ\y'Z FX7e)|Gjt߹#gb\ŧq_([R8[qU$Z (ʻezV2V!iQ,i$JE˂٩ a(GK'O{vnBvryRd-RK4=qxZJMl_CuuIz @Rt㮽޳!|68\-l[џ84-2Pu" RJ_^OL>G1~XnBŬw6J0*Uvlږ1N G1q9IUm*'oWu][&UyYZbBZRZNfEJf"+2nF~Eû7n1xv.RUM$6 lAxSQJ&n5ܞwlEói"#>4׿Q.nEq7Oko[1wg8ZQwZYiqtm&~">Bo?w͡ni2峋NCEy Ҕ+%ZJ ʩq*fpˤl,~^Mχk1+:ݕ z&Y`KLӪУDr3[*Z :(SL&ݻ۬Vqsyԭs x|iI߽zZrg.:mp%6ԜvgmpIUt;QbS.Է) ǨKSV,*lڌ|5Jt3#NP.=+OZ~/G سIgbꥹJnl_DUM\iM!֔wVZuԺ,yV.Q>f v:݇WiaŸN5Ҕ[M7SsrvǣrMW= \8ZW-jsnڕ.ZnF2qt ً[ٻޘY۷Zm"Jxr&NAfA-݌to9s359݆mZ+N1-qS$D=17 x׵+%_ ve4ir6Z$FDڗnFtOr'7'{9C˨ꤡaYoace{Refnft RR"4%ʌm:Sj3)OdInTO>X'vxV#jܮw9Fog;5.~Y5\~18YQܹvj4+~t7S ﬕs %^۵ڴDZV69R^Y+rj$ԇoJKR5wB9C>Y:l+EǎS{ʲ{T6Wi* ^^9k/y/Cs\g*qڵgn4T8mERr|Ti+iPe;;.i\EBEJ 丬i9ɧM-ԼsGDrZ>r#R>~X9y4b棇9JwV۔%m(b[Tjvl}۩~nDԺ{Zo-YuK1vx.nWuO+jN [ٮ0%"΢CdTJK-RަH"$I(*ve &҉FzB,_Vpqp9m8werv')E;o&QE׵^d9˦j\_,ڵugZȻ̧8k+jK{wmr@3ӭ2 wFkzFVqs1؛.v'I%$[iT]D5Dl2 nk7qUxԫLS+sا3/ΖeZYK<["%-g/kRs:f3;*E ت wJ%)5&+&rw*霣i|sMҴ|;R+fm䡩.!**dӶ-6s6,]zAXMWjmnz%SJߴm2UXw7MQ%<!tKys#P,W>s;3IYwx<+i_\\\U6 u7P|xbn_k&ӓVOe䦒 VUr,-㘘"-LZeOSҠթrEvq8Kf%5%&K"#%vD/.ZYYŏ+p$nZkvއuW9㓱Z G wYIFyf)?ƎUm5ԉ/'k84{KO:rQI}XRuԪ|*lu)3qZ[mSm5R3".Xcَ5c®ࢫI*۳~wRϿQWޝ(EJrri&ۥ^ʶ齲Im|[yb;mnm֩uiܘq>E+Ikx߄3r33-5𹻖09ϖ9[Tz~mr5NsWl$oPusޛ^{Z;);sڹf\3oٹZmԉ/'k84{NO:rQIBø8Bݱ3n֤DiK4u& ofSȒܩx<˘|N0Fչ]qsp"}! QWw@t4ӭ+cO5%]'*{eM߲DRO1y*q8w++e!c߶ܪlZWّM欼 CQ̼빶lX{vib/V/ ai;x6~]+z]MWB>re-:lgk}պ!#9?%܋V-c[z!W?c7YNm/jRr[HOzԻefճ0q15Zp#rkQQ0tU-AmڵP/cȕ?0cZYj;:0ZM=D6g ?'UN+ձ[K ܖB2'xq9{|۫N0ku 7xaj;n\ 2[VznMlWiKbSk))f..)Km)&bGZ=>OR܍W:j'rM'wYz&/鶧{Sʵb"vջq[I-ՌZH._x*BagC'T(Q:$ͳQcMCKy?3g'ߝqnT);qs #ؤZ}OOI:cfnc8W~qy.;^pVl]Hԓ>^H^@7-AA܃nmL(uWܻS߿ Td95Bdh4t6*dDh!EhI[iŨ\L.&Nc ܮf^;$R)\rip9I|ٺ?#R.ZDZ;/]nݻqs\QE9M&Bd ]N mN*D>tgbK>+ˏ.!23]BȔR1ɝ^j'k2ƮqBQq[$di]icV/e`޵B.FIIJqbi>Ӥ|p; 6${)RU>_e}^dzdfzi %ekRVUS?6'hׂ)5.\+qUgzE2C˷ecŏ^֔ibk shesFWJ#~> Wk~ݨ}ڶ>ơǚ)׽ZƉo~B-ڼrvoE:Ʃ3ۣK7+Y`WirS):{>ڛ}:wԨ(J_";6R%[u&ƫdZ_\'np| RJwNeTW,=rrbnkڄ[M3ܴz)3- R.?:okۼ0TU'w{6&w7j1z3ON'fGoO?)S_bQ_¿R(^ԴԴG.EtMڇ&RUiW uQjU> Kiu1d<ѥIQ'RQ1:O/lŗᏩiʂv&Jc{D5 Tt)1.n[n۶X}RjqnOʽ(~[Ns{ސ⛌uO,kgo֢dRNQȄ .'6W!׌P朼tdZjFGE"]K@'i۪N;sI[{SOzk>`rRR+!σj8&TjlvA̷Q?HyjyLHNտJMjܶT۽lG?SnKN%<‘ nq[N0Sq[Ta(&t(|HGO~gvkݻTR4&Z$#ViOY1r$6YF?e4U/Mvxų:zbU^gQQ+NW_'4jfz^c'#`rvrڡ(IJ/J ݦ6 ]-CW |_{v*_q3^DZ}Ic6Uڌ8p7{crZq5ki`)mU6|-Z5^iEz3P=:Cu7DF'k%}<C-޹ֲ̱#\,(f88%X-N(ck0VLR~} G"-8ӏ/ϰKq?(#nrVTmZ;zióM4 m |UT'C^_1X.gXM{%ʤd 4\ovN":"y-,T)fLQgۢr=/CƹǨJVr[a+!rT|%Y\ٱzsS>jͱ.oOc6f$q% ǒGo;n[];ߎjrk{~\VۓNIGn:iqxo |~t5)Rxעri{Vi&NUOl_ѮMfsޕkЄay.0P{7N((BaIP$ K"U6Gl ݙqJRu+qN$ m#*p<|{:>-Ev=86N*MM긭U*uѾ?/^o7;'u,h4݌xښRM:5.(/ \իU.{F^rmF-Jɷ.>Q"[4xT^OZ~mK}T0ݛ^SAo9u?lX(' qj%=X}"^e4wˠ|rܫ 6I\Ķ;Ӻw!'ڍWg{ i U_9Avhۣƾ+:vs/MK[ɭīe{`Zgb}r[i'GE2J7Nez579wRq+Un ]J.cJ4M:h箽Wxxm^ pc\wcN%'My $$| :$Fqɏ¾^қP9J6Wxvu}ݵP>Z'FFdg"-; [¢cmWkÎT8nG%ݣ7*\խCLRYZͤiD&J#'ehbSyXK|y*ӞpS̍R`[pTr/Eg)K+92{_ n3zwz'oŸۤ+sOj J:`T>Cf*lwd\fYOP"R E֢̔L4ɥ :;.b(B02rJ蠟9>V'9M%)IqnhP<%,r'P/vNSwr#w"ݨaqc(|{kd=^0jTMR2ULNz|.<|^PfY22##!,K~E BEJۜ&jRNsHަޛg\r,v؜.jK3)[EJ2ii{KEiHP^&]Gn8x=K}Wx/KI9-ϵwQ%spܾ[^R}S3$qvq8M[ ozKxcqmJ/ӿ{_}7&ݨ\f6ZSyQz& 7ۉ[8~UNn|nkiTB+4RI8'Nc%tn{!]Ȋo.nEmʱn𵵥J A+wy#+ikǒڂ;՛s85'KmE:Ђu""Iģ5p=БbTY-ͽڔ詻ngL2Q}$de# fs^o{DUUsfwӶ;s1T,ǤtޒQ\෼J=.tKU,7čJ5 N$y3kdSMQU~mO[03 $zAڟsF5^뜞"Կ QHmrR"ӳηer+ҔZ]hE-6Jmt'ޒ=O[sQj)6K}?e4v_KfZheޓ=BV[bY}lݒTTЬ{ȫvO_qpRApVŗ 6ju=*BR)g "O1yhb=tqJ gtm\b3RY+JQ^Ō֍\յ\>+uSi{=x ^w;uӘ#ĸzLn*$anok߷CBӷ}5Yqvdž<( "_OWit5:EZj2 B ρ1̊fi[n!HQF82q1牙nqnEpT(2RMoM4ϳOu ':֧_Xjsg jP^(ڙ{2%E͖j^}ZU[Q$'U) <܂%!s"m R'G5M0<+zM6qYm$ڕ$3ǧH]?o2N<8F1̻r_my[Rf59NjpzBnl7*{.QP 3N&^BLJPjAHCK2Q}$#~YMq8 k(MFMU)8MEqTy+Tʞ-ar5yܕOXw!e;q-Jqܶ䓊Y:LC UE{/t>r"lI9)3KJjϤA 6SEE$d߇3KG*En|P\ԭTn6I-ƍKTj<1H_zwGr19wF N8ݝ+a9ɫM6mhePi%mmD! """"""*1bRKrD"vnrM۫mmĽm]ӡiG~e"˩ lhRTMk^MX["Jݱk7_ޕ*DqĒ&flՒ}`W}~SմZ{ĕ~wm*/{{ѹ_-0ط#P]xlڱ~Tn5wi*lڪ (JxioϏbqKYR|!|KN53 OS222$jzww%i}>N)E+rۥ7c$Ofl/LNث\6H9: FY󡈾I)fB֔JI_ ֣^: 9mY{66㒢7Uj]:.-os[R&gMF3˸#໹kmjq^8W"PΦURjʄWa˧T!