Skip to main navigation Skip to main content
  • KSCN
  • E-Submission

CNR : Clinical Nutrition Research

OPEN ACCESS
ABOUT
BROWSE ARTICLES
EDITORIAL POLICIES
FOR CONTRIBUTORS

Page Path

  • HOME
  • BROWSE ARTICLES
  • Previous issues
8
results for

Previous issues

Article category

Keywords

Authors

Previous issues

Prev issue Next issue

Volume 5(1); January 2016

Review Article

[English]
Low Salt Diet and Insulin Resistance
Hyunwoo Oh, Hyo Young Lee, Dae Won Jun, Seung Min Lee
Clin Nutr Res 2016;5(1):1-6.   Published online January 29, 2016
DOI: https://doi.org/10.7762/cnr.2016.5.1.1

It is well known that high sodium intake is closely associated with the risk of cardiovascular disease, but the effect of low sodium intake on insulin resistance is not clear. In this article, we summarize findings from previous studies focusing on the association between low sodium intake and insulin resistance. While many investigations on this topic have been conducted actively, their major findings are inconsistent, partly due to different study designs. Thus, additional randomized controlled trials with an adequate study period and reasonable levels of low sodium intake are needed.

Citations

Citations to this article as recorded by  
  • Assessing the impact of sodium intake on kidney function deterioration and proteinuria in the general population: A prospective cohort study
    Chan Young Park, Jong Hoon Seok, Seung Yoon Lee, Ji Eun Kim, Denise Mafra
    PLOS One.2025; 20(8): e0330342.     CrossRef
  • Dietary and lifestyle patterns identified through reduced rank regression and their association with insulin-related disorders: a prospective analysis from the Tehran Lipid and Glucose Study
    Ebrahim Mokhtari, Hossein Farhadnejad, Farshad Teymoori, Mitra Kazemi Jahromi, Mehrnaz Nikkhah, Parvin Mirmiran, Fereidoun Azizi
    BMC Nutrition.2025;[Epub]     CrossRef
  • The relationship between excess sodium intake and metabolic syndrome: Worth consideration?
    Baris Afsar, Rengin Elsurer Afsar, Said Mowaffaq, Geetha Maddukuri, Krista L. Lentine
    European Journal of Clinical Investigation.2025;[Epub]     CrossRef
  • Nutritional intake of micronutrient and macronutrient and type 2 diabetes: machine learning schemes
    Mohammad Rashidmayvan, Amin Mansoori, Elahe Derakhshan-Nezhad, Davoud Tanbakuchi, Fatemeh Sangin, Maryam Mohammadi-Bajgiran, Malihehsadat Abedsaeidi, Sara Ghazizadeh, MohammadReza Mohammad Taghizadeh Sarabi, Ali Rezaee, Gordon Ferns, Habibollah Esmaily, M
    Journal of Health, Population and Nutrition.2025;[Epub]     CrossRef
  • Gochujang Consumption Prevents Metabolic Syndrome in a High-Fat Diet Induced Obese Mouse Model
    Olivet Chiamaka Edward, Eun Ji Lee, Anna Han, Eun-Gyung Mun, Hee-Jong Yang, Jin-Won Kim, Youn-Soo Cha
    Journal of Medicinal Food.2023; 26(4): 244.     CrossRef
  • Dietary Sodium and Nonalcoholic Fatty Liver Disease: A Systematic Review
    Guilherme da Silva Ferreira, Sergio Catanozi, Marisa Passarelli
    Antioxidants.2023; 12(3): 599.     CrossRef
  • Inverse association of daily fermented soybean paste (“Jang”) intake with metabolic syndrome risk, especially body fat and hypertension, in men of a large hospital-based cohort
    Su-Ji Jeong, Hee-Jong Yang, Hee Gun Yang, Myeong Seon Ryu, Gwangsu Ha, Do Yeon Jeong, Sunmin Park
    Frontiers in Nutrition.2023;[Epub]     CrossRef
  • Effects of dietary salt intake restriction on blood glucose levels: a meta-analysis of crossover study
    Yong Shen, Yujie Shi, Jiajing Cui, Haitao He, Shuping Ren
    Nutrition Research and Practice.2023; 17(3): 387.     CrossRef
  • Association of Glycemic Control With Different Diets Followed by Patients With Type 2 Diabetes: Findings From Qatar Biobank Data
    Reema Tayyem, Aya Hamdan, Karmen Alhmmadi, Yasmin Eissa, Maryam Al-Adwi, Zinab Al-Haswsa, Hiba Bawadi, Zumin Shi
    Frontiers in Nutrition.2022;[Epub]     CrossRef
  • Effects of Sodium Intake on Health and Performance in Endurance and Ultra-Endurance Sports
    Eleftherios Veniamakis, Georgios Kaplanis, Panagiotis Voulgaris, Pantelis T. Nikolaidis
    International Journal of Environmental Research and Public Health.2022; 19(6): 3651.     CrossRef
  • Influence of Dietary Salt Intake on T2D Treatment
    Li Li, Yuwei Mi, Miao Xu, Liemin Ruan, Jie Sun, Qifa Song
    Frontiers in Endocrinology.2022;[Epub]     CrossRef
  • Effects of sea salt intake on metabolites, steroid hormones, and gut microbiota in rats
    Saoraya Chanmuang, Bo-Min Kim, Su-Yeon Gu, Ye-Jin Son, Huong-Giang Le, Young-Do Nam, Eun-Ji Song, Kyung-Sik Ham, Hyun-Jin Kim, Nobuyuki Takahashi
    PLOS ONE.2022; 17(8): e0269014.     CrossRef
  • Development and validation of dietary and lifestyle insulinemic indices among Iranian adult population
    Ebrahim Mokhtari, Farshad Teymoori, Hossein Farhadnejad, Parvin Mirmiran, Fereidoun Azizi
    Nutrition & Metabolism.2022;[Epub]     CrossRef
  • Natural sea salt in diet ameliorates better protection compared to table salt in the doxorubicin-induced cardiac remodeling
    Firoz Anwar, Turky Omar Asar, Fahad A. Al-Abassi, Vikas Kumar, Sultan Alhayyani
    Journal of Taibah University for Science.2022; 16(1): 1213.     CrossRef
  • Aerobic Exercise Training Prevents Insulin Resistance and Hepatic Lipid Accumulation in LDL Receptor Knockout Mice Chronically Fed a Low-Sodium Diet
    Guilherme da Silva Ferreira, Ana Paula Garcia Bochi, Paula Ramos Pinto, Vanessa Del Bianco, Letícia Gomes Rodrigues, Mychel Raony Paiva Teixeira Morais, Edna Regina Nakandakare, Ubiratan Fabres Machado, Sergio Catanozi, Marisa Passarelli
    Nutrients.2021; 13(7): 2174.     CrossRef
  • Impact of Sociodemographic Characteristics, Lifestyle, and Obesity on Coexistence of Diabetes and Hypertension: A Structural Equation Model Analysis amongst Chinese Adults
    Wenwen Wu, Jie Diao, Jinru Yang, Donghan Sun, Ying Wang, Ziling Ni, Fen Yang, Xiaodong Tan, Ling Li, Li Li, Lanfranco D Elia
    International Journal of Hypertension.2021; 2021: 1.     CrossRef
  • High Dietary Sodium Intake is Associated with Shorter Event-Free Survival in Patients with Heart Failure and Comorbid Diabetes
    Zyad T. Saleh, Terry A. Lennie, Abdullah S. Alhurani, Issa M. Almansour, Hamza Alduraidi, Debra K. Moser
    Clinical Nursing Research.2021; 30(2): 154.     CrossRef
  • Dietary Sodium Intake and Health Indicators: A Systematic Review of Published Literature between January 2015 and December 2019
    Katherine J Overwyk, Zerleen S Quader, Joyce Maalouf, Marlana Bates, Jacqui Webster, Mary G George, Robert K Merritt, Mary E Cogswell
    Advances in Nutrition.2020; 11(5): 1174.     CrossRef
  • Long-term low salt diet increases blood pressure by activation of the renin-angiotensin and sympathetic nervous systems
    Jialiang Wang, Yi Deng, Xue Zou, Hao Luo, Pedro A. Jose, Chunjiang Fu, Jian Yang, Chunyu Zeng
    Clinical and Experimental Hypertension.2019; 41(8): 739.     CrossRef
  • Effects of a mobile healthcare service provided by public health centers on practicing of health behaviors and health risk factors
    Tae-Yon Kim, Yun-Su Lee, Eun-Jung Yu, Min-Su Kim, Sun-Young Yang, Yang-Im Hur, Jae-Heon Kang
    Nutrition Research and Practice.2019; 13(6): 509.     CrossRef
  • Salts and energy balance: A special role for dietary salts in metabolic syndrome
    Christopher W. Brey, Safoura Akbari-Alavijeh, Jun Ling, Jordan Sheagley, Bilal Shaikh, Futwan Al-Mohanna, Yi Wang, Randy Gaugler, Sarwar Hashmi
    Clinical Nutrition.2019; 38(5): 1971.     CrossRef
  • Powerful diuretics: A common denominator in landmark hypertension and type 2 diabetes mellitus trials
    Kaberi Dasgupta, Ruth Sapir‐Pichhadze, Nadia Khan
    The Journal of Clinical Hypertension.2018; 20(1): 136.     CrossRef
  • The relationship between diabetic risk factors, diabetic complications and salt intake
    Shuang Han, Daolin Cheng, Nianjiao Liu, Hongyu Kuang
    Journal of Diabetes and its Complications.2018; 32(5): 531.     CrossRef
  • Sodium excretion and health-related quality of life: the results from the Korea National Health and Nutrition Examination Survey 2010–2011
    Hye Min Choi, Kyu-Beck Lee, Hyang Kim, Young Youl Hyun
    European Journal of Clinical Nutrition.2018; 72(11): 1490.     CrossRef
  • Low salt and low calorie diet does not reduce more body fat than same calorie diet: a randomized controlled study
    Hye Jin Kang, Dae Won Jun, Seung Min Lee, Eun Chul Jang, Yong Kyun Cho
    Oncotarget.2018; 9(9): 8521.     CrossRef
  • The association between dietary sodium intake and adiposity, inflammation, and hormone markers: A preliminary study
    Jeong-Hwa Choi, Young-Ran Heo
    Journal of Nutrition and Health.2017; 50(6): 578.     CrossRef
  • 18 View
  • 0 Download
  • 26 Crossref

