Skip to main navigation Skip to main content
  • KSCN
  • E-Submission

CNR : Clinical Nutrition Research

OPEN ACCESS
ABOUT
BROWSE ARTICLES
EDITORIAL POLICIES
FOR CONTRIBUTORS

Articles

Original Article

Sex-Specific Factors Associated With Diet Quality in Cancer Survivors: Korea National Health and Nutrition Examination Survey (KNHANES) 2008–2019

Clinical Nutrition Research 2025;14(1):41-54.
Published online: January 23, 2025

1Department of Food and Nutrition, Soongeui Women’s University, Seoul 04628, Korea.

2Department of Food and Nutrition, Kyung Hee University, Seoul 02447, Korea.

Correspondence to Youjin Je. Department of Food and Nutrition, Kyung Hee University, 26 Kyunghee-daero, Dongdaemun-gu, Seoul 02447, Korea. youjinje@khu.ac.kr
• Received: December 4, 2024   • Revised: January 12, 2025   • Accepted: January 20, 2025

Copyright © 2025. The Korean Society of Clinical Nutrition

This is an Open Access article distributed under the terms of the Creative Commons Attribution Non-Commercial License (https://creativecommons.org/licenses/by-nc/4.0/) which permits unrestricted non-commercial use, distribution, and reproduction in any medium, provided the original work is properly cited.

  • 721 Views
  • 10 Download
prev next
  • Previous studies have shown the inverse association between diet quality and cancer mortality. Therefore, this study aims to discover the factors that affect diet quality among cancer survivors. We analyzed the 12 years of Korea National Health and Nutrition Examination Survey data, which included 2,756 cancer survivors. We analyzed 30 factors considered to be associated with diet quality. As a result, factors related to diet quality differed between males and females. A male cancer survivor who is aged < 65, living with members of the household, living without a spouse, having a lower household income, a blue-collar worker, a beneficiary of national basic livelihood, sleeping > 9 hours a day, unaware of a nutritional fact label, insecure in food, non-user of dietary supplements, not on diet therapy, limited in activity, perceiving stress, and obese, are more likely to have lower Korean Healthy Eating Index (KHEI) scores. On the other hand, a female cancer survivor who is aged < 65, a pink-collar worker, inexperienced in nutritional education, non-users of dietary supplements, obese, and has a lower education level, and cervical or stomach cancer is prone to have lower KHEI scores. In conclusion, factors associated with diet quality among cancer survivors are sex-specific. Therefore, sex-specific factors should be considered when identifying and intervening in cancer survivors at risk for lower diet quality scores.
According to data from Statistics Korea, cancer was the number one cause of death in South Korea in 2023. When looking at the causes of death over the 10 years from 2013 to 2023, cancer remained the number one cause of death. Furthermore, cancer is the number one cause of death for both males and females. In 2023, cancer claimed the lives of 85,271 people in South Korea, a 2.3 percent increase from the previous year [1].
Life-related factors are associated with the risk or mortality of cancer [2, 3]. One of these factors is dietary habits. Many previous studies regarding nutrients, food components, and dietary patterns or diet quality have shown their relation to cancer mortality.
Early studies mainly related to the association between cancer and single nutrients, individual foods, or food components. However, more recent studies focus on the idea that the diet is complicated, and food and nutrients are ingested together and often act synergistically [4, 5, 6]. In this context, an effort has been made to discover the association between dietary patterns and health risks [7]. Higher index scores in the Dietary Approaches to Stop Hypertension diet, the Alternative Healthy Eating Index, the Healthy Eating Index (HEI), the Diet Quality Index (DQI), alternative Mediterranean Diet, and HEI-2010 were associated with 9%–24% decreased in the risk of cancer mortality [8, 9, 10].
Therefore, it is crucial to discover the factors that affect the DQI among cancer survivors. This study explored diet quality-related factors such as socio-demographic, health and diet behavioral, health status, anthropometric, and cancer-related categories. Moreover, the present study focused on sex-specific factors associated with lower diet quality scores. Males and females differ biologically in nutrient intake, metabolism, and the gut microbiome [11]. Sex differences are also shown socio-culturally in nutritional behavior, such as nutritional knowledge, eating behavior, preparation skills, and taste preferences [12]. We aim to identify statistically significant factors affecting diet quality, separately for males and females, and to improve the modifiable factors identified to increase the diet quality score and ultimately reduce mortality in cancer survivors.
Study design and subjects
We analyzed nationwide cross-sectional survey data from 2008 to 2019, namely the Korea National Health and Nutrition Examination Survey (KNHANES). This survey was established in 1998 to estimate the health and nutritional status of the non-institutionalized Korean population and has been conducted periodically by the Korea Centers for Disease Control and Prevention (KCDC). The sampling method is a stratified multistage clustered probability design.
Figure 1 shows that 101,138 individuals who participated in KNHANES from 2008 to 2019. Among participants, we excluded those who were not eligible for the current study according to the exclusion criteria as follows: 1) Participants who did not complete the health examination, health interview, and nutrition survey (n = 15,996), 2) Participants under the age of 19 (n = 19,534), 3) Participants who were pregnant or breast-feeding (n = 2,533), 4) Participants who had extreme energy intake values (≤ 500 or > 6,000 kcal/day) (n = 735), 5) Participants who were not diagnosed with cancer (n = 59,584). Finally, 2,756 subjects were included and named cancer survivors.
Figure 1