͋ lW48JB2ko+ /Nw QwQzQ ے%$ޓ7^YL|r7!v%Trܥ &|M8~ybrn[RV gSn{{*#2#ԽᢏӴHak" ӌcwҜw&RJ07ױ>Ļ =^ BɆ)v32.M1=#6%̠tҤnzqMwԣ~s*%-j|_m*.Yx9Sz=)qE4 3pk+,`=kNRڥ=B=nŔNAx)Q$ԩȧ4z3t#Z2lҮYn$S%y- JzGpu|LBV7ZW#;Wwipܷ%(6jFG5#{$D"uۭ~]֫SrD܃fҎӾ+Tu>-ZTQ& N|$沸ii>eRWݳu'[O̻j8JۻEѩ[]vni= ڒ,[_%kC7I3Nv$4ɎЈeٸoUu:[}Do5|zNq=Tre%ɧ6&~DȍF]ƞG5q m]/w/ \ʲr8=oʔe9U(W"|S]uZd#?Se[W"ֿh][-7Nu:T=)R}.;ml*5Dlf $fF(̏T hiIUU4Szɕ t(%_|2 ~6eM;TƗK[f&]LK^CE2[ȏBOd;Mi|cx,^6;sیGpQ\NuJIFTJ~đArh* B"$H쉩eXPRj?sl"ԥ)su]xpԴY%VESH"ЋJǰ K&5^Ukzׄ8kEgS2h&Se\ Yl]WҶp-ZUvi7QS:4byqOo+[̺腋[6-_Fo.6[7$p&^ _GZԸߍkc.qqoI[9m߸YxOZЦ1uoiSH)P9Uʄjcq= S>֙NeR><;+ڌk%_qT].srNO?s[=vH[]RZHRMtᩗVؾ:/~u)ԍdg%=edVrISb{6vSu=(ܥ)mTv/J}̇8 S3ad:^hBSf؉OɔLhI_1d8,L><_A0y3rXq"'(۱;mFNII.v5_(^q~X>y{3צ I*Vܛv/jW' T'NR'j%ꔩ:mJ3SB}΋!-H-RJBТQoedi9tjENenPpke.%4]#{:>mkEɱdYWl\\\'nRM4&U>?Ќˉk÷!𴪛]]5}UqG~ݏI"O~s6(Ļ)qO~h}uԕd}Q~G,oE!&G&/]_H-O=o{k\̭bkv.Ô܈+;arZx)m?M\3lU$mk-CFXjTv6u' g:Vn_*qk:VC A%'4JV%EY)#BғO4<e׿jQQ]yUr4=wm[K1r׵%Iũ-O}|kC;/VcݩWZ)EHdžTru]8hgĵ-;=>U_ InvTm_jBM+QiF"9*{DI/iuo(=TzϖmPQl_v4z>T*ȴ>YF;ε\t]EH4ꌇ[VrLzef 2T^V>g2~kg5~Nק;{~Z~W}&ŒBӿS2$J?~(Yœ"˲ߩ\O]: J׉ښT{mmIѩn3˧)4LdFZ/zUG>U> n 5& ϴ-KJi2o]uKljvK3$bԔҚV旧iY5.ίfi96v7!v))FJM4{jG~Jt/lUE%pTAFe4qQk\ve۽/u/Im+W')v{\-E|Pms7߮DZRr۞/mu*1ՙaB܆ -xg3#6ۥtRogʌU)׎]ZҞNnŞr}F1Nnޞ;cZ{N}ۿMiuxʉ*3qi'9KHQ$WJxXyرŔe~[v5~/jN9Q4o6rJv FrdxM*iRjMzUinHdн7ᾞS=S'7 } ̽zt7K|_g J=Lq+/Bw_\ۧx\HJUPzQ<hqF[V0x==CsU7q|^ {)Iq38$_A(VgcKu06Ƅ"%i~_ˉk QCܣB8Ku/񋇵u([w}$F|8TՠI.E !;RJ^}MɒD_q2];Ɖ{5}*n7nEInO{Mwv}&q+v [V}Ĝ@%>#dXQ$f;iep.GquixVt x6bj͵mlKقQ[T]zs/&yەnM'W}!Fp_d^Tu N{ɻ'l{խ2.sTu{W^H&;1s)Pӛ6>$mě;Łnj= fLT)>׸+qReɴ[UR\L*P/!$Ӊ3Q 'K=m~6XqW3^W+ųO_[F$rR*u"T%@O +%# ]˽!aܽz{ͷvQh쩎]hGތ5ɇ*DzJDRNLi 4:{~2FmXY-zzĽ^f=]uū{/+&c:Ma{ĝDp2m܍kHș/(--m_vݮK(V{R}.k&yƴ7i^4@3f sK3^Ř˸B=]?gt5KbZB<e;kQLpxuWC}n 5ҴepB##~q= `x]KWF {GfŲ}?G.I9pjWkU]>={7q{kO/^I3==f1ɏ%nnʫ/Zu_yXN<57ۍ'vy/"8넭M2eԷ&Y,в33%IkjMr7xf nmQkX4踼>a-GcIeތw&U=-:qnW)z¥j :WqSZvԒ#j"KrIU)%qrmRoDGQ~SYRsu*V)  ,/x)MFD6O#]z 96[Ui(JRfw'y$GeUީkdMF-ݻ98F2d[o{Rn0n-xsV6Dh|Eb2E:KCOӪv4SJCr"J!!m,hRLD| ZYFm/X~ΧfrN&4Ƒ=Z9Mh.Mܵw/BdrܥniŪ8ɧ|y%œ[M=_tj?F!z5\evM:\ ~F-sg钬OWq“iiȍ<Gi%%n2rqͻllƑ)okw7}\Uk-:&fj솘XerV9yZuʼşdFC=rmo%~ZN78X(N)_7.Εn1MpJ}62jjJdI";R5&iLԸc:jmqiQj$ujp\{;v5B񥍪Xn Ą4qOERjzN(Ga٠䌡)p*v(J7#ZۻZ8O W uONb+^Qipv9GvֽƼϯrYƖKGJQDNPhRJjᡧC"21"9ѓS1;R_O7/WGz)8fE%F2ukmvSov/iZ&/]~KmI[:^~ͤ\kMi稜\ywJt3W7 8Ʒ~ݥeFgѼw"8VVSج\뻆}ݭ/J6Q)d|)zU3>k\L=;ow֯gN3pKѫ|wmkZ$z^2R:E)f>ς нd|#׆?\ǔpV{;\$ƵE%-ͪm0S6[n< kE[}mvE4DDZ^$OZ0*$~XUv҅B@^?]so#%ojw;Y#SxxueBگy v^i-)s)zV jC{7Gt.w3v,ygg8s]aE_,*E tY5k٨h=o"m泏:\6w噓aiL׎n^c\75AGkЯ0Lf46َ`egZ˓p/k;̛]kq!ݸzpԭG"}R9Ve>ˏHUjJ-&7nrnwG*Xv\˱/vN}O)ʼn&CV͍f̵]r\PMB-6Du-#RͰtRN^)mT _}nSȕC*_xBuTkJW[`ɩ`ejvsngP ڻ.-WUtܑqԹQj)t;vN&RNũT+8%IXӃ5fK՛-d9 ]CƑm|nZ-6=Hz,*aEm W3VzRšdY~Xf׀Xx"]s;)5u*ُHB BRGS6bݶؿ 9j[1*jױga7oX CUI%0v#~\-O-Ꙛuɷ쏪&5mY٦M`LJ2qK~HZbr =N'YobI. (^ ׾{_ ?OJ`S`3BN[}5w6:ǵ/iSlt=4F*d&T4y/#. ɵim5Uֲf 眕6Y7 fơ=3dϕq뚩$qTM-%r!$@A? ޾V0c~{[{;򥧅a~ڵ»&ڄv1ek=wb MLkNAԬw-x>~/r=e73VeVN)K%Sښe"+3uXuچrn ֺVzscJ峻m}vb㶓n\YbIUBT%*,0nov=;z꣓S/nSXSpl##k9mXGrZv^Gde!ŷRԠzQyjC]`gToPov{j~KRBMY}i[߶9KL2ԉO0K#m>wB[ٍ+n[[b٦DX ݲpo] [\m5qdT()mo4Oy9Ie b][wղmM~vmi۱~t \}$яimRk(L c Cvk7r9_r1 ;zv|F@KyZ[&jEji/"6$69ml#e]9s\{ScL}Ȣؿ0q/nZ*t,CLoD߉Njǚy=Pgmu6^]l-["çUʖMlʍp-"qmU>۷uFOJ%Ǔkx 'g=睋k[3u,{³WɘݪF]ՍeFX"Oy\,cچ=w/gn Ļ]#2? vqy-gXnR.^}ݺFs{ŝG]}e|#0mjx"ƬWكm?rgU^xVB":Dt>@LRbun~ݭ,w+v⪕;\U(RYa61>#Jm˞Μ9g9XKaG='u8gf}'qy#ɉw J]We.ʲ-<+&q%s?2dњztҼn`cΤmmqMdz O[-ߩӲ&;[tmܝVnr">{x<8U+p:Ig]zjGkt,uzf}dؠoJaکqEq -(:d<պ=eKy[˗^%ZXkX[C2߱\ITTLGzANM￵i]K>UsOGDDD.ZF6* ҃V Zhz{'xp^`wo8r0h ZmJ5"jb[l=yUu7-;7IT%:jFjߖm0tzU'K)څNۧYJ)4IQ}^KWm7kSP>q;ނ#)'n7&׊r?óM{IwR\j2Qn[v pe#/tAF\ϵ225q֒om6z})6҅*oqDsMf CNIN=T S2t,_ѧ}kveMF0J\Rnnݙܹy[rUc-j{yGtkQ%s]5qB.Nw.JN1LvR Ui5J ZESQԙr):MJ+g}χ!2;q([jAud][ljVK3$ײSJI=/|&tl'*n۽f.frܥ jQO8>&Z];.|7T/C}$ڋUmP2Reҭ8hFF\L 3~e v\۫]ݝNmrnB%*]Z«hKc=BTLG :V74$=Ǘy+EX'4tn(I:Ѝ;Df8c,k1%dJ6.j6ź{N~l6&*fœI7 WAlGOu-ҢH,,(ǔe뿋쩨kM܍ZſgRvQ' 9)?n|er˭|I|-fGK.rΛp8XV1%K6mvG+tc+qE&ǸC_Nm:l=_/m5^[dߌڇ.c<%:)tQ$Ow~-aY;UJ>=F)2[nk؆?훐M=l6[4(O.]2#-H^n#->&mp5~Fӛ+|| S,xag%qkEUzUgæBhߕP(7]kFnq?֖CpruZ6*rEڊtS|*tI*E}7R<,nUU֫^I7Q*mSly%rdȓd8hE<9oHhMfNSRj[i7D[Rj݊+kდq{"$$H?p\̅S?㭻;t~R߁)^/>Qj`yt[w ԛ;²~+ߔ_ YW~|o]?x^ᯛ `ʼn;g)T@vWn]>&4lp+$D̢1l|ȨF%-}.9[}w~ ԠLM9hСablfe&QoW!s?wjLK?s7yO>(=C~_nyǜu?v3vyo oI@qV-jeES^[9WoSܝh"l2C1a͔CiJ@3:Pճw=/7ovuk+\V;lDgն<[A+rX~d;m!_s8ݖ׷;;.0llUC+?i#_crʙ1~C.