Original Articles

[English]

Folate, vitamin B12, and homocysteine (HCY) are involved in the metabolism of nucleic acid precursors and it has been hypothesized that they also influence telomere length, a biomarker of aging. However, previous studies have reported inconsistent findings, and data for older adults are limited. Our study aimed to evaluate associations between leukocyte telomere length (LTL) and serum folate, vitamin B12, and HCY levels among adults aged 55 years and over. In a cross-sectional study in 798 men and women aged 55-79 years, serum folate, vitamin B12, and HCY levels were measured using chemiluminescent immunometric assays, and relative LTL was assessed using quantitative real-time polymerase chain reaction. To evaluate associations between LTL and serum folate, vitamin B12, and HCY levels, multiple linear regression models were used. In multiple models adjusted for age, sex, serum high sensitive C-reactive protein (hs-CRP) levels, and other potential confounding factors, we found no association between LTL and serum folate, vitamin B12, and HCY levels. However, we did find a significant inverse association between HCY levels and LTL in participants with serum hs-CRP levels of ≥ 2 mg/L (p < 0.05). Moreover, there was a trend toward an association between HCY and vitamin B12 levels in these individuals (p = 0.08). In those with serum hs-CRP levels of < 2 mg/L, HCY was inversely associated with vitamin B12 levels (p < 0.001) and had no association with LTL. Our findings suggest that increased serum HCY levels, when combined with the presence of systemic inflammation, may play a role in accelerating biological aging.