Study subjects included in the study.

cnr-14-41-g001.jpg
A “cancer survivor” is defined as one who has been diagnosed with cancer and belongs to the period from the time of diagnosis until the end of life [13]. The term “cancer survivor” was introduced by pediatrician Fitzhugh Mullan, who was diagnosed with cancer in 1975. In 1985, he published an article in the New England Journal of Medicine presenting “cancer survivorship” as a transition from acute illness to extended survival. This concept challenges the “cured/not cured” distinction and highlights the shared experiences of individuals living with cancer, regardless of prognosis, setting them apart from the general population. Many papers have used this concept [14].
Cancer survivors in this study were defined as participants who self-reported having been diagnosed by a doctor, including all types of cancer. The final study subjects included cancer survivors regardless of when they were diagnosed, whether they were diagnosed with multiple cancers, reported other chronic conditions such as diabetes or hypertension, or were on diet therapy, to include the most significant number of cancer survivors in the study. Therefore, the analysis included these factors under the names “self-reported chronic disease,” “years since diagnosis,” “number of diagnosed cancers,” and “on diet therapy.”
The Korean Centers for Disease Control and Prevention Institutional Review Board approved the KNHANES (No. 2008-04EXP-01-C, 2009-01CON-03-2C, 2010-02CON-21-C, 2011-02CON-06-C, 2012-01EXP-01-2C, 2013-07CON-03-4C, 2013-12EXP-03-5C, 2018-01-03-P-A, 2018-01-03-CA), and all participants signed a written informed consent form.
Variables

Socio-demographic, health, and diet behavioral, health status, anthropometric, and cancer-related factors