\–q ul8Hܶ2m`ܻM3Tov|Bs rɵ"oLS- DКw=Tv@f'6|YlD͓Y%׵-#Ѯo%:&!3o%\J<02;K87>^vgƓ# ;ݝmz^Y6=PS39U%~ &f# }o!muH;ʲŇ˷yvP+&.7e[3'vR4Yj̗IZ`e˽3o[WU{ m[sUbۋZǾۆl6~9'V*.\S2<Sd*zY[aŶ`]C$n.v^Ʌ dng>ەZ,Mmϑ :n6nϦezWqUJ4! ۇ4R! =>>Fn|Q[{pRO17ƕ~._I''00k=b՛o}Osðc2'o\3}ݭQ^2 . R1yKȣtAݿ-uܾw!`?1Whn|gzUo[ECWwjUIן)^h#1ɭ!/Z np;o;ΗŻkXs."6E`Z1 עӐ9Kl8qd q} 2Stt;#j>;խabONŗ=fwP1j)l6J̶|gV2`y/0E˛6+ԫ1? 6}KW c\KoKͨ2ۅFw–s*TԞLיuDx .kCzWXhy۶gLu|%TnupǺl-S* PRaLnT+c+*xl.v!.U=|; !_L̎뱚U=4hm:ٯ"y)$:>%(n}X'p[ȴ ^˒4kƓmzDx \ 'NqamP7nyN݅=j7%McSڵj%STy qXymvCg{w/w=wSW5r̹u erծˊsOm=DhEҚRb#n)QOxtվQwe]I}wCa'"[ۂ-z}2UuKP$㜉ԧ:mc<Ý>RoL?wu|%ҷ&K y_!y9 ??:tq3(UU-lkS'ɸ@jdzQˬR] EVPW1DJq2n:,c|ǻ̑;y{X,ۂ.u.b˕u.tKBjQ"[S園S`ٮdNبeJ&9Ơ ~0a(Vm٘L+Jr*vڑE( x0+tp˕ n';wm-ޜMOxX>{#2%jgb2M[`K*\5@8l'e=0u+w ֘鳾{y܀:R*Ya]"Ӧ%ktynlۣ65,3gU}{GYrb;ge'TKwǘ.,rpܚV]Tr,!dp /ԺU,xՉ>s׽~W5oTh yx?xrrx?)?ilbT׬,z$Ԏ.UH٠\U1pU:]JwSrGZq8àd驐,N67QYBӢD㏙W!Q25ϸo9ms-7-%3CihO.J鯽-;MZM8ku-7k9S$8]q2E(}bۏI[DKOK}3KUB^u %Y,u.-&f#]'܆o$x`Yu,dzwM;#oKxn;\[d7}Rb+*Y䛂ZuBӱl{j0O̓}LhK;[aֶaGL{Cb#S.T[>߃F]NK"u^LUʐ_ykW?!GRj29͖qa'0[npcDvV)qz9R)PۨM^aJx W] r>];eN3vxdmĘ(5W2K1䪖weF{mE/QP6\u54x5[hۮ-Nk”i[lUgL]J}5 S:EhiUrgHl!ŒJ$pe=q^b͵Q' ?6|R\,JA ڵ"TDꈭ:ymg`B5t%M] <N_zv2_Ortٵ/i/ReӮ*7[qүqEG* m"[I:6e^p"I$jԴęh!m)]GZkcjS!{e^z}+Cѥ9;R|/ֱeiUԏCNu2Zhcٗg$ݭwvr P8*7/Lk~I'Km1+MW%Bk|oOm>-#qj*|Dbѱkn|n{v#jĮqNpMIUm(7Liz;{ҜݞڝVƚVϬ+sO!OstGvxӉ']uӎ4g_ 1^-8ۦ k!)Ύ5O;YSB#2Zzχ;<.ֵOtge~.(RC#wFZeGZٸ6FFJ4e2ˇpJT$[wgV)q6muDGJ56q\I!̗ y/I~RtJ9kJ]Iy*'FN0s.[l!fw'y(7$œ WƫgyΙdMEU JQJv̋vmrۖ.jWR_M֨djYgSj0^\y'EoECjm$ IƩK>Z28J2TiJ2N#}.s cArl嫶nB.FIJ.)۔\ZiM>/hLĸ=C1s[?YMqp|94- 鮝𦔽/k^#NT(Y LS$6˩}{;5 )B۷W$qpN)qqoot}ZDVә;7TiK|6f3h$dԄ}fqݡ>Nb򗉉+ͶO]>ߡ_VtYf79ڰիF sq~prս|QM)g%l0ocJȨHz V;Bb/kLAcfPJ,ԭ{ƍgpjNR6VSI*$!yV足jᇑ.](EܣqM\qJ2eZT).<9UB/(B0j)mtKEj#׿fDI-=rZړj|'Nڤ]k*i$5qt"ݙPM6E4ke^Z8ۏhz$Q(R Ay2zfRñnpnkbkI:=j &ΝșW?׵d{+ύM'??XqeeĽ.[o=UxFS=ӷdZwenՄ]_X=ĭVa* pKs0ބۍfJ3 gz̚i|wnxtjc¼5${(1fXQ65ȼb̶Zkn>%FQMJXӡ{TZEVNᖣimT/37cNJUPnP҂ZOE~"-Rc4^b- FEͧtf5[)S!OZIښݲ͑;tvܡ+N)AR=hCNn;wL16-:特7M$=Tҕ-.R[HٷnXk sn[ҞD-0WS9p9:-Ϸ-jѬNu{ҹfv)[Ľvwfg(ٷfe+0mYj8Q1\ݧg]Eǎvڿc!4#j5̋C2"}BRriFp7=ô\TZ:\BLfj#I22װ<;صZl j 6:l"6]۸ K'6RTѯ^ئOԓV\?$x7s#r:Oh{ց=MmuHԷd{pN /܅:UE#Yy+(SgQ(Щ)RHzw>^Ѿݻ>mK&^ '$Jۻ&w%F|xfz%˳ L~3N?Cy9 v w/{ƿ kz3x> sXv}vP"@WyC z`'톽Dw%-tt yVY\wmuPYQA0iG-2JP,6/gˢ]u.-n!Zw.N7Q]Df}Q0({a\@=i_X7gFǘ8^⻲}G MZ1)WEfO12G+=-B@z\`||w6ċj߬m}UwRox֢I &c~XGP6Qndpvܻul'V7^FJt^{b^B(L~sѣ6@߿^xqU!ڙ5|Vpvef-uӥ^3  FSDɯKD%0r}FF穛r7 +o"V8tv̖NQU!5uFd"bCr^bJ=֤fM#ʳԷP0O-9xRBm\=`r-:;~3Tl(nXtXi%2Vٛ#vwqƴ`L@"H‹qW.j,JM5B[)WܺUeZFqc'V˷1W7V̾-MHФwn8N;HPSdݷC7&2j.W\τGŎ'Vb]c.x+Rx1%C2T{myg[qU|+m:M:շ8҉yWd)ՋWS%%:iqlʹmGwݹ WnNŤѩ5(9hTٵDdGUi-)vSs2 2{OnT$Xck n:¶(lASLeȔBjμPpTb2~N2~%^k[ܗ[Jzs0ӓHBKq[}JَA-$dFQgjxxFv4r/x*Rm% `4J(&iv7SkԲmSH1YWmx 8n.k']:Z˭_W >ڃXЩ. jTq%Aā[E}amc]D:rmHRiu:uӚӢ\p(5-q%e)(۬ҖȽIf<߽pr&ݫVfY91q2ĭEQgYbTGQ&,yL+N$[q*RVۉQ=FuTܻ>f>f㋳8N6$܌n)9&»iˤsX,݅܍ȩv+sRTpO}d?Wn/Inpȸ%O]StQO|v5\}7Zwb.AIVK^:wb{[uݯcytO߶S<{8KSRׁH̏N7ۚ[xkwYy_'ZӵF+>쌛ZUĦreE9F[24De{}@:ExWs-\ǻ7K-\JNvEk%:s˙#κ].oͳ;լ7wB6nwu:$L; DkI#Wz.:Xp(˅v$Sq,wn\qIN-e<5Oe+vuYTpcojUI_ާP8 O 7&VL8z$_B-H-[uh]T{|8=qVRN-:Ij:7PUtXϷmy鉿:RIM~33ӸS2#׳GdŲ5+/Bx{(WzȨ5Y㞎#|˖+ ط.|e<o/rߔX>7s}VE.OVti׽ .5nNJO"95{#q}Ay9do]R"M6z\tnNS-D!@3N_jicWsy*5uٮRcWv/.,j}=S)j5C^> Ie =gu9ӛqjtz]۪TMoߧI!Ǧ¶m:,"[L!{qAv-o 3{"KʼnrIkfٶj2ƙ؄S`7` k6jzޞ?e5G&6uʷ2%ԒRKE*G\Npom F/V |C0.q_eenƣ<5Oh'67ɪn[SĽ{ڔjǘzs;~׌(ۂ`ܢ1ƣ` _l9Va6%UQWh~P~\F^ZHR@:ۧCJ{ôGeBh;~ۧnU J\O+n2 RҠ)ng}Kh{5+S×ܛ.1ZjG)iRȤIN 4%{oΜ/eO[Nffd ĹK?nnԼMqX'܌nZvq<ķbFnͪaQ`5 s,M_լ?-@_{w{ӺձJ}GF[%v\5[ŒGkOw/ΜM9rjË%2+rd~+󲕛C9U۳r[aJǭm|˒LAʨSCq[XMۺoubfp:t+ΤĻo ][ zt-*67kvS7D·MMCQXm;)܎n_h%]4ܙnRk!]ڵsDUF"`R, &#R_*[z*ZqFXɻ]7|۵w+'pFDەs=r./ᐚm3Hשy yD"jHCr':sA65نѮ^o1V/ f;nFr3VM)e*- s D'H݅fӧ\*޷[k<7u<-]֍Q8R h|p=WlW3s%Q %3l}@U-K6f-NϿu|ڴmWN׮[׸F*mW\%r! C78:޳vBG7ŵ.JթԚ2x)ST!řn~9 W:Wpܢ件{xf8ٳwKE ҰWxVB\qBZ 2wMb[lGSnyԚ~z9ZmያvoN2Afnݽjf>)j3 !;gOYʹK" Wftڎ+׭b*2ϻK>ۢӱeyԪXISUm[z+ugX%0lϏnvg!;t{BqPj>PyvR7Cj]O%+ݲ :qiMj6W}3vC/R=4Som]ŗ=ю, TF6U_-\6MyskwMr&Q\wjKܩyMϣUj0*}RZܷSdY3>Zjqj6TgzpA/M`/Cmл,޻feE[/+uk^Vs1W$G(JsW2ٰu*߻q*Y޵.Wi:ur5T),=0uRmho.twܖiYwrWHntvEj8qhf`Ͻpf(R&>Ki%I7$QӖm-2 ~yߗQ-앑/ x[k8nw.c㩵k}]FkbJl:{.