Citations

Citations to this article as recorded by  
  • Homocysteine‐potentiated Kelch‐like ECH‐associated protein 1 promotes senescence of neuroblastoma 2a cells via inhibiting ubiquitination of β‐catenin
    Yao Zhang, Jia‐Zhao Xie, Yan‐Li Jiang, Shao‐Juan Yang, Hui Wei, Ying Yang, Jian‐Zhi Wang
    European Journal of Neuroscience.2024; 59(10): 2732.     CrossRef
  • The Impact of the Mediterranean Diet on Telomere Biology: Implications for Disease Management—A Narrative Review
    Stella Baliou, Petros Ioannou, Miruna-Maria Apetroaei, Elena Vakonaki, Persefoni Fragkiadaki, Evangelos Kirithras, Manolis N. Tzatzarakis, Andreea Letitia Arsene, Anca Oana Docea, Aristides Tsatsakis
    Nutrients.2024; 16(15): 2525.     CrossRef
  • Decreased cobalamin sensitivity and biological aging acceleration in the general population
    Fan Tang, Hongbin Qiu, Yan Liu, Junchen Guo, Zheming Huang, Shaohong Fang, Yiying Zhang, Shanjie Wang
    The Journal of nutrition, health and aging.2024; 28(7): 100262.     CrossRef
  • Multiomics: Functional Molecular Biomarkers of Micronutrients for Public Health Application
    Lindsay H. Allen, Michael Fenech, Marcia A. LeVatte, Keith P. West, David S. Wishart
    Annual Review of Nutrition .2024; 44(1): 125.     CrossRef
  • Tenebrio molitor (Mealworm) protein as a sustainable dietary strategy to improve health span in D-galactose-induced aged mice
    Siddaraju Anusha, Pradeep Singh Negi
    International Journal of Biological Macromolecules.2024; 281: 136610.     CrossRef
  • Telomeres as dynamic structures of human genome: the effect of endogenous and exogenous factors
    Mikhail I. Krapivin, Yanina M. Sagurova, Olga A. Efimova, Andrey V. Tikhonov, Anna A. Pendina
    Ecological genetics.2022; 20(2): 111.     CrossRef
  • The Controversial Role of HCY and Vitamin B Deficiency in Cardiovascular Diseases
    Wolfgang Herrmann, Markus Herrmann
    Nutrients.2022; 14(7): 1412.     CrossRef
  • Effects of dietary interventions on telomere dynamics
    Gavin Yong-Quan Ng, Varsha Hande, Min Hui Ong, Beverly Wen-Xin Wong, Zachary Wai-Loon Loh, Wei D. Ho, Lionel B. Handison, Ian Ming-Sheng P. Tan, David Y. Fann, Thiruma V. Arumugam, M. Prakash Hande
    Mutation Research/Genetic Toxicology and Environmental Mutagenesis.2022; 876-877: 503472.     CrossRef
  • Anti-aging protein klotho was associated with vitamin B12 concentration in adults
    Ju-Young Choi, Jin-Young Min, Kyoung-Bok Min
    Medicine.2022; 101(40): e30710.     CrossRef
  • Clinical markers and some trace elements in patients with type-2 diabetic nephropathy : Impact of insulin resistance
    Adnan Jassim Mohammed Al-Fartosy, Nadhum Abdulnabi Awad, Sadoun Abbas Alsalimi
    The Journal of Medical Investigation.2021; 68(1.2): 76.     CrossRef
  • Environmental pollutants exposure: A potential contributor for aging and age-related diseases
    Yaru Liu, Jiequan Wang, Zhaogang Huang, Jun Liang, Qingrong Xia, Quan Xia, Xinhua Liu
    Environmental Toxicology and Pharmacology.2021; 83: 103575.     CrossRef
  • Telomere length and mtDNA copy number in human cystathionine β-synthase deficiency
    Olga Utyro, Joanna Perła-Kaján, Jolanta Kubalska, Ałła Graban, Hieronim Jakubowski
    Free Radical Biology and Medicine.2020; 160: 219.     CrossRef
  • The Importance of Telomere Shortening for Atherosclerosis and Mortality
    Wolfgang Herrmann, Markus Herrmann
    Journal of Cardiovascular Development and Disease.2020; 7(3): 29.     CrossRef
  • Micronutrient status and leukocyte telomere length in school-age Colombian children
    Kerry S. Flannagan, Alison A. Bowman, Mercedes Mora-Plazas, Constanza Marín, Katie M. Rentschler, Laura S. Rozek, Eduardo Villamor
    European Journal of Nutrition.2020; 59(3): 1055.     CrossRef
  • Impact of Nutrition on Telomere Health: Systematic Review of Observational Cohort Studies and Randomized Clinical Trials
    Serena Galiè, Silvia Canudas, Jananee Muralidharan, Jesús García-Gavilán, Mònica Bulló, Jordi Salas-Salvadó
    Advances in Nutrition.2020; 11(3): 576.     CrossRef
  • Placental Telomere Length: Linking Maternal Nutrition to Transgenerational Healthy Aging?
    Wen-Hsing Cheng
    The Journal of Nutrition.2020; 150(10): 2619.     CrossRef
  • Preconception telomere length as a novel maternal biomarker to assess the risk of spina bifida in the offspring
    Damiat Aoulad Fares, Sarah Schalekamp‐Timmermans, Tim S. Nawrot, Régine P. M. Steegers‐Theunissen
    Birth Defects Research.2020; 112(9): 645.     CrossRef
  • Subclinical inflammation, telomere shortening, homocysteine, vitamin B6, and mortality: the Ludwigshafen Risk and Cardiovascular Health Study
    Irene Pusceddu, Wolfgang Herrmann, Marcus E. Kleber, Hubert Scharnagl, Michael M. Hoffmann, Brigitte M. Winklhofer-Roob, Winfried März, Markus Herrmann
    European Journal of Nutrition.2020; 59(4): 1399.     CrossRef
  • Serum and Dietary Folate and Vitamin B12 Levels Account for Differences in Cellular Aging: Evidence Based on Telomere Findings in 5581 U.S. Adults
    Larry A. Tucker
    Oxidative Medicine and Cellular Longevity.2019; 2019: 1.     CrossRef
  • The telomere length of peripheral blood cells is associated with the risk of ischemic stroke in Han population of northern China
    Jianhao Xiao, Qian Yuan, Simiao Zhang, Xiaodong Li, Hongying Bai, Yunliang Wang, Shiwei Duan
    Medicine.2019; 98(7): e14593.     CrossRef
  • Telomere length, vitamin B12 and mortality in persons undergoing coronary angiography: the Ludwigshafen risk and cardiovascular health study
    Irene Pusceddu, Wolfgang Herrmann, Marcus E. Kleber, Hubert Scharnagl, Winfried März, Markus Herrmann
    Aging.2019; 11(17): 7083.     CrossRef
  • Serum lipophilic antioxidants levels are associated with leucocyte telomere length among US adults
    Mohsen Mazidi, Andre Pascal Kengne, L. J. Cheskin, Maciej Banach
    Lipids in Health and Disease.2018;[Epub]     CrossRef
  • Serum Folate, Vitamin B-12, Vitamin A, γ-Tocopherol, α-Tocopherol, and Carotenoids Do Not Modify Associations between Cadmium Exposure and Leukocyte Telomere Length in the General US Adult Population
    Sarah JO Nomura, Kim Robien, Ami R Zota
    The Journal of Nutrition.2017; 147(4): 538.     CrossRef
  • Shorter telomere length in people with schizophrenia: A preliminary study from Australia
    Cherrie Galletly, Varinderpal S. Dhillon, Dennis Liu, Ryan P. Balzan, Lisa A. Hahn, Michael F. Fenech
    Schizophrenia Research.2017; 190: 46.     CrossRef
  • Application of adaptive neuro-fuzzy inference systems (ANFIS) to delineate estradiol, glutathione and homocysteine interactions
    Iyyapu Krishna Mohan, Siraj Ahmed Khan, Rachel Jacob, Nooguri Sushma Chander, Tajamul Hussain, Salman A. Alrokayan, Akella Radha Rama Devi, Shaik Mohammad Naushad
    Clinical Nutrition ESPEN.2017; 20: 41.     CrossRef
  • Telomere shortening during aging: Attenuation by antioxidants and anti-inflammatory agents
    Kedar N. Prasad, Meixia Wu, Stephen C. Bondy
    Mechanisms of Ageing and Development.2017; 164: 61.     CrossRef
  • Oxidative Stress-induced Telomere Length Shortening of Circulating Leukocyte in Patients with Obstructive Sleep Apnea
    Kyung Soo Kim, Jin Wook Kwak, Su Jin Lim, Yong Kyun Park, Hoon Shik Yang, Hyun Jik Kim
    Aging and disease.2016; 7(5): 604.     CrossRef
  • The relationship between peripheral blood mononuclear cells telomere length and diet - unexpected effect of red meat
    Marek Kasielski, Makandjou-Ola Eusebio, Mirosława Pietruczuk, Dariusz Nowak
    Nutrition Journal.2015;[Epub]     CrossRef
  • 98 View
  • 1 Download
  • 28 Crossref
[English]
Association of Maternal Diet With Zinc, Copper, and Iron Concentrations in Transitional Human Milk Produced by Korean Mothers
Yun Kyung Choi, Ji-Myung Kim, Ji-Eun Lee, Mi Sook Cho, Bong Soo Kang, Hyeon Choi, Yuri Kim
Clin Nutr Res 2016;5(1):15-25.   Published online January 29, 2016
DOI: https://doi.org/10.7762/cnr.2016.5.1.15

The aims of this study were to evaluate zinc, copper, and iron concentrations in the transitory milk of Korean lactating mothers and to investigate the relationship between these concentrations and maternal diet. Human milk samples were collected between 5 and 15 days postpartum from 96 healthy, lactating mothers in postpartum care centers in Seoul, Korea. Dietary intake during lactation was determined based on a 3-day dietary record. The mean zinc, copper, and iron concentrations in the human milk samples collected were 3.88 ± 1.74 mg/L, 0.69 ± 0.25 mg/L, and 5.85 ± 8.53 mg/L, respectively. The mothers who consumed alcoholic beverages during pregnancy had tended to have lower concentrations of zinc and copper, as well as significantly lower concentrations of iron, in their milk (p < 0.047). In contrast, the mothers who took daily supplements had much higher iron concentrations in their milk (p = 0.002). Dietary intakes of zinc, copper, and iron during lactation did not affect the concentrations of zinc, copper, and iron in the milk samples analyzed. Intakes of vitamin C, selenium, and iodine were associated with the concentration of copper in the milk samples analyzed, and consumption of food categorized as 'meat and meat products' was positively associated with the concentration of zinc. Consumption of rice was the top contributor to the concentrations of all three minerals. In conclusion, associations between maternal diet and nutrient concentrations in transitory human milk can provide useful information, particularly in regard to infant growth.