Thirty factors were analyzed as independent variables to explore their association with diet quality. Factors were grouped into five categories, including socio-demographic factors (n = 8), health and diet behavioral factors (n = 12), health status factors (n = 5), anthropometric factors (n = 2), and cancer-related factors (n = 3).
Socio-demographic factors include age, marital status, residential area, household type, educational level, household income, occupation, and benefit of national basic livelihood. Health and diet behavioral factors include alcohol drinking, smoking, physical activity, sleep duration, nutrition labeling awareness, nutritional education and counseling, eating with family, food security, eating-out frequency, dietary supplement use, diet therapy, and the amount of water intake. Health status factors consist of self-reported health status, self-reported chronic diseases, limitation of activities, perceived poor oral health, and perceived stress. Anthropometric factors include body mass index (BMI) and waist circumference. Cancer-related factors include types of cancer, years since diagnosis, and number of diagnosed cancers.
Supplementary Table 1 provides details on the classification and definition of factors.
The Korean HEI (KHEI)
We assessed individuals’ diet quality based on the KHEI reported in 2021 as a dependent variable [15]. Due to the lack of data on saturated fatty acids, one component (the percentage of energy from saturated fatty acids) of the KHEI-2021 was replaced with another component (the ratio of white meat to red meat) of the KHEI-2015 [16].
The KHEI was developed by the KCDC in 2015 to evaluate overall diet quality and adherence to dietary guidelines for Koreans [16]. The initial KHEI (the KHEI-2015) was revised in 2021 (the KHEI-2021), reflecting the KNHANES database, dietary guidelines, and the 2015 KDRI (Dietary Reference Intakes for Koreans). The total KHEI score ranges from 0 to 100 points.
Statistical analysis
Statistical analyses were performed with SAS software, version 9.4 (SAS Institute Inc, Cary, NC, USA), and PROC SURVEYFREQ, PROC SURVEYMEANS, and PROC SURVEYREG procedures were used for estimating all statistical results to reflect the multistage, stratified survey design and survey weightings. The new sampling weight for a subject was calculated by dividing the year-specific sampling weight by the number of survey years. This sampling weight was applied to all analyses. A two-sided p value < 0.05 was considered to be statistically significant.
Estimated percentages and standard errors (SE) in the study population's general characteristics were weighted by the new sampling weight and described as age- and/or sex-adjusted values. The χ2 test estimated differences of % by sex.
All values of the means and SE of the KHEI scores were age- and/or sex-adjusted. Mean differences in the KHEI score were evaluated using multivariate linear regression after adjusting for age and/or sex. Multiple comparisons of mean differences were conducted using Tukey’s test.
All variables that showed significant mean differences in the KHEI scores between males and females were included for a multivariate linear regression analysis. By multivariate linear regression analysis, we identified the effect of sex on the KHEI scores and explored factors associated with the KHEI scores for male and female cancer survivors separately. Stepwise regression was used to select significant variables in a multivariate linear regression analysis. The variance inflation factors (VIF) were evaluated to check for multicollinearity, which was not considered a problem if the VIF was less than 10 [17].
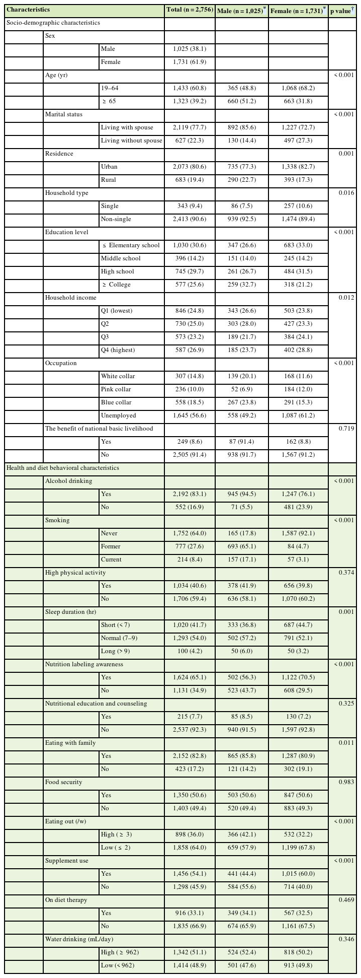
General characteristics of cancer survivors
Tables 1 and 2 shows the general characteristics between male and female cancer survivors. Of the 30 characteristics, 19 (63.3%) were significantly different between males and females, meaning that most general characteristics differed between males and females.
Table 1