(˩n0Hqvαp7 귎.Gupx[N`Yq'+ruU7[ү+>!xrȫoSo]OC# d^Q]\>!ƛGw^Mx"-+%vdX-:M2UR%d>%l ioSu6lsj7D P>XxHz Ukà(n^Q V>5cVtWj SEiJdznyej[lE' 3kuٌNn4JW)gB {4 j6&]' m-(ZMEz8cz>WZ6#7+[,MR-Z!4ܓtCyE|umj1ƽvƷV\;%>Q :#Le(iVz5 4ũۤUWxX ^(ҔsլB2w-V ^R+; ˂M\z+Uwr+RWY⺧~ Q*JcYSNSλUd8in=v K낫k\IRרSUaCFmϿ5̗P|u ZTԕ}>oYѲ1sfP+sQkX8Gb~6r,s>^\,mGL+7[n-E\.Fqḕcl*Jmjb5 ,m]c}NXfeVlǸJ5eˡ$4%g~N p4Y*WwW٧<8v#;qԩTut,m"#Y D\5V`\\Lȋ];LȇiS6ϝZ l>LruR\v=ǘϔDg=ԈdFZ+M{=|,[;0>RiSi4,S5}yxw&(E7&fݙ4UՕ! ~'Id)]ǽu2K-fޭ \08Vڅ쓬=Vy^^ IhyKR-B#Ըr=]mܻӾ'*Umkoy rTqT_i,/8Q^<ݤ|4ԻO(܄"'5N~#m.(Ҿ2i6Uev&I*<}҄$eNtÛzyWJubW^iBW.܅Wڮg]irO6Ve90sgv.+sV޿aޔ[p?3q*FutUo*eL\KM'EG*ZcAFfG5J 5jj=MJ3OK:k˝'NMB7m3uFҕ\-Ywg%PRqMIyZGY9|μvn߻5cWݷa^+X֥vnݘ\v7m>Fgzv"-;Ew֝}1|RjN𿊀7g#֟*GQQ|#/bo]p$>_Un9гUbn9׃ErQBU-^vDmVh'<R[fdHT]*~}3j;nvjc7s-rӳ Y8[n[1pJx kX[Jk9Mn!_Nю6x:iZ˦U |߉^Ԛ݃hYxk &U^bwKk.[jE+P(˞=9j@snCv7%c_7=xǁ<l {t'酚+1F‹l׭:ݻILruǶkL-L(K0L1&>wXB(pm;1fpnlp֓%Skidkt(U +xulo'/ڕeN r=^pZZ:Pnj8Hf"48ijY[ N[yZٻ+=  ø:3 ?^ܷ^Sr#YK[UF?CuhC b]GM')mڏsNrܗI]ljq6VB. W,UK"YX5{c >Iqā> T:n!,5l2VzCl|+I[*SrjnS6٨y+x,@>П.g+!rn9>N|W>OZT_ut Y""v7|sfި;Pclm EùN,{'fNT%U&LfH8~1v>Il}统u6P˗c(WV~H^bMU.o*oOF0N:_:6Smr_.b+|ݶYY غF,mwjv>f*>QM뭱Sd:`N{l/⎱;n-z~"Gze퇎J5S KG9!Gn;N1 ݎ h6m|S?ɂ5'WOÞ 7|7^ao @mxGmi^jϽ>01Mf0լD3-2T. VXR"ɥV Kl J O7|u?bvа;6.eߓ|[1bmRr,eRz`z 6܎-ͨku͹Fː dPhYgZUj}nvX;z=gVեTv_J }\1n7w2J?ޘγc\E 1Aޑzq;\r]]\Y&[nsNei\uURje*Qk2CSl*xJz-xٶlm+|UjUؓ`Ladqiĩ!Gd\W~fz;Tn*PdRM&T4`չSWq5k훶(N"Ӎ% V]֦wb.nUO!u*J&Oӕ2e|Z=eV쫚΅g#+/RW:طnbi*Wyo)p{:ETKؚR(RY+r웓r(IF) VmȵNB:h Q1ғ|u8E]{,'$-TR[j49l*3"I鯴zhd>Q+\BkNF=.$ZR4Nwհ(IpNi.(Gi33#33e$FXK*NdWrud[r{xnk$v2ıh+J1TQ[#JQl[tRO]LHKٮ NӍnF񨔤֞Em'MILB"ԋ%dBŋ+p̿_17jzT~4pc Vo\ƹb9Rq-'1j;8ܗ)hE%DZKS<璸Bu*%*Yw5ڻ9ۣ^z4U; Ñk\U(o~G?VUĎ:?P?_F_Kߤ~ᓾI |pr.Ok\SklRhҪz{­P .}SktZ7UQ4ڌIM8̈eaӊJZ%FFZu,KZvln廐SNFIVtuNi?CM5]+Ph,{jN JSR$IS^tSUVrORYu.9WyP6 [Kiu m!X|]Y79ӄ)\ģ)pbڳr%*&ꑶ_-H*dzk)1 V3')UAϹٶWRxe'պn۫h7AR9 EAJeGLms!%D| A 5]/Q3eb̄vnVn%za\m kZnv([emqrIҕij|""><hjJשvvǕ|Pޟs}V~2&Z?+2N&Z4w@)4iSڪ_>/JN9Hiۏuf8'It[ȲR.hZ$ȋ_Y ~U<UUO*6b)Ovzڜj\R̋.$FsQuҊj^נ䈈y<zZIuP[}Qm=C?zN(Exqu/kn S-FzKZzOסӽjJ\)F3b!r5ٝ|;6 o=-3*λ]αb\abqRi-w޵⦪~b8Kpo)Z=>)ғ"5/GTZLE-輵f7ݘ۹~+&+w/7GFI:l33fg.N~۲\2|*cnermnnM+Fq"ѪIz%j =YW8@~gc/~?N'?)«qȸs➟n=k" X“m֮VreMh2[uݖ] *FܖN)MȐ`f0 g,C9̑o;ddudJ=In13:ݒvvdMUEJLp^,6t-@͐9'{7m{-3,>hnF;ѰM)->>+Ěz!R* :`e--m7nB\u{b U>[8֪]6^ߤLʦ\DFNo$$dͶlgno8OrsQ\l̯hRo8tuNo+ CTxu!2[>ctFpeޓƻֶR"3QrQuOѳgwQr;S~)6HhZw/GgVTmUf_yt7%$];zLWF̰xy2Ʉu!MCmš_0[W6jf#a-KLi+3Q7c^qg%s<1aYIQeZf+}>;S6L0]Yu_h9߻<ƅpmiM$AVvŚ,*#t2.8Y)-Zhshü97/#Oro"u^/uFgWɺ,p:6a,^x%$Yve^3PƗMnTP&yS}OJ '덫MH^:rXԴJۋ/rI;S*,+yz1hv)Qw^ڍJ2oL׊q(\fDj:^T%vOadɂnS}ZO)N*λdaȜkG_PIEO}нa(^iQX᯦-7^)%g'SJx(.S9zVɴZ{E ))ۅi/s7 VIV-|sj0*UBTHIqRf>FP$KqN0 R̻8j\GcC}IUz\i 6F)Q{Gҧ3qSzKj-Az VЛS-zy:8*mNk|D鿓ND2u+0Yŝ7kqm·?8Ib]u>˗^_>(]vӋzv+ݩ){vZrJ2RQ몋C$z [,pp,8mڊbR]Il .f~d/ݓs㓓mͶ{mgjQwn=Oic9ܚm4Q/6ݨ[TƧ?nԶoytf{@AzT{e{[O'ZRZt~AGD?s3􌿂ՉIw'|~U\ w~di:Kޱ)U/sU%njѩ&GSP^ǝd)..!^U` 1wX[aԇSxoFV6_扐)T 2Mfd=ۖͭiZ7KK Bi9%7@<3<ճԻU,},a}FRqɛr i@ONJvK KLN M, ʖv0n-]DwlI-X6ܶ$Jʴh5O+mOI+Ra瞠\ MG7BفjYo1#͖0V`Ѱ2M?c8>-Crt*JkIGS:e#hPKx[鱼>{5m;wcն&>j-M֥^َ) 6yȜl_w{-ō̱r> U=]iw3)r*]:K]6BdCTZ|>gf}LW}[$'Y5 &c -j.z6R 67MԷFMnÌwI7w5E}o޽+K ֵy4܌ȥW"COyR[q5Ӱ͙f[v"_#q{MV6܍3"u9BK(41ӯqˇc${ߝCi6I(OmθzҜ5k^:>Jzw.>qV8{vU[ڶEm|DžBz].KHjI]x;Mɗ{m,qZXr忇2u^RO2Z}ZێS[2Jen!*NDcrBUً4<ǼMҲs1Zw57c3&ĖڻzmP*FuJG1-dN:|OU}ҵgi2t~F^^Z.VxjvŧnNNh<:]^~NN+ge^g.SԔGFe߯'[vn'(ScJ]kܗ7eJOlRrfziݮq̋S"\*U<*W]k$FջV}? 7g#֟*GQQ|#/bo]p$>_Un9;l S VvQU%OLU{οmU6bZ1MTx%!֙Q7, J=!3 ;Q,ڌ;6ͱ݅q^&ߔ·n #WbwӖX.HtG)N&d̵zpI,n cu ޖUj+VXUp[w]N o.J6Z8Ts&utxln;~HPHS/xw`G\ʡ¿rj Z^vt"[L:SD\h0sUwR,}[x^X,R2Vn< ]2YDr[SRKs8tXb̷G?Ps Tv 3be,zVz D[/I.KOEQrm'$7|[J>r S`5յwT#\w1FTz\Ԛ &"ׅhSHrD\'r]~/>p;:Piuu:"9ő=tTaS7V2rӷk7mb[^WmPp*[y.Þ6f]cizJCgRR@UVl큝.WJP1N{/\whZ ػϧӱE7|E֫Sί.x-Y&pi%v''-x6r'Ws*6=DwwUu]=C?MK [yrtܒG$!WGqJ*%SAz ED[^)/tė/g=#Omd.|^n/sl׉g DZqemqowݮRzUܜ=ڽ-o/Iۖ;qVʘgPp|mm;6zGl9.8pwWgsJ2qPbe}}UpNjٯ}7TMQKrؽtEx%v w߾8%|j;~|}pK]ơ/ w߾8%|j;~|}pK]ơ/ w&~e_H 8PL7:%ʭ5Kw&U2vwR_+rm'}C7#rWoO&HoG?M$UR7{FU]u ;# !Wk`|W>׹潇9Vn)6)*ҹ{%qV4q>W1vi#T"Qk&GwxcJBJ- Ϸ^ˁxkU}ԣ/3.;]J=<*)cS)ROK9H=,r zX @)cS)Da^ԽQ gxJI=w֣gf*TRj