Citations

Citations to this article as recorded by  
  • Evaluating Heavy Metals in Human Breast Milk: a Cross-Sectional Study from Mining and Agricultural Areas in Northwestern Iran
    Mostafa Sobhanikia, Leila Nikniaz, Mohammad Shakerkhatibi, Abdorreza Vaezi hir, Neda Gilani, Mohammad Mosaferi
    Biological Trace Element Research.2025; 203(3): 1269.     CrossRef
  • Evaluating the relationship between the nutrient intake of lactating women and their breast milk nutritional profile: a systematic review and narrative synthesis
    Coralie Falize, M. Savage, Yvonne M. Jeanes, Simon C. Dyall
    British Journal of Nutrition.2024; 131(7): 1196.     CrossRef
  • Breastmilk mineral composition among well-educated mothers from Central Poland – Associations with maternal dietary intake, dietary patterns and infant psychomotor development
    Monika A. Zielinska-Pukos, Magdalena Michalska-Kacymirow, Eliza Kurek, Ewa Bulska, Iwona Grabowicz-Chądrzyńska, Aleksandra Wesołowska, Jadwiga Hamulka
    Journal of Trace Elements in Medicine and Biology.2024; 83: 127393.     CrossRef
  • Unveiling the mystique of Kulisam (Amulet) with scientific insight
    Kayathri Ramasamy, Sarojini Ulaganathan, Geetha Devi Sengottaiyan
    Journal of Research in Siddha Medicine.2024; 7(1): 1.     CrossRef
  • Phenanthroline and Schiff Base associated Cu(II)-coordinated compounds containing N, O as donor atoms for potent anticancer activity
    Richa, Vinod Kumar, Ramesh Kataria
    Journal of Inorganic Biochemistry.2024; 251: 112440.     CrossRef
  • The effect of foot reflexology on the volume and composition of breast milk in mothers of premature infants hospitalized in the neonatal intensive care unit: a randomized controlled trial
    Fateme Norouzi Nodehi, Parvin Aziznejadroshan, Hossein-Ali Nikbakht, Mohsen Haqshanas, Sohrab Halakhor
    BMC Pediatrics.2024;[Epub]     CrossRef
  • Regenerative Potential of Human Breast Milk: A Natural Reservoir of Nutrients, Bioactive Components and Stem cells
    Pooja Kumari, Aayushi Raval, Pranav Rana, Sanjeev Kumar Mahto
    Stem Cell Reviews and Reports.2023; 19(5): 1307.     CrossRef
  • Mothers’ Breast Milk Composition and Their Respective Infant’s Gut Microbiota Differ between Five Distinct Rural and Urban Regions in Vietnam
    Guus A. M. Kortman, Harro M. Timmerman, Anne Schaafsma, Eline Stoutjesdijk, Frits A. J. Muskiet, Nguyen V. Nhien, Els van Hoffen, Jos Boekhorst, Arjen Nauta
    Nutrients.2023; 15(22): 4802.     CrossRef
  • Epigenetic Effects of Healthy Foods and Lifestyle Habits from the Southern European Atlantic Diet Pattern: A Narrative Review
    Paula M Lorenzo, Andrea G Izquierdo, Gemma Rodriguez-Carnero, Antía Fernández-Pombo, Alba Iglesias, Marcos C Carreira, Cristina Tejera, Diego Bellido, Miguel A Martinez-Olmos, Rosaura Leis, Felipe F Casanueva, Ana B Crujeiras
    Advances in Nutrition.2022; 13(5): 1725.     CrossRef
  • The Gut‒Breast Axis: Programming Health for Life
    Juan M. Rodríguez, Leónides Fernández, Valerie Verhasselt
    Nutrients.2021; 13(2): 606.     CrossRef
  • Human milk composition promotes optimal infant growth, development and health
    Sharon Perrella, Zoya Gridneva, Ching Tat Lai, Lisa Stinson, Alexandra George, Sabrina Bilston-John, Donna Geddes
    Seminars in Perinatology.2021; 45(2): 151380.     CrossRef
  • The Triad Mother-Breast Milk-Infant as Predictor of Future Health: A Narrative Review
    Elvira Verduci, Maria Lorella Giannì, Giulia Vizzari, Sara Vizzuso, Jacopo Cerasani, Fabio Mosca, Gian Vincenzo Zuccotti
    Nutrients.2021; 13(2): 486.     CrossRef
  • Dietary Intake of Breastfeeding Mothers in Developed Countries: A Systematic Review and Results of the MEDIDIET Study
    Matteo Di Maso, Simone R B M Eussen, Francesca Bravi, Guido E Moro, Carlo Agostoni, Paola Tonetto, Pasqua A Quitadamo, Guglielmo Salvatori, Claudio Profeti, Iwona Kazmierska, Elisabetta Vacca, Adriano Decarli, Bernd Stahl, Enrico Bertino, Monica Ferraroni
    The Journal of Nutrition.2021; 151(11): 3459.     CrossRef
  • Review of Preterm Human‐Milk Nutrient Composition
    Amy Gates, Terri Marin, Gianluca De Leo, Brian K. Stansfield
    Nutrition in Clinical Practice.2021; 36(6): 1163.     CrossRef
  • Investigation of Iron and Zinc Concentrations in Human Milk in Correlation to Maternal Factors: An Observational Pilot Study in Poland
    Agnieszka Bzikowska-Jura, Piotr Sobieraj, Magdalena Michalska-Kacymirow, Aleksandra Wesołowska
    Nutrients.2021; 13(2): 303.     CrossRef
  • Influence of vitamin and mineral complexes on the composition of breast milk
    S. V. Orlova, E. A. Nikitina, E. V. Prokopenko, A. N. Vodolazskaya
    Medical alphabet.2021; 1(11): 40.     CrossRef
  • Dietary Intake and Milk Micronutrient Levels in Lactating Women with Full and Partial Breastfeeding
    Oraporn Dumrongwongsiri, Nalinee Chongviriyaphan, Suthida Chatvutinun, Phanphen Phoonlabdacha, Areeporn Sangcakul, Atitaya Siripinyanond, Umaporn Suthutvoravut
    Maternal and Child Health Journal.2021; 25(6): 991.     CrossRef
  • Optimization of the micronutrients sufficiency of feeding women and children on exclusively breastfeeding by enriching of the woman diet
    Vera M. Kodentsova, Dmitry V. Risnik, Stanislav V. Pavlovich, Olga B. Ladodo
    Gynecology.2021; 23(3): 222.     CrossRef
  • The association of maternal plant-based diets and the growth of breastfed infants
    Elnaz Daneshzad, Maedeh Moradi, Mohammad R Maracy, Neil R. Brett, Nick Bellissimo, Leila Azadbakht
    Health Promotion Perspectives.2020; 10(2): 152.     CrossRef
  • Dietary patterns and their association with breast milk macronutrient composition among lactating women
    Zhi Huang, Yu-ming Hu
    International Breastfeeding Journal.2020;[Epub]     CrossRef
  • Review of the nature of some geophagic materials and their potential health effects on pregnant women: some examples from Africa
    Selma N. Kambunga, Carla Candeias, Israel Hasheela, Hassina Mouri
    Environmental Geochemistry and Health.2019; 41(6): 2949.     CrossRef
  • The pattern of serum zinc and its contributing factors among third trimester pregnant women in Urmia, Iran, 2018
    Masoomeh Gholizadeh, Saeid Ghavamzadeh, Hamid Reza Khalkhali, Ali Sadaghianifar
    Nutrition & Food Science .2019; 50(3): 601.     CrossRef
  • Analysis of aluminum, minerals and trace elements in the milk samples from lactating mothers in Hamadan, Iran
    Masoumeh Taravati Javad, Aliasghar Vahidinia, Fateme Samiee, Jomana Elaridi, Mostafa Leili, Javad Faradmal, Alireza Rahmani
    Journal of Trace Elements in Medicine and Biology.2018; 50: 8.     CrossRef
  • Copper Metabolism of Newborns Is Adapted to Milk Ceruloplasmin as a Nutritive Source of Copper: Overview of the Current Data
    Ludmila V. Puchkova, Polina S. Babich, Yulia A. Zatulovskaia, Ekaterina Y. Ilyechova, Francesca Di Sole
    Nutrients.2018; 10(11): 1591.     CrossRef
  • Sialic acid and iron content in breastmilk of Chinese lactating women
    Hong-Jiao Wang, Chun-Zhen Hua, Li-Li Ruan, Li-Quan Hong, Shao-Qin Sheng, Shi-Qiang Shang
    Indian Pediatrics.2017; 54(12): 1029.     CrossRef
  • Macro- and Micronutrients of Human Milk Composition: Are They Related to Maternal Diet? A Comprehensive Systematic Review
    Mojtaba Keikha, Maryam Bahreynian, Mohammad Saleki, Roya Kelishadi
    Breastfeeding Medicine.2017; 12(9): 517.     CrossRef
  • Retinol, α-tocopherol, and selected minerals in breast milk of lactating women with full-term infants in South Korea
    Hyesook Kim, Byung-Mun Jung, Bum-Noh Lee, Yun-Je Kim, Ji A Jung, Namsoo Chang
    Nutrition Research and Practice.2017; 11(1): 64.     CrossRef
  • 5 View
  • 0 Download
  • 27 Crossref
[English]
Effect of A One-Week Balanced Diet on Expression of Genes Related to Zinc Metabolism and Inflammation in Type 2 Diabetic Patients
Lucia Leite Lais, Sancha Helena de Lima Vale, Camila Alves Xavier, Alfredo de Araujo Silva, Tolunay Beker Aydemir, Robert J Cousins
Clin Nutr Res 2016;5(1):26-32.   Published online January 29, 2016
DOI: https://doi.org/10.7762/cnr.2016.5.1.26