Socio-demographic and behavioral characteristics of cancer survivors

Table 1
Characteristics Total (n = 2,756) Male (n = 1,025)* Female (n = 1,731)* p value
Socio-demographic characteristics
Sex
Male 1,025 (38.1)
Female 1,731 (61.9)
Age (yr) < 0.001
19–64 1,433 (60.8) 365 (48.8) 1,068 (68.2)
≥ 65 1,323 (39.2) 660 (51.2) 663 (31.8)
Marital status < 0.001
Living with spouse 2,119 (77.7) 892 (85.6) 1,227 (72.7)
Living without spouse 627 (22.3) 130 (14.4) 497 (27.3)
Residence 0.001
Urban 2,073 (80.6) 735 (77.3) 1,338 (82.7)
Rural 683 (19.4) 290 (22.7) 393 (17.3)
Household type 0.016
Single 343 (9.4) 86 (7.5) 257 (10.6)
Non-single 2,413 (90.6) 939 (92.5) 1,474 (89.4)
Education level < 0.001
≤ Elementary school 1,030 (30.6) 347 (26.6) 683 (33.0)
Middle school 396 (14.2) 151 (14.0) 245 (14.2)
High school 745 (29.7) 261 (26.7) 484 (31.5)
≥ College 577 (25.6) 259 (32.7) 318 (21.2)
Household income 0.012
Q1 (lowest) 846 (24.8) 343 (26.6) 503 (23.8)
Q2 730 (25.0) 303 (28.0) 427 (23.3)
Q3 573 (23.2) 189 (21.7) 384 (24.1)
Q4 (highest) 587 (26.9) 185 (23.7) 402 (28.8)
Occupation < 0.001
White collar 307 (14.8) 139 (20.1) 168 (11.6)
Pink collar 236 (10.0) 52 (6.9) 184 (12.0)
Blue collar 558 (18.5) 267 (23.8) 291 (15.3)
Unemployed 1,645 (56.6) 558 (49.2) 1,087 (61.2)
The benefit of national basic livelihood 0.719
Yes 249 (8.6) 87 (91.4) 162 (8.8)
No 2,505 (91.4) 938 (91.7) 1,567 (91.2)
Health and diet behavioral characteristics
Alcohol drinking < 0.001
Yes 2,192 (83.1) 945 (94.5) 1,247 (76.1)
No 552 (16.9) 71 (5.5) 481 (23.9)
Smoking < 0.001
Never 1,752 (64.0) 165 (17.8) 1,587 (92.1)
Former 777 (27.6) 693 (65.1) 84 (4.7)
Current 214 (8.4) 157 (17.1) 57 (3.1)
High physical activity 0.374
Yes 1,034 (40.6) 378 (41.9) 656 (39.8)
No 1,706 (59.4) 636 (58.1) 1,070 (60.2)
Sleep duration (hr) 0.001
Short (< 7) 1,020 (41.7) 333 (36.8) 687 (44.7)
Normal (7–9) 1,293 (54.0) 502 (57.2) 791 (52.1)
Long (> 9) 100 (4.2) 50 (6.0) 50 (3.2)
Nutrition labeling awareness < 0.001
Yes 1,624 (65.1) 502 (56.3) 1,122 (70.5)
No 1,131 (34.9) 523 (43.7) 608 (29.5)
Nutritional education and counseling 0.325
Yes 215 (7.7) 85 (8.5) 130 (7.2)
No 2,537 (92.3) 940 (91.5) 1,597 (92.8)
Eating with family 0.011
Yes 2,152 (82.8) 865 (85.8) 1,287 (80.9)
No 423 (17.2) 121 (14.2) 302 (19.1)
Food security 0.983
Yes 1,350 (50.6) 503 (50.6) 847 (50.6)
No 1,403 (49.4) 520 (49.4) 883 (49.3)
Eating out (/w) < 0.001
High (≥ 3) 898 (36.0) 366 (42.1) 532 (32.2)
Low (≤ 2) 1,858 (64.0) 659 (57.9) 1,199 (67.8)
Supplement use < 0.001
Yes 1,456 (54.1) 441 (44.4) 1,015 (60.0)
No 1,298 (45.9) 584 (55.6) 714 (40.0)
On diet therapy 0.469
Yes 916 (33.1) 349 (34.1) 567 (32.5)
No 1,835 (66.9) 674 (65.9) 1,161 (67.5)
Water drinking (mL/day) 0.346
High (≥ 962) 1,342 (51.1) 524 (52.4) 818 (50.2)
Low (< 962) 1,414 (48.9) 501 (47.6) 913 (49.8)
Values are presented as number (%). Numbers are unweighted number of subjects and percentage are weighted by sampling weights.
*In case of missing data, the sum of male or female subjects for each characteristic does not equal 1,025 (male) or 1,731 (female).
The p values of % differences between males and females by the χ2 test.
Table 2

Health status, anthropometric, and cancer-related characteristics of cancer survivors

Table 2
Characteristics Total (n = 2,756) Male (n = 1,025)* Female (n = 1,731)* p value 
Health status characteristics
Self-reported health status < 0.001
Good to very good 555 (20.4) 263 (26.1) 292 (16.9)
Very bad to medium 2,200 (79.6) 762 (73.9) 1,438 (83.1)
Self-reported chronic disease 0.478
Yes 1,561 (61.6) 588 (62.7) 973 (60.9)
No 745 (38.4) 267 (37.3) 478 (39.1)
Limitation of activities 0.065
Yes 558 (17.9) 228 (19.8) 330 (16.7)
No 2,196 (82.1) 795 (80.2) 1,401 (83.3)
Perceived poor oral health 0.034
Yes 958 (32.6) 389 (35.6) 569 (30.8)
No 1,774 (67.4) 623 (64.4) 1,151 (69.2)
Perceived stress 0.002
Yes 636 (23.2) 192 (19.0) 444 (25.7)
No 2,106 (76.8) 823 (81.0) 1,283 (74.3)
Anthropometric characteristics
Body mass index 0.074
Underweight 121 (4.4) 61 (5.3) 60 (3.8)
Normal 1,149 (42.0) 442 (41.3) 707 (42.4)
Overweight 651 (23.1) 260 (25.2) 391 (21.8)
Obesity 829 (30.6) 259 (28.2) 570 (32.0)
Waist circumference 0.639
≥ 90 cm (male)/85 cm (female) 833 (29.9) 286 (29.3) 547 (30.3)
< 90 cm (male)/85 cm (female) 1,923 (70.1) 739 (70.7) 1,184 (69.7)
Cancer-related characteristics
Type of cancer < 0.001
Stomach 496 (16.3) 307 (26.7) 189 (10.0)
Liver 61 (2.4) 49 (5.3) 12 (0.5)
Colon 285 (10.0) 175 (16.5) 110 (6.0)
Breast 378 (13.0) 0 (0) 378 (21.0)
Cervix 