Correspondence to Seungmin Lee. Department of Food and Nutrition, Sungshin Women's University, 55 Dobong-ro 76ga-gil, Gangbuk-gu, Seoul 01133, Korea. smlee@sungshin.ac.kr
• Received: January 24, 2019   • Revised: January 28, 2019   • Accepted: January 28, 2019

Copyright © 2019. The Korean Society of Clinical Nutrition

This is an Open Access article distributed under the terms of the Creative Commons Attribution Non-Commercial License (https://creativecommons.org/licenses/by-nc/4.0/) which permits unrestricted non-commercial use, distribution, and reproduction in any medium, provided the original work is properly cited.

  • 4 Views
  • 1 Download
  • 5 Crossref
prev next
  • The purpose of this study was to prospectively investigate the relation between total diet quality and metabolic syndrome in Korean adults. A community-based cohort of the Korean Genome and Epidemiology Study (KoGES) provided basis for this study. During the total follow-up period of 38,171 person-years of 5,549 subjects, a total of 1,891 metabolic syndrome incident cases were identified. Metabolic syndrome was defined by the criteria of the National Cholesterol Education Program Adult Treatment Panel. Mediterranean Diet Score (MDS), Dietary Approaches to Stop Hypertension diet, and Recommended Food Score (RFS) were used to assess total diet quality. Cox proportional hazards regression was used to estimate hazard ratios (HRs) for metabolic syndrome associated with total diet quality. In men, the incidence of metabolic syndrome in the 5th MDS quintile group decreased by approximately 25% compared to the 1st quintile group (p for trend < 0.01) after adjusting for age and energy intake. In women, significant decreasing trend of metabolic syndrome incidence risk was observed across the quintiles of RFS in an age and energy intake-adjusted model (HR [95% CI] of Q5 vs. Q1; 0.662 [0.521–0.842], p for trend < 0.01). However, such associations did not reach at a significance level when additional covariates were included. In this first study looking at prospective relation of metabolic syndrome with total diet quality in a Korean population, study findings suggest some protective role of better diet quality in preventing future metabolic syndrome. But no convincing evidence was observed in this study.
In Korea rapid lifestyle changes and aging makes chronic diseases major causes of morbidity and mortality. According to the Korean National Health and Nutrition Examination Survey in 2014, the prevalence of chronic diseases among Korean adults aged 30 years and higher is 36.5%, 32.0%, 10.6%, 19.5%, and 16.8% for obesity, hypertension, diabetes, hypercholesterolemia, and hypertriglycemia, respectively [1]. The metabolic syndrome which displays multiple metabolic risk factors in a person was found to be approximately 31%. The prevalence of hypercholesterolemia, pre-diabetes, obesity, hypertension, and hyperlipidemia is steadily increasing over the past decade, and the prevalence of metabolic syndrome is expected to increase in the future.
Galassi et al. [2] reported that the metabolic syndrome increases cardiovascular disease and cardiovascular disease mortality by 2.34-fold and 2.40-fold, respectively. In addition, as the number of risk factors for metabolic syndrome increments, the risk of cardiovascular disease increases proportionally. Metabolic syndrome is, thus, considered to be a more potent factor for predicting cardiovascular disease risk than any single metabolic risk factor [3]. Obesity, hypertension, diabetes and hypercholesterolemia can be seen as precedents of cardiovascular diseases. It is reported that proper management of these preceding conditions can prevent leading to serious diseases such as myocardial infarction or stroke up to 80% [4].
On the other hand, the secular trend of dietary factors associated with the risk of metabolic syndrome seems worrying in Korea. The proportion of exceeding the estimated average requirement of energy intake was 37.9% in 1998 and increased by 5.9% point in 2014 (43.8%) [1]. Simple sugar intake including sugar, starch syrup, candy, chocolate, and other sugars were 12.8 g/day, which was the highest since 1998 (7.3 g/day). The proportion of eating-out more than once a day increased by 1.5 times to 32.4% in 2014 compared to 24.2% in 2008, and those with higher eating-out frequency consumed more energy, fat, and sodium. Although sodium intake has been decreasing, about 80% of the population still consume more than the target intake level of 2,000 mg/day.
There is limitation in understanding the whole context of disease risk with a single nutrient or food group, especially in a case that the disease is associated with multiple dietary factors. It is reasonable and attractive venue to examine overall diet's role in disease risk, and a large body of research employed this approach in understanding prevention and management of chronic diseases [5, 6, 7, 8, 9]. The association of metabolic syndrome with antioxidant vitamins, fat, cholesterol, dairy products, fish, alcohol, and meat has been reported in Korea [10, 11, 12, 13, 14, 15]. While the cross-sectional relation between total diet and metabolic syndrome has been studied in a Korean population [16], there is a lack of longitudinal studies on it. The purpose of this study was to investigate the relation between overall dietary quality and incidence risk of metabolic syndrome in Korean adults based on a community-based cohort population.
Subjects
We used community-based cohort (Ansan·Anseong cohort) data of the Korean Genome and Epidemiology Study (KoGES). Data from the baseline in 2001 up to the follow-up survey in 2014 was used for this study. The KoGES is a nation-led cohort project conducted every 2 years from 2001 with the aim of identifying the environmental and genetic risk factors of chronic diseases, identifying interactions among them, and establishing guidelines for disease prevention [17]. The Ansan·Anseong cohort is a large-scale cohort of 40 to 69-year-old general population, and it collect blood, urine, and genomic biological samples and information on health, lifestyle, diet, and environmental factors.
Of the 10,030 participants who responded to basic health examination and food frequency questionnaire in the baseline survey, those previously diagnosed with metabolic syndrome (n = 2,374) or diet-related chronic diseases (n = 1,614) and those aged less than 40 or over 69 years (n = 284) were excluded. Subjects with no blood sample (n = 99), no dietary data (n = 42), or reported daily energy intake less than 500 kcal or higher than 5,000 kcal were also excluded. Finally, data from a total of 5,549 subjects (2,805 men and 2,744 women) were analyzed for this study. During the total follow-up period of 38,171 person-years (mean follow-up, 6.9 years), a total of 1,891 metabolic syndrome incident cases were identified.
Diagnostic criteria for metabolic syndrome
Metabolic syndrome was defined by the criteria of the National Cholesterol Education Program Adult Treatment Panel [3]. For a central obesity component, a waist circumference cutoff suggested by the Korean Society for the Study of Obesity was used (> 90 cm for men, > 85 cm for women) [18]. Those taking medicine for metabolic syndrome components were counted as having the corresponding risk factors of metabolic syndrome.
Evaluation of total diet quality
Dietary data was collected using a semi-quantitative food frequency questionnaire (SQFFQ) with 103 items which was developed and validated among Korean adults [19]. Considering the fact that there is no single absolute measurement for total diet quality, this study utilized 3 indexes including Mediterranean Diet Score (MDS), Dietary Approaches to Stop Hypertension (DASH), and Recommended Food Score (RFS) to assess total diet quality. The MDS includes components of vegetables, nuts and legumes, fruits, whole grains, fish, potatoes, meat, sweetened beverages, olive oil, butter, and alcohol [20]. The DASH diet consists of vegetables, nuts and legumes, fruits, whole grains, red meat, low fat dairy products, sweetened beverages, and sodium [21]. RFS is composed of fruits, vegetables, protein foods, grains, and dairy products [22]. We modified these indexes applicable to Korean diet and the SQFFQ data. Table 1 displays index components and scoring scheme of MDS, DASH, and RFS for this study. Kimchi and pickles were not counted for the vegetable component, while seaweeds and mushrooms were included in the vegetable component.
Table 1

Overview of diet quality component and scoring scheme of MDS, DASH and RFS in this study

Table 1
Index component Scoring scheme
MDS DASH RFS
Vegetables (+) 1 point (+) 1–5 point (except potatoes & legumes) (+) 22 point (1 point for each food item) × 0.94
≥ 5rd quintile 1–5 lowest to highest quintile : green chilli, pepper leaves, spinach, lettuce, perilla leaf, chives/water parsley, green vegetables, daikon, balloon flower root/deodeok, onion, napa cabbage, cucumber, bean sprouts, carrot/carrot juice, pumpkin, green pumpkin, vegetable juices, bracken/sweet potato vines, oyster mushroom and others, laver, kelp/seaweed
Nut & legumes (+) 1 point (+) 1–5 point -
≥ 5rd quintile 1–5 lowest to highest quintile
Fruits (+) 1 point (+) 1–5 point (+) 12 point (1 point for each food item) × 1.15
≥ 5rd quintile 1–5 lowest to highest quintile : persimmon/dried Persimmon, mandarin, oriental melon/melon, banana, pear, apple/apple juice, orange/orange juice, watermelon, peach/plum, strawberry, grape/grape juice, tomato/tomato juice
Whole grains (+) 1 point (+) 1–5 point (+) 3 point (1 point for each food item) × 3.0724
≥ 5rd quintile 1–5 lowest to highest quintile : barley rice, multi-grain rice, powder made of mixed grains
Fish (+) 1 point - -
≥ 5rd quintile
Meats (−) 1 point (−) 1–5 point -
≤ 1st quintile 1–5 highest to lowest quintile
Dairy products (+) 1 point (+) 1–5 point (+) 3 point (1 point for each food item) × 1.54
≥ 5rd quintile 1–5 highest to lowest quintile : milk, yogurt, cheese
Sugar sweetened beverages (+) 1 point (−) 1–5 point -
≤ 1st quintile 1–5 highest to lowest quintile
Sodium - (−) 1–5 point -
1–5 highest to lowest quintile
Oil (+) 1 point - -
Alcohol (+) 1 point - -
0.01–12 g/day
Protein foods - - (+) 13 point (1 point for each food item) × 0.35
: bean/beans cooked in soy sauce, tofu, soybean paste soup/rich soybean paste stew, jellied food, peanut/almond/pine nut, chicken/drumstick/wings, egg/quail egg, sashimi, hairtail, eel, croaker, pollack /frozen pollack/dried pollack, external blue colored fish
Total score 10 40 53
MDS, Mediterranean Diet Score; DASH, Dietary Approaches to Stop Hypertension; RFS, Recommended Food Score.
Statistical analysis
All data processing and statistical tests were analyzed using SAS 9.4 (SAS Institute, Cary, NC, USA). Categorical and continuous data were summarized by a frequency and percentage and a mean and standard deviation, respectively. To compare differences between men and women, the chi-square test for categorical variables and the independent t-test for continuous variables were conducted. Food group intakes across levels of total diet quality were compared by the generalized linear model adjusting for age (year) and total energy intake (kcal/day). Cox proportional hazards regression was used to estimate crude and adjusted hazard ratio (HR) for metabolic syndrome associated with total diet quality represented by MDS, DASH diet, and RFS. Covariates in the Cox regression analysis included age (years), energy intake (kcal/day), income (< 1; ≥ 1 and < 2; ≥ 2 and < 4; ≥ 4, unit of million Korean won), education (elementary school graduate or less; middle school; high school; college graduate or more), physical activity (metabolic equivalents; METs), smoking (pack-years), drinking (alcohol intake, g/day). Statistical significance was determined at a level of p < 0.05.
General characteristics
The distribution of subjects' general characteristics by gender is shown in Table 2. Significant differences between men and women were found in education level, income level, drinking and smoking status, and physical activity, but the average age was not different. The level of education and income was higher in men than in women. In men, 71.8% of subjects were drinkers, while 69.7% of women subjects reported no alcohol consumption. An average daily alcohol intake was much higher in men (17.6 ± 27.9 g/day) compared to that in women (1.6 ± 5.8 g/day). Proportions of smokers were only 3.8% in women and 51.7% in men, and average pack-years were also significantly higher in men (18.0 ± 17.6 pack-years) than in women (0.4 ± 2.6 pack-years). In both men and women, a physical activity level less than 20 METs was most common in 57.3% and 96.2%, respectively. There was a significant gender difference in distribution of physical activity level.
Table 2