To evaluate the effect of diet on metabolic control and zinc metabolism in patients with type 2 diabetes mellitus (T2DM). One-week balanced diet was provided to 10 Brazilians patients with T2DM. Nutritional assessment, laboratorial parameters and expression of zinc transporter and inflammatory genes in peripheral blood mononuclear cells (PBMC) were performed. Healthy non-diabetic subjects of the same demographic were recruited to provide baseline data. Diabetic patients had higher body mass index and greater fasting plasma glucose, plasma tumor necrosis factor α (TNFα) and plasma interleukin 6 (IL6) levels compared with healthy subjects. In addition, the expression of transporters 4 (ZnT4) mRNA was lower and IL6 mRNA was higher in PBMC of these diabetic patients than in healthy subject. One week after a balanced diet was provided, fasting plasma glucose decreased significantly as did TNFα, IL6 and Metallothionein 1 (MT1) mRNAs. No change was observed in zinc transporter expression in PBMC after the dietary intervention. A healthy eating pattern maintained for one week was able to improve metabolic control of diabetic patients by lowering fasting plasma glucose. This metabolic control may be related to down-regulation of zinc-related transcripts from PBMCs, as TNFα, IL6 and MT1 mRNA.

Citations

Citations to this article as recorded by  
  • Zinc Ameliorates Inflammation and Sperm Parameters in Rats With Experimental Autoimmune Prostatitis
    Ziqi Chen, Jing Ma, Xiuqiao Yu, Xuan Liu, Shusong Wang, Zhenxian Wang
    The Prostate.2026; 86(2): 167.     CrossRef
  • Proteomics analysis in rats reveals convergent mechanisms between major depressive disorder and dietary zinc deficiency
    Łukasz Gąsior, Bartłomiej Pochwat, Monika Zaręba-Kozioł, Jakub Włodarczyk, Andreas Martin Grabrucker, Bernadeta Szewczyk
    Pharmacological Reports.2025; 77(1): 145.     CrossRef
  • Obesity and the increased risk for COVID-19: mechanisms and nutritional management
    Ana Heloneida de Araújo Morais, Thais Sousa Passos, Sancha Helena de Lima Vale, Juliana Kelly da Silva Maia, Bruna Leal Lima Maciel
    Nutrition Research Reviews.2021; 34(2): 209.     CrossRef
  • Peripheral Blood Cells, a Transcriptomic Tool in Nutrigenomic and Obesity Studies: Current State of the Art
    Bàrbara Reynés, Teresa Priego, Margalida Cifre, Paula Oliver, Andreu Palou
    Comprehensive Reviews in Food Science and Food Safety.2018; 17(4): 1006.     CrossRef
  • Zinc supplementation reduces inflammation in ulcerative colitis patients by downregulating gene expression of Zn metalloproteins
    Nina Rosa Mello Soares, Mayara Storel Beserra de Moura, Flaviane Alves de Pinho, Tomas Magno Costa Silva, Susy Érika de Lima Barros, Amanda de Castro Amorim, Edivan Carvalho Vieira, José Machado Moita Neto, José Miguel Luz Parente, Maria do Socorro Pires
    PharmaNutrition.2018; 6(3): 119.     CrossRef
  • Zinc enhances the cellular energy supply to improve cell motility and restore impaired energetic metabolism in a toxic environment induced by OTA
    Xuan Yang, Haomiao Wang, Chuchu Huang, Xiaoyun He, Wentao Xu, Yunbo Luo, Kunlun Huang
    Scientific Reports.2017;[Epub]     CrossRef
  • 2 View
  • 0 Download
  • 6 Crossref
[English]
Fasting Glucose is a Useful Indicator for Cerebrovascular Risk in Non-Diabetic Koreans: Association With Oxidative Stress and Inflammation
Jae Hyang Lee, So Ra Yoon, Ga Yoon Na, Mira Jun, Mok-Ryeon Ahn, Jae-Kwan Cha, Oh Yoen Kim
Clin Nutr Res 2016;5(1):33-42.   Published online January 29, 2016
DOI: https://doi.org/10.7762/cnr.2016.5.1.33