General characteristics of the subjects at baseline

Table 2
Characteristics Men (n = 2,805) Women (n = 2,744) p value
Age (yr) 50.8 ± 8.6 50.0 ± 8.5 NS
Education *
Elementary school graduate or less 547 (19.6) 980 (35.9)
Middle school graduate 631 (22.6) 697 (25.6)
High school graduate 1,022 (36.6) 854 (31.3)
College graduate or higher 594 (21.3) 197 (7.2)
Income (million Korean won) *
< 1 751 (27.0) 899 (33.5)
≥ 1 and < 2 862 (31.0) 830 (30.9)
≥ 2 and < 4 920 (33.1) 774 (28.8)
≥ 4 250 (9.0) 182 (6.8)
Drinking
Non-drinker 791 (28.2) 1,913 (69.7) *
Drinker 2,014 (71.8) 831 (30.3)
Alcohol intake (g/day) 17.6 ± 27.9 1.6 ± 5.8 *
Smoking
Non-smoker 1,354 (48.3) 2,639 (96.2) *
Smoker 1,451 (51.7) 105 (3.8)
Pack-year 18.0 ± 17.6 0.4 ± 2.6 *
Physical activity *
20 > METs 1,560 (57.3) 1,787 (66.9)
20 ≤ METs < 40 536 (19.7) 425 (15.9)
40 ≤ METs 627 (23.0) 458 (17.2)
Values are expressed as mean ± standard deviation or number (%).
NS, not significant; MET, metabolic equivalent.
*p < 0.001 by χ2 test or independent t-test.
Nutrient and food group intakes according to total diet quality levels
Tables 3 and 4 show comparison of daily food group intakes between the 1st and 5th quintiles of the three diet quality index scores in men and women. Most of the examined food group intakes differed significantly by the index score levels of MDS, DASH, and RFS. Overall, average intakes of whole grains, fruits, vegetables, dairy products, and nuts and legumes significantly increased across the lowest to highest quintile of the diet quality indexes in both men and women. On the contrary sugar sweetened beverage intakes were significantly lower in the highest quintiles than in the lowest quintiles. In terms of meats, however, changes across diet index quintiles were not consistent among the 3 indexes. It was significantly higher in the highest quintiles than in the lowest quintiles for the MDS and RFS indexes, but was somewhat lower in the highest quintiles than in the lowest quintiles for the DASH index.
Table 3

Food group intakes for selected quintiles of diet quality index scores in men

Table 3
Dietary component Diet quality index
MDS p value DASH p value RFS p value
1* 5 1 5 1 5
Total index score 9.87 ± 2.05 24.41 ± 2.36 18.17 ± 1.83 29.69 ± 1.74 8.76 ± 2.28 32.92 ± 6.83
Food groups (servings/day)
Whole grains 2.43 ± 5.95 14.86 ± 9.67 1.68 ± 4.80 15.48 ± 9.46 0.24 ± 0.43 1.09 ± 0.71
Fruits 4.45 ± 4.63 15.71 ± 13.81 5.64 ± 6.87 15.89 ± 14.16 0.47 ± 0.92 5.37 ± 3.59
Vegetables 16.09 ± 9.54 39.39 ± 19.40 19.71 ± 11.93 35.97 ± 19.34 2.68 ± 1.83 12.05 ± 4.30
Dairy products 1.52 ± 3.03 6.59 ± 5.48 1.87 ± 3.10 6.54 ± 5.39 0.34 ± 0.59 1.33 ± 0.86
Meats 1.52 ± 3.03 6.59 ± 5.48 5.46 ± 4.88 3.73 ± 3.10 0.45 ± 0.92 1.88 ± 1.85
Nuts & legumes 4.69 ± 3.93 14.55 ± 9.30 5.13 ± 3.75 14.47 ± 9.20 1.42 ± 0.94 2.78 ± 1.05
SSBs 12.33 ± 9.08 7.25 ± 7.41 13.96 ± 8.74 5.67 ± 6.53 0.91 ± 0.73 1.54 ± 0.92
Values are expressed as mean ± standard deviation.
MDS, Mediterranean Diet Score; DASH, Dietary Approaches to Stop Hypertension; RFS, Recommended Food Score; SSB, sugar-sweetened beverage.
*Quintile of diet quality index score (a higher quintile indicates better diet quality); p < 0.001 by generalized linear model adjusted for age(year) and energy intake(kcal/day).
Table 4

Food group intakes for selected quintiles of diet quality index scores in women

Table 4
Dietary component Diet quality index
MDS p value DASH p value RFS p value
1* 5 1 5 1 5
Total index score 9.91 ± 1.94 24.14 ± 2.19 18.32 ± 1.67 29.46 ± 1.59 9.57 ± 2.53 36.49 ± 7.24
Food groups (servings/day)
Whole grains 4.77 ± 7.86 16.39 ± 9.37 3.93 ± 7.21 17.00 ± 9.02 0.39 ± 0.49 1.30 ± 0.67
Fruits 6.26 ± 6.00 22.00 ± 20.12 7.54 ± 8.27 20.04 ± 18.21 0.68 ± 1.17 6.29 ± 3.42
Vegetables 15.95 ± 10.67 44.78 ± 27.00 20.24 ± 13.96 38.67 ± 25.93 2.80 ± 1.98 11.75 ± 4.18
Dairy products 2.02 ± 3.62 8.42 ± 6.44 2.05 ± 3.31 7.72 ± 6.31 0.40 ± 0.63 1.47 ± 0.84
Meats 2.02 ± 3.62 8.42 ± 6.44 3.76 ± 3.60 2.63 ± 3.38 0.20 ± 0.54 1.37 ± 1.44
Nuts & legumes 4.56 ± 4.27 15.51 ± 8.93 4.84 ± 4.58 14.95 ± 8.81 1.37 ± 0.94 2.63 ± 1.00
SSBs 7.78 ± 7.27 4.61 ± 5.84 9.01 ± 7.07 2.92 ± 4.41 0.67 ± 0.64 1.06 ± 0.84
Values are expressed as mean ± standard deviation.
MDS, Mediterranean Diet Score; DASH, Dietary Approaches to Stop Hypertension; RFS, Recommended Food Score; SSB, sugar-sweetened beverage.
*Quintile of diet quality index score (a higher quintile indicates better diet quality); p < 0.01, p < 0.001 by generalized linear model adjusted for age(year) and energy intake(kcal/day).
Incidence risk of metabolic syndrome in relation to total diet quality
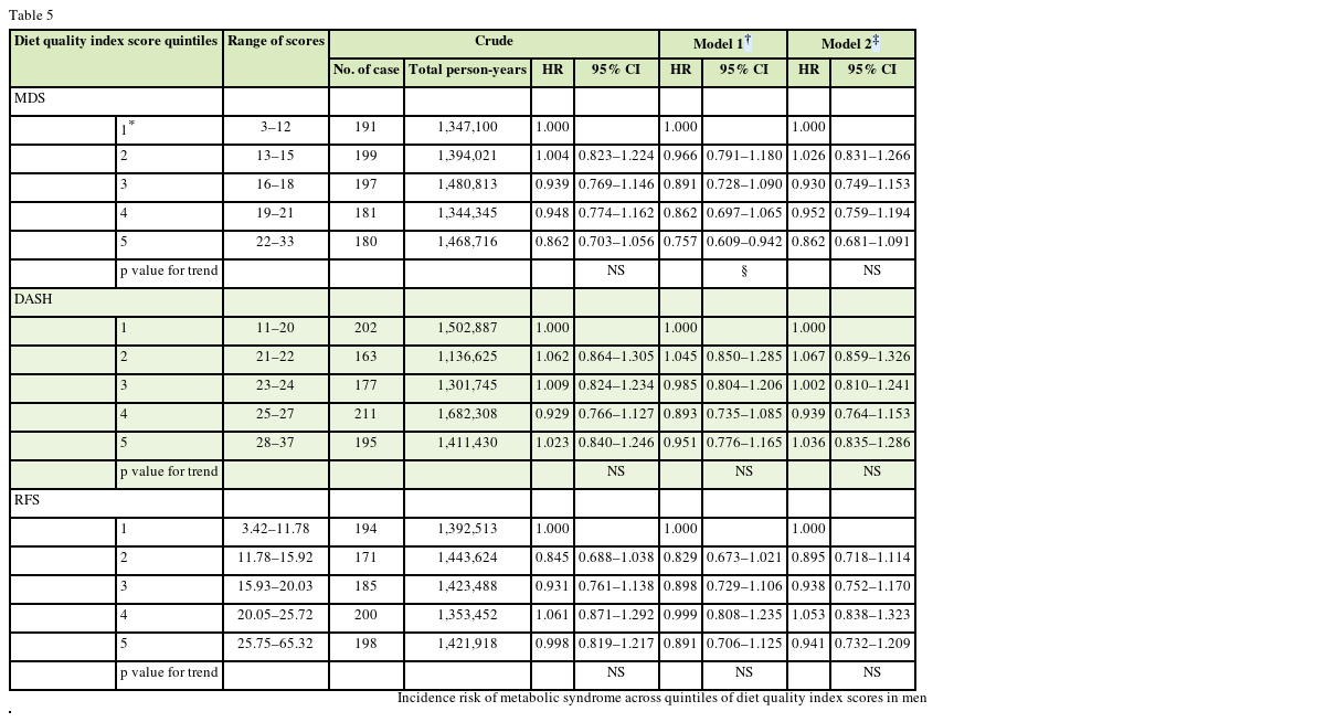
Table 5 presents incidence risk of metabolic syndrome in relation to total diet quality assessed by MDS, DASH, and RFS during the follow-up period in men. In the case of MDS, the incidence of metabolic syndrome in the 5th quintile group decreased by approximately 25% compared to the 1st quintile group (p for trend < 0.01) after adjusting for age and energy intake. However, this significant association was not kept in a multivariate-adjusted model with additional covariates. There were no significant differences in the incidence risk of metabolic syndrome across the levels of total diet quality represented by DASH and RFS.
Table 5

Incidence risk of metabolic syndrome across quintiles of diet quality index scores in men

Table 5
Diet quality index score quintiles Range of scores Crude Model 1 Model 2
No. of case Total person-years HR 95% CI HR 95% CI HR 95% CI
MDS
1* 3–12 191 1,347,100 1.000 1.000 1.000
2 13–15 199 1,394,021 1.004 0.823–1.224 0.966 0.791–1.180 1.026 0.831–1.266
3 16–18 197 1,480,813 0.939 0.769–1.146 0.891 0.728–1.090 0.930 0.749–1.153
4 19–21 181 1,344,345 0.948 0.774–1.162 0.862 0.697–1.065 0.952 0.759–1.194
5 22–33 180 1,468,716 0.862 0.703–1.056 0.757 0.609–0.942 0.862 0.681–1.091
p value for trend NS § NS
DASH
1 11–20 202 1,502,887 1.000 1.000 1.000
2 21–22 163 1,136,625 1.062 0.864–1.305 1.045 0.850–1.285 1.067 0.859–1.326
3 23–24 177 1,301,745 1.009 0.824–1.234 0.985 0.804–1.206 1.002 0.810–1.241
4 25–27 211 1,682,308 0.929 0.766–1.127 0.893 0.735–1.085 0.939 0.764–1.153
5 28–37 195 1,411,430 1.023 0.840–1.246 0.951 0.776–1.165 1.036 0.835–1.286
p value for trend NS NS NS
RFS
1 3.42–11.78 194 1,392,513 1.000 1.000 1.000
2 11.78–15.92 171 1,443,624 0.845 0.688–1.038 0.829 0.673–1.021 0.895 0.718–1.114
3 15.93–20.03 185 1,423,488 0.931 0.761–1.138 0.898 0.729–1.106 0.938 0.752–1.170
4 20.05–25.72 200 1,353,452 1.061 0.871–1.292 0.999 0.808–1.235 1.053 0.838–1.323
5 25.75–65.32 198 1,421,918 0.998 0.819–1.217 0.891 0.706–1.125 0.941 0.732–1.209
p value for trend NS NS NS
MDS, Mediterranean Diet Score; DASH, Dietary Approaches to Stop Hypertension; RFS, Recommended Food Score; HR, hazard ratio; CI, confidence interval; NS, not significant; MET, metabolic equivalent.
*Quintile of diet quality index score (a higher quintile indicates better diet quality); Model 1 adjusted for age (year) and total energy intake (kcal/day); Model 2 adjusted for age (year), total energy intake (kcal/day), income level (< 1; ≥ 1 and < 2; ≥ 2 and < 4; ≥ 4, million Korean won), education level (elementary school graduate or less; middle school; high school; college graduate or more), physical activity (METs), smoking (pack-years), drinking (total alcohol intake, g/day); §p for trend < 0.01 by Cox proportional hazards regression analysis.
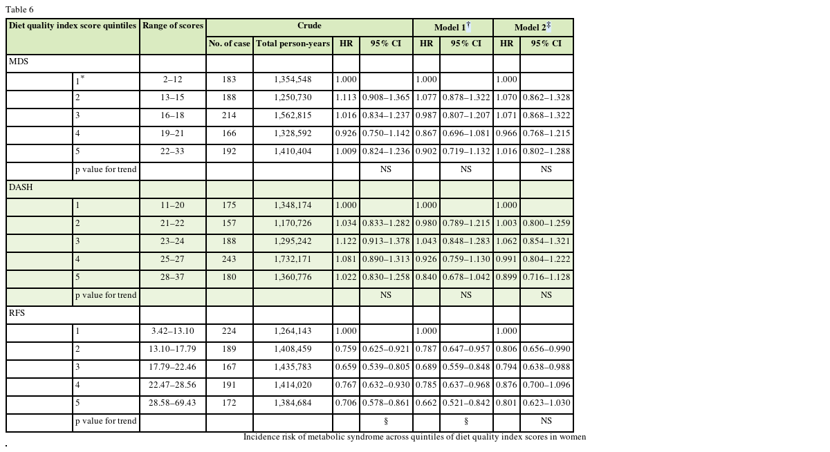
Table 6 presents incidence risk of metabolic syndrome in relation to total diet quality assessed by MDS, DASH, and RFS in women. No significant association was found between metabolic syndrome incidence and total diet quality assessed by MDS and DASH. Significant decreasing trend of metabolic syndrome incidence risk was observed across the quintiles of RFS in a crude analysis (HR [95% CI] of Q5 vs. Q1; 0.706 [0.578–0.861], p for trend < 0.01) and in a model adjusted for age and energy intake (0.662 [0.521–0.842], p for trend < 0.01). But this association disappeared in a model including additional covariates.
Table 6

Incidence risk of metabolic syndrome across quintiles of diet quality index scores in women

Table 6
Diet quality index score quintiles Range of scores Crude Model 1 Model 2
No. of case Total person-years HR 95% CI HR 95% CI HR 95% CI
MDS
1* 2–12 183 1,354,548 1.000 1.000 1.000
2 13–15 188 1,250,730 1.113 0.908–1.365 1.077 0.878–1.322 1.070 0.862–1.328
3 16–18 214 1,562,815 1.016 0.834–1.237 0.987 0.807–1.207 1.071 0.868–1.322
4 19–21 166 1,328,592 0.926 0.750–1.142 0.867 0.696–1.081 0.966 0.768–1.215
5 22–33 192 1,410,404 1.009 0.824–1.236 0.902 0.719–1.132 1.016 0.802–1.288
p value for trend NS NS NS
DASH
1 11–20 175 1,348,174 1.000 1.000 1.000
2 21–22 157 1,170,726 1.034 0.833–1.282 0.980 0.789–1.215 1.003 0.800–1.259
3 23–24 188 1,295,242 1.122 0.913–1.378 1.043 0.848–1.283 1.062 0.854–1.321
4 25–27 243 1,732,171 1.081 0.890–1.313 0.926 0.759–1.130 0.991 0.804–1.222
5 28–37 180 1,360,776 1.022 0.830–1.258 0.840 0.678–1.042 0.899 0.716–1.128
p value for trend NS NS NS
RFS
1 3.42–13.10 224 1,264,143 1.000 1.000 1.000
2 13.10–17.79 189 1,408,459 0.759 0.625–0.921 0.787 0.647–0.957 0.806 0.656–0.990
3 17.79–22.46 167 1,435,783 0.659 0.539–0.805 0.689 0.559–0.848 0.794 0.638–0.988
4 22.47–28.56 191 1,414,020 0.767 0.632–0.930 0.785 0.637–0.968 0.876 0.700–1.096
5 28.58–69.43 172 1,384,684 0.706 0.578–0.861 0.662 0.521–0.842 0.801 0.623–1.030
p value for trend § § NS
MDS, Mediterranean Diet Score; DASH, Dietary Approaches to Stop Hypertension; RFS, Recommended Food Score; HR, hazard ratio; CI, confidence interval; NS, not significant; MET, metabolic equivalent.
*Quintile of diet quality index score (a higher quintile indicates better diet quality); Model 1 adjusted for age (year) and total energy intake (kcal/day); Model 2 adjusted for age (year), total energy intake (kcal/day), income level (< 1; ≥ 1 and < 2; ≥ 2 and < 4; ≥ 4, million Korean won), education level (elementary school graduate or less; middle school; high school; college graduate or more), physical activity (METs), smoking (pack-years), drinking (total alcohol intake, g/day); §p for trend < 0.01 by Cox proportional hazards regression analysis.
The present study investigated the effect of total diet quality on the risk of developing metabolic syndrome-based community-based cohort data from the baseline in 2001 to the follow-up in 2014. Since total diet quality cannot be definitely defined by a single index, we utilized multiple dietary indexes, MDS, DASH, and RFS, which consist of dietary components known to be related metabolic syndrome [20, 21, 22].
Some of study findings support preventive role of better diet quality in occurrence of metabolic syndrome. Specifically, the incidence of metabolic syndrome in the 5th RFS quintile group significantly decreased by approximately 34% compared to the 1st quintile group after adjusting for age and energy intake in women. In men, significant decreasing trend of metabolic syndrome incidence risk was observed across the quintiles of MDS also in an age and energy intake-adjusted model. These results accord with findings from some previous research [23, 24]. Kesse-Guyot et al. [23] reported significant inverse relation of adherence to Mediterranean diet with waist circumference, systolic blood pressure, and serum triglycerides in a 6-year prospective study of 3,232 subjects. Incidence of metabolic syndrome also significantly reduced by approximately 50% in the highest tertile of MDS compared to the lowest tertile. From a cohort data analysis of 6,851 participants, a higher adherence to DASH diet was associated with a lower metabolic syndrome development among those with moderate alcohol consumption [24]. These findings suggest that overall healthy diet represented by a priori assessment approach can contribute to metabolic syndrome prevention.
After adjusting for additional factors including income, education, physical activity, smoking, and drinking status, such a significant association between total diet and metabolic syndrome disappeared in the present study similarly to Mirmiran et al.'s [5] study findings. Though we cannot firmly exclude a possibility of no causal relation, it is possible that some methodological constraints affect our study findings. The follow-up period in this study may have not been long enough to observe the association, and food frequency questionnaire data measured in the baseline examination may have not fully reflected subjects' diet. Additionally, diet indexes employed in this study may have not been optimal to capture multiple dietary factors and complex inter-correlations of dietary factors especially in a context of Korean diet.
The investigation on a role of overall diet in developing metabolic syndrome has been a hot research topic worldwide [25]. This study is meaningful in that it adds evidence from a Korean prospective cohort study to the current global body of academic literature on relation of metabolic syndrome with overall diet. The method of applying the diet quality indexes to Korean dietary data in the present study provides a model of the application approach of the diet indexes for future research.
To our knowledge, this is the first study which prospectively examined the association between total diet quality and metabolic syndrome in Korean adults. The study findings suggest some protective role of better total diet quality in preventing future metabolic syndrome. But no convincing evidence was observed in this study. Future research can explore the study question using other approaches for assessing total diet quality or data with a longer follow-up period.