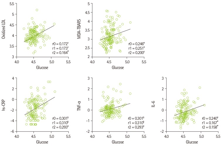
Diabetes and impaired fasting glucose are associated with incidence of cerebro-/cardio-vascular diseases. This study hypothesized that fasting glycemic status may reflect cerebrovascular risk in non-diabetic Koreans. Fasting glycemic status, lipid profiles, oxidative stress, and inflammation markers were measured in non-diabetic subjects (healthy controls, n = 112 and stroke n = 41). Systolic blood pressure, fasting glucose, glycated hemoglobin (HbA1C), triglycerides, high sensitivity C-reactive protein (hs-CPR), interleukin-6, and tumor necrosis factor-alpha were higher, and high density lipoprotein (HDL)-cholesterols were lower in patients with stroke than healthy controls. Fasting glucose positively correlated with hs-CRP, interleukin-6, tumor necrosis factor-alpha, oxidized low density lipoprotein (LDL) and malondialdehyde. The significances continued or at least turned to a trend after adjustments for confounding factors. Multiple regression analyses revealed that fasting glucose was mainly associated with cerebrovascular risk (β'-coefficient = 0.284, p < 0.0001) together with age, systolic blood pressure, total cholesterol, hs-CRP, body mass index, dietary poly unsaturated fatty acid/saturated fatty acid (PUFA/SFA), and HbA1C (r2 = 0.634, p = 0.044). The subjects were subdivided by their fasting glucose levels [normal fasting glucose: 70-99 mg/dL, n = 91 [NFG-control] and n = 27 [NFG-stroke]; higher fasting glucose: 100-125 mg/dL, n = 21 [HFG-control] and n = 14 [HFG-stroke]). In both controls and stroke patients, HFG groups show higher triglyceride, total- and LDL-cholesterol and lower HDL-cholesterol than NFG groups. Control-HFG group showed significantly higher levels of oxidative stress and inflammation than control-NFG group. Stroke-HFG group also showed significantly higher inflammatory levels than stroke-NFG group, moreover the highest among the groups. Additionally, stroke-NFG group consumed higher PUFA/SFA than stroke-HFG group. Fasting glucose may be a useful indicator for cerebrovascular risk in non-diabetic individuals which may be mediated by oxidative stress and inflammation status.

Citations

Citations to this article as recorded by  
  • Serum Wnt1-Inducible signalling pathway Protein-1 levels are associated with cerebral infarction in patients with type 2 diabetes mellitus
    Yan Zhu, Qionglei Fang, Yingyi Zhou, Wen Lu, Xuan Du, Bimin Shi
    Journal of Endocrinological Investigation.2025; 48(11): 2747.     CrossRef
  • Correlation Between Serum β2-GPI/oxLDL and the Risk of Cerebral Infarction in Patients with T2DM
    Wending Kuang, Yi Li, Gang Liu, Yang Zhang, Gang Chen, Bang Luo, Shuangyu Kuang
    Frontiers in Surgery.2022;[Epub]     CrossRef
  • Glycated Hemoglobin and Cancer Risk in Korean Adults: Results from Korean Genome and Epidemiology Study
    Ji Young Kim, Youn Sue Lee, Garam Jo, Min-Jeong Shin
    Clinical Nutrition Research.2018; 7(3): 170.     CrossRef
  • Oxidized LDL but not total LDL is associated with HbA1c in individuals without diabetes
    Débora Spessatto, Liz Marina Bueno dos Passos Brum, Joíza Lins Camargo
    Clinica Chimica Acta.2017; 471: 171.     CrossRef
  • 6 View
  • 0 Download
  • 4 Crossref
[English]
Nutritional Status and Body Composition in Korean Myopathy Patients
Soo Yun Jang, Seong-Woong Kang, Won Ah Choi, Jang Woo Lee, Mi Ri Suh, Song Mi Lee, Yoo Kyoung Park
Clin Nutr Res 2016;5(1):43-54.   Published online January 29, 2016
DOI: https://doi.org/10.7762/cnr.2016.5.1.43

In myopathy patients, fat mass increases as the disease progresses, while lean body mass decreases. The present study aimed to investigate the overall nutritional status of Korean myopathy patients through surveys of diet and dietary habits, bioelectrical impedance analysis (BIA), and biochemistry tests, as well as the examination of related factors, for the purpose of using such findings as a basis for improving the nutritional status in myopathy patients. The energy intake of all participants was found to be insufficient at only 44.5% of Dietary Reference Intakes for Koreans 2010 (KDRIs 2010), whereas protein intake was sufficient at 89.8% of KDRIs 2010. Dietary fiber intake was found to be 58.4% of sufficient dietary fiber intake for adults according to KDRIs 2010. Calcium intake was found to be 55.0% and magnesium was 14.9% of the recommended calcium and magnesium intake for adults according to KDRIs 2010. With respect to quality of life (QOL), overall increase in QOL domain score showed significant positive correlations with vegetable fat intake (p < 0.05), vegetable protein intake (p < 0.05), and dietary fiber intake (p < 0.05). With respect to BIA, the mean phage angle of all participants was found to be 2.49 ± 0.93°, which was below the cutoff value. As a study that examined nutrient analysis and dietary habits of myopathy patients in Korea, the present study is meaningful in providing the basic data for future studies that aim to present dietary guidelines for patients suffering from myopathy.

Citations

Citations to this article as recorded by  
  • Nutritional status of patients with nemaline myopathy and related congenital myopathies in Finland: A pilot study
    Vilma-Lotta Lehtokari, Minna Similä, Marianne Tammepuu, Pirjo Isohanni, Mari Auranen, Sinikka Hiekkala, Carina Wallgren-Pettersson, Sonja Strang-Karlsson
    Journal of Neuromuscular Diseases.2025; 12(1): 57.     CrossRef
  • Case Study 5: A 74-Year-Old Man With Dysphagia, Weakness, and Memory Loss
    Scott M. McGinnis, Ruth F. McCann, Viharkumar Patel, Christopher T. Doughty, Michael B. Miller, Seth A. Gale, David A. Silbersweig, Kirk R. Daffner
    The Journal of Neuropsychiatry and Clinical Neurosciences.2023; 35(3): 210.     CrossRef
  • Validity of Bioelectrical Impedance Analysis for Older Amputees with Leprosy
    Jihyun Lee, Seorin Doo, Yeonhee Lee, Jaeyoung Ahn, Yookyoung Park, Hyun Joo Shin, Jae-myeong Lee
    Surgical Metabolism and Nutrition.2021; 12(1): 7.     CrossRef
  • 4 View
  • 0 Download
  • 3 Crossref
[English]
Effect of Salivary Reaction Time on Flow Properties of Commercial Food Thickeners Used for Dysphagic Patients
Hwa-Young Lee, Seung-Ro Yoon, Whachun Yoo, Byoungseung Yoo
Clin Nutr Res 2016;5(1):55-59.   Published online January 29, 2016
DOI: https://doi.org/10.7762/cnr.2016.5.1.55

The effect of human saliva on the flow properties of pudding-like thickened water prepared with commercial food thickeners was investigated, and their viscosity differences were also compared as a function of salivary reaction time (0-60 min after the addition of saliva). Food thickeners used in this study were starch-based (SB), gum-containing starch-based (GSB), and gumbased (GB) commercial thickeners marketed in Korea. GB showed no significant reduction in viscosity upon contact with human saliva during the salivary reaction. In contrast, SB almost completely lost its viscosity shortly after the addition of saliva, and GSB significantly reduced its viscosity after 20 min of reaction time but retained its viscosity. The results of this study indicate that GB can enhance the swallowing safety of dysphagic patients by retaining a stable viscosity level without the reduction of viscosity during consumption of thickened fluids, whereas SB may increase the possibility of aspiration owing to a rapid decrease of viscosity upon contact with human saliva.

Citations

Citations to this article as recorded by  
  • How Thickener Type, Concentration, and Non-Standard Syringes Affect IDDSI Flow Test Evaluation of Thickened Plant-Based and Dairy Beverages
    Helayne Maieves, Gerson Teixeira, Lucélia Soares, Denise Gehling, Marielly Ewerling, Bruna Silva, María Sánchez-Mata, Patricia Morales
    Beverages.2025; 11(6): 159.     CrossRef
  • Salivary ⍺-Amylase Time-Effect on the Main Groups of Thickening Products Intended to Manage Patients with Oropharyngeal Dysphagia
    Adrian Nuñez-Lara, Alberto Solís, Irene Domínguez-López, Begoña Murga-Jambert, Pere Clave, Mireia Bolivar-Prados
    Foods.2025; 14(22): 3829.     CrossRef
  • Characterization of drum-dried thickeners for dysphagia-adapted liquid diets
    Pattra Wattanapan, Sirada Sungsinchai, Siriporn Tanjor, Suphan Yangyuen, Cherdpong Chiawchanwattana, Sakamon Devahastin, Chalida Niamnuy
    Applied Food Research.2025; 5(1): 100788.     CrossRef
  • Development of Easy Cooking Methods for Dysphagia Patients Using Commercially Available Food
    Kui-Jeong Choi, Hye-Ji Jeon, Su-Yeong Hwang, Weon-Sun Shin
    Journal of the Korean Dysphagia Society.2024; 14(1): 18.     CrossRef
  • Rheological and Tribological Properties of Konjac Gum‐Lecithin Composite System: Effect of Incorporation of Saliva and Friction Surface Properties
    Zhihua Pang, Imane Bourouis, Mengfei Li, Cunshe Chen, Xinqi Liu
    Journal of Texture Studies.2024;[Epub]     CrossRef
  • Research advances on standards and processing methods of texture-modified foods for dysphagia: a review
    Tong Liu, Caiyun Liu, Xin Wang
    Discover Food.2024;[Epub]     CrossRef
  • Rheology for Safe Swallowing 3
    Katsuyoshi Nishinari, Ke Zhang, Nan Yang, Zhiming Gao, Chaiwut Gamonpilas, Mihaela Turcanu Bresson, Marie-Agnès Peyron, Yapeng Fang, Yoko Nitta, Xiaolin Yao, Meng Zhao, Sayaka Ishihara, Makoto Nakauma, Takahiro Funami, Kaoru Kohyama, Hatsue Moritaka, Miki
    Nihon Reoroji Gakkaishi.2024; 52(1): 37.     CrossRef
  • The behavior of lemon-based thickened fluids submitted to the IDDSI flow test as a strategy for dysphagia treatment
    Helayne Aparecida Maieves, Bruna Vaz da Silva, Marielly Ewerling, Ugo Ribeiro Comparotto, Francielly Becker Lessa, Amábile Nunes Lemos, Júlia Porto Hepp
    Food Science Today.2023;[Epub]     CrossRef
  • Rheological Issues on Oropharyngeal Dysphagia
    Crispulo Gallegos, Mihaela Turcanu, Getachew Assegehegn, Edmundo Brito-de la Fuente
    Dysphagia.2023; 38(2): 558.     CrossRef
  • Effect of α‐amylase and pH on the rheological properties of thickened liquids containing starch in in vitro conditions relevant to oral processing and swallowing
    Anaïs Lavoisier, Sabrina Boudrag, Marco Ramaioli
    Journal of Texture Studies.2022; 53(4): 550.     CrossRef
  • Proposal for a Standard Protocol to Assess the Rheological Behavior of Thickening Products for Oropharyngeal Dysphagia
    Mireia Bolivar-Prados, Noemí Tomsen, Yuki Hayakawa, Satomi Kawakami, Kazuhiro Miyaji, Jun Kayashita, Pere Clavé
    Nutrients.2022; 14(23): 5028.     CrossRef
  • Flow test by the International Dysphagia Diet Standardization Initiative reveals distinct viscosity parameters of three thickening agents
    José Vergara, Heloisa Sant’Ana Teixeira, Cinthia Madeira de Souza, Janaina Artem Ataide, Felipe de Souza Ferraz, Priscila Gava Mazzola, Lucia Figueiredo Mourão
    Journal of Food Science and Technology.2022; 59(9): 3627.     CrossRef
  • Review of the effect of amylase-resistant dysphagia products on swallowing safety
    E. Burnip, J.A.Y. Cichero
    Current Opinion in Otolaryngology & Head & Neck Surgery.2022; 30(3): 169.     CrossRef
  • Rheological Information of Pudding-Thick Liquids Prepared Using Commercial Food Thickeners Marketed in Korea for Dysphagic Patients According to the Manufacturers’ Guidelines
    Woobin Lim, Yulim Jeong, Byoungseung Yoo
    Clinical Nutrition Research.2022; 11(1): 1.     CrossRef
  • Classification of Texture-Modified Korean Soups with a Thickener under IDDSI Criteria
    Kui-Jeong Choi, Hyun-Jung Lee, Weon-Sun Shin
    Journal of the Korean Dysphagia Society.2022; 12(2): 123.     CrossRef
  • The role of guar gum on sensory perception, on food function, and on the development of dysphagia supplements – A review
    Athina Theocharidou, Ioannis Mourtzinos, Christos Ritzoulis
    Food Hydrocolloids for Health.2022; 2: 100053.     CrossRef
  • The safety and efficacy of xanthan gum-based thickeners and their effect in modifying bolus rheology in the therapeutic medical management of dysphagia
    Enrico K. Hadde, Brenda Mossel, Jianshe Chen, Sangeeta Prakash
    Food Hydrocolloids for Health.2021; 1: 100038.     CrossRef
  • Effect of addition of human saliva on steady and viscoelastic rheological properties of some commercial dysphagia-oriented products
    Beatriz Herranz, Celia Criado, María Ángeles Pozo-Bayón, María Dolores Álvarez
    Food Hydrocolloids.2021; 111: 106403.     CrossRef
  • Assessment of tomato‐based thick fluid diet for patients with dysphagia using a simple and cheap test
    Helayne Aparecida Maieves, Gerson Lopes Teixeira
    Journal of Texture Studies.2021; 52(5-6): 647.     CrossRef
  • Food matrix impact on oral structure breakdown and sandiness perception of semisolid systems including resistant starch
    Laura. Laguna, Arantxa. Rizo, Delia. Pineda, Sara. Pérez, Amparo. Gamero, Amparo. Tárrega
    Food Hydrocolloids.2021; 112: 106376.     CrossRef
  • Influence of thickening agents on rheological properties and sensory attributes of dysphagic diet
    Helena de O. S. Schmidt, Marina Rocha Komeroski, Thaís Steemburgo, Viviani Ruffo de Oliveira
    Journal of Texture Studies.2021; 52(5-6): 587.     CrossRef
  • Controlling the rheological properties of wheat starch gels using Lepidium perfoliatum seed gum in steady and dynamic shear
    A.R. Yousefi, K. Ako
    International Journal of Biological Macromolecules.2020; 143: 928.     CrossRef
  • Effect of xanthan gum‐thickened liquid aspiration on the lungs in a mouse model
    Takafumi Araie, Hitomi Ono Minagi, Yu Usami, Kazuki Ikai, Manabu Sakai, Nao Gojo, Kanji Nohara, Takayoshi Sakai
    Oral Science International.2020; 17(2): 78.     CrossRef
  • Rheological characterization of thickened protein‐based beverages under different food thickeners and setting times
    Chong‐Yun Kim, Byoungseung Yoo
    Journal of Texture Studies.2018; 49(3): 293.     CrossRef
  • An alternative elongational method to study the effect of saliva on thickened fluids for dysphagia nutritional support
    Mihaela Turcanu, Nadja Siegert, Sébastien Secouard, Edmundo Brito-de la Fuente, Corneliu Balan, Crispulo Gallegos
    Journal of Food Engineering.2018; 228: 79.     CrossRef
  • Rheological Behaviors of Thickened Infant Formula Prepared with Xanthan Gum-Based Food Thickeners for Dysphagic Infants
    Sung-No Yoon, Byoungseung Yoo
    Dysphagia.2017; 32(3): 454.     CrossRef
  • Consistency stability of water thickened with maltodextrin, xanthan gum and potassium chloride
    Dauana Cássia Alves, Nattália Araujo Alves, Roberto Oliveira Dantas
    Journal of Texture Studies.2017; 48(6): 530.     CrossRef
  • 2 View
  • 0 Download
  • 27 Crossref
Case Report
[English]
Ketogenic Diet for Children with Epilepsy: A Practical Meal Plan in a Hospital
Eunjoo Lee, Hoon-Chul Kang, Heung Dong Kim
Clin Nutr Res 2016;5(1):60-63.   Published online January 29, 2016
DOI: https://doi.org/10.7762/cnr.2016.5.1.60