Conflict of Interest: The authors declare that they have no competing interests.

  • 1. Ministry of Health and Welfare, Korea Centers for Disease Control and Prevention. Korea Health Statistics 2014: Korea National Health and Nutrition Examination Survey (KNHANES VI-2). Cheongju: Korea Centers for Disease Control and Prevention; 2015.
  • 2. Galassi A, Reynolds K, He J. Metabolic syndrome and risk of cardiovascular disease: a meta-analysis. Am J Med 2006;119:812-819.
  • 3. Grundy SM, Cleeman JI, Daniels SR, Donato KA, Eckel RH, Franklin BA, Gordon DJ, Krauss RM, Savage PJ, Smith SC Jr, Spertus JA, Costa F. American Heart Association. National Heart, Lung, and Blood Institute. Diagnosis and management of the metabolic syndrome: an American Heart Association/National Heart, Lung, and Blood Institute Scientific Statement. Circulation 2005;112:2735-2752.
  • 4. Ministry of Health and Welfare. The 4th Health Plan (2016~2020) [Internet]. Sejong: Ministry of Health and Welfare; updated 2016 March 15. cited 2017 February 30. Available from: http://www.mohw.go.kr/react/jb/sjb030301vw.jsp?PAR_MENU_ID=03&MENU_ID=0319&CONT_SEQ=330479&page=1
  • 5. Mirmiran P, Moslehi N, Mahmoudof H, Sadeghi M, Azizi F. A longitudinal study of adherence to the Mediterranean dietary pattern and metabolic syndrome in a non-Mediterranean population. Int J Endocrinol Metab 2015;13:e26128.
  • 6. Sadykova K, Shalkharova Z, Nuskabayeva G, Zhunissova M, Madenbay K. Relation between adherence to Mediterranean diet and components of the metabolic syndrome in the Kajakhastani population. Georgian Med News 2018;97-102.
  • 7. Fung TT, Hu FB, Wu K, Chiuve SE, Fuchs CS, Giovannucci E. The Mediterranean and Dietary Approaches to Stop Hypertension (DASH) diets and colorectal cancer. Am J Clin Nutr 2010;92:1429-1435.
  • 8. Kant AK, Schatzkin A, Graubard BI, Schairer C. A prospective study of diet quality and mortality in women. JAMA 2000;283:2109-2115.
  • 9. Mai V, Kant AK, Flood A, Lacey JV Jr, Schairer C, Schatzkin A. Diet quality and subsequent cancer incidence and mortality in a prospective cohort of women. Int J Epidemiol 2005;34:54-60.
  • 10. Ahn S, Jun S, Kang M, Shin S, Wie GA, Baik HW, Joung H. Association between intake of antioxidant vitamins and metabolic syndrome risk among Korean adults. J Nutr Health 2017;50:313-324.
  • 11. Kim M, Kim J, Bae W, Kim S, Lee Y, Na W, Sohn C. Relationship between nutrients intakes, dietary quality, and serum concentrations of inflammatory markers in metabolic syndrome patients. Korean J Community Nutr 2011;16:51-61.
  • 12. Shin H, Yoon YS, Lee Y, Kim CI, Oh SW. Dairy product intake is inversely associated with metabolic syndrome in Korean adults: Anseong and Ansan cohort of the Korean Genome and Epidemiology Study. J Korean Med Sci 2013;28:1482-1488.
  • 13. Baik I, Abbott RD, Curb JD, Shin C. Intake of fish and n-3 fatty acids and future risk of metabolic syndrome. J Am Diet Assoc 2010;110:1018-1026.
  • 14. Baik I, Shin C. Prospective study of alcohol consumption and metabolic syndrome. Am J Clin Nutr 2008;87:1455-1463.
  • 15. Oh SM, Kim HC, Ahn SV, Chi HJ, Suh I. Association between meat consumption and carotid intima-media thickness in Korean adults with metabolic syndrome. J Prev Med Public Health 2010;43:486-495.
  • 16. Kim YJ, Hwang JY, Kim H, Park S, Kwon O. Diet quality, physical activity, and their association with metabolic syndrome in Korean adults. Nutrition 2019;59:138-144.
  • 17. Kim Y, Han BG; KoGES group. Cohort profile: the Korean Genome and Epidemiology Study (KoGES) consortium. Int J Epidemiol 2017;46:1350.
  • 18. Lee SY, Park HS, Kim DJ, Han JH, Kim SM, Cho GJ, Kim DY, Kwon HS, Kim SR, Lee CB, Oh SJ, Park CY, Yoo HJ. Appropriate waist circumference cutoff points for central obesity in Korean adults. Diabetes Res Clin Pract 2007;75:72-80.
  • 19. Ahn Y, Kwon E, Shim JE, Park MK, Joo Y, Kimm K, Park C, Kim DH. Validation and reproducibility of food frequency questionnaire for Korean genome epidemiologic study. Eur J Clin Nutr 2007;61:1435-1441.
  • 20. Trichopoulou A. Mediterranean diet: the past and the present. Nutr Metab Cardiovasc Dis 2001;11:1-4.
  • 21. Sacks FM, Svetkey LP, Vollmer WM, Appel LJ, Bray GA, Harsha D, Obarzanek E, Conlin PR, Miller ER 3rd, Simons-Morton DG, Karanja N, Lin PH, Aickin M, Most-Windhauser MM, Moore TJ, Proschan MA, Cutler JA. DASH-Sodium Collaborative Research Group. Effects on blood pressure of reduced dietary sodium and the Dietary Approaches to Stop Hypertension (DASH) diet. N Engl J Med 2001;344:3-10.
  • 22. Kant AK, Schatzkin A, Graubard BI, Schairer C. A prospective study of diet quality and mortality in women. JAMA 2000;283:2109-2115.
  • 23. Kesse-Guyot E, Ahluwalia N, Lassale C, Hercberg S, Fezeu L, Lairon D. Adherence to Mediterranean diet reduces the risk of metabolic syndrome: a 6-year prospective study. Nutr Metab Cardiovasc Dis 2013;23:677-683.
  • 24. Pimenta AM, Toledo E, Rodriguez-Diez MC, Gea A, Lopez-Iracheta R, Shivappa N, Hébert JR, Martinez-Gonzalez MA. Dietary indexes, food patterns and incidence of metabolic syndrome in a Mediterranean cohort: the SUN project. Clin Nutr 2015;34:508-514.
  • 25. Hosseini Z, Whiting SJ, Vatanparast H. Current evidence on the association of the metabolic syndrome and dietary patterns in a global perspective. Nutr Res Rev 2016;29:152-162.

Download Citation

Download a citation file in RIS format that can be imported by all major citation management software, including EndNote, ProCite, RefWorks, and Reference Manager.

Format:

Include:

Association between Total Diet Quality and Metabolic Syndrome Incidence Risk in a Prospective Cohort of Korean Adults
Clin Nutr Res. 2019;8(1):46-54.   Published online January 29, 2019
Download Citation

Download a citation file in RIS format that can be imported by all major citation management software, including EndNote, ProCite, RefWorks, and Reference Manager.

Format:
Include:
Association between Total Diet Quality and Metabolic Syndrome Incidence Risk in a Prospective Cohort of Korean Adults
Clin Nutr Res. 2019;8(1):46-54.   Published online January 29, 2019
Close
Association between Total Diet Quality and Metabolic Syndrome Incidence Risk in a Prospective Cohort of Korean Adults
Association between Total Diet Quality and Metabolic Syndrome Incidence Risk in a Prospective Cohort of Korean Adults
Table 1 Overview of diet quality component and scoring scheme of MDS, DASH and RFS in this study

MDS, Mediterranean Diet Score; DASH, Dietary Approaches to Stop Hypertension; RFS, Recommended Food Score.

Table 2 General characteristics of the subjects at baseline

Values are expressed as mean ± standard deviation or number (%).

NS, not significant; MET, metabolic equivalent.

*p < 0.001 by χ2 test or independent t-test.

Table 3 Food group intakes for selected quintiles of diet quality index scores in men

Values are expressed as mean ± standard deviation.

MDS, Mediterranean Diet Score; DASH, Dietary Approaches to Stop Hypertension; RFS, Recommended Food Score; SSB, sugar-sweetened beverage.

*Quintile of diet quality index score (a higher quintile indicates better diet quality); p < 0.001 by generalized linear model adjusted for age(year) and energy intake(kcal/day).

Table 4 Food group intakes for selected quintiles of diet quality index scores in women

Values are expressed as mean ± standard deviation.

MDS, Mediterranean Diet Score; DASH, Dietary Approaches to Stop Hypertension; RFS, Recommended Food Score; SSB, sugar-sweetened beverage.

*Quintile of diet quality index score (a higher quintile indicates better diet quality); p < 0.01, p < 0.001 by generalized linear model adjusted for age(year) and energy intake(kcal/day).

Table 5 Incidence risk of metabolic syndrome across quintiles of diet quality index scores in men

MDS, Mediterranean Diet Score; DASH, Dietary Approaches to Stop Hypertension; RFS, Recommended Food Score; HR, hazard ratio; CI, confidence interval; NS, not significant; MET, metabolic equivalent.

*Quintile of diet quality index score (a higher quintile indicates better diet quality); Model 1 adjusted for age (year) and total energy intake (kcal/day); Model 2 adjusted for age (year), total energy intake (kcal/day), income level (< 1; ≥ 1 and < 2; ≥ 2 and < 4; ≥ 4, million Korean won), education level (elementary school graduate or less; middle school; high school; college graduate or more), physical activity (METs), smoking (pack-years), drinking (total alcohol intake, g/day); §p for trend < 0.01 by Cox proportional hazards regression analysis.

Table 6 Incidence risk of metabolic syndrome across quintiles of diet quality index scores in women

MDS, Mediterranean Diet Score; DASH, Dietary Approaches to Stop Hypertension; RFS, Recommended Food Score; HR, hazard ratio; CI, confidence interval; NS, not significant; MET, metabolic equivalent.

*Quintile of diet quality index score (a higher quintile indicates better diet quality); Model 1 adjusted for age (year) and total energy intake (kcal/day); Model 2 adjusted for age (year), total energy intake (kcal/day), income level (< 1; ≥ 1 and < 2; ≥ 2 and < 4; ≥ 4, million Korean won), education level (elementary school graduate or less; middle school; high school; college graduate or more), physical activity (METs), smoking (pack-years), drinking (total alcohol intake, g/day); §p for trend < 0.01 by Cox proportional hazards regression analysis.