A ketogenic diet (KD) is a dietary approach to treat intractable epilepsy. The KD begins with hospitalization and the child and their parents can adapt to the KD for 1-2 weeks. Recently, various type of dietary intervention such as the modified Atkins diet (MAD) and the low glycemic index treatment (LGIT) have been performed. Since 2010, we carried out the KD, MAD, and LGIT for total of 802 patients; 489 patients (61%) for the KD, 147 patients (18.3%) with the MAD, and 166 patients (20.7%) for the LGIT. In this report, application of these dietary practices in Severance Hospital is shared.

Citations

Citations to this article as recorded by  
  • The Role of Ketogenic Diet in the Treatment of Neuroblastoma
    Rangarirai Makuku, Zeinab Sinaei Far, Neda Khalili, Alistar Moyo, Sepideh Razi, Mahsa Keshavarz-Fathi, Maryam Mahmoudi, Nima Rezaei
    Integrative Cancer Therapies.2023;[Epub]     CrossRef
  • Difficulties in the implementation of the ketogenic diet in adult patients with refractory epilepsy
    Irem Erkent, Fatma Ilgaz, Nese Dericioglu
    Epilepsy & Behavior.2023; 144: 109234.     CrossRef
  • Phase I single center trial of ketogenic diet for adults with traumatic brain injury
    Niraj Arora, N. Scott Litofsky, Mojgan Golzy, Rachna Aneja, Danielle Staudenmyer, Kathyrn Qualls, Sachin Patil
    Clinical Nutrition ESPEN.2022; 47: 339.     CrossRef
  • Hypercalcemia in Children Using the Ketogenic Diet: A Multicenter Study
    Colin P Hawkes, Sani M Roy, Bassem Dekelbab, Britney Frazier, Monica Grover, Jaime Haidet, James Listman, Sarianne Madsen, Marian Roan, Celia Rodd, Aviva Sopher, Peter Tebben, Michael A Levine
    The Journal of Clinical Endocrinology & Metabolism.2021; 106(2): e485.     CrossRef
  • Phosphate and Oxysterols May Mediate an Inverse Relationship Between Atherosclerosis and Cancer
    Ronald B. Brown
    EMJ Oncology.2020; : 114.     CrossRef
  • Inhibition of adenosine A1 receptors abolished the nutritional ketosis-evoked delay in the onset of isoflurane-induced anesthesia in Wistar Albino Glaxo Rijswijk rats
    Zsolt Kovács, Brigitta Brunner, Dominic P. D’Agostino, Csilla Ari
    BMC Anesthesiology.2020;[Epub]     CrossRef
  • An Experimental Ketogenic Diet for Alzheimer Disease Was Nutritionally Dense and Rich in Vegetables and Avocado
    Matthew K Taylor, Russell H Swerdlow, Jeffrey M Burns, Debra K Sullivan
    Current Developments in Nutrition.2019; 3(4): nzz003.     CrossRef
  • Assessment of micronutrients in a 12-wk ketogenic diet in obese adults
    Saša Kenig, Ana Petelin, Tamara Poklar Vatovec, Nina Mohorko, Zala Jenko-Pražnikar
    Nutrition.2019; 67-68: 110522.     CrossRef
  • Phosphate toxicity and tumorigenesis
    Ronald B. Brown, Mohammed S. Razzaque
    Biochimica et Biophysica Acta (BBA) - Reviews on Cancer.2018; 1869(2): 303.     CrossRef
  • The modification of the ketogenic diet mitigates its stunting effects in rodents
    Arkadiusz Damian Liśkiewicz, Daniela Kasprowska-Liśkiewicz, Anna Sługocka, Marta Maria Nowacka-Chmielewska, Jan Wiaderkiewicz, Halina Jędrzejowska-Szypułka, Jarosław Jerzy Barski, Joanna Lewin-Kowalik
    Applied Physiology, Nutrition, and Metabolism.2018; 43(2): 203.     CrossRef
  • Effect of ketogenic diet and other dietary therapies on anti-epileptic drug concentrations in patients with epilepsy
    G. Heo, S. H. Kim, M. J. Chang
    Journal of Clinical Pharmacy and Therapeutics.2017; 42(6): 758.     CrossRef
  • Adenosine A1 Receptor Antagonism Abolished the Anti-seizure Effects of Exogenous Ketone Supplementation in Wistar Albino Glaxo Rijswijk Rats
    Zsolt Kovács, Dominic P. D’Agostino, Arpád Dobolyi, Csilla Ari
    Frontiers in Molecular Neuroscience.2017;[Epub]     CrossRef
  • Justicia spicigera Schltdl. and kaempferitrin as potential anticonvulsant natural products
    Ma. Eva González-Trujano, Fabiola Domínguez, Gimena Pérez-Ortega, Miguel Aguillón, David Martínez-Vargas, Salvador Almazán-Alvarado, Adrián Martínez
    Biomedicine & Pharmacotherapy.2017; 92: 240.     CrossRef
  • Low glycemic index treatment in patients with drug-resistant epilepsy
    Se Hee Kim, Hoon-Chul Kang, Eun Joo Lee, Joon Soo Lee, Heung Dong Kim
    Brain and Development.2017; 39(8): 687.     CrossRef
  • 2 View
  • 0 Download
  • 14 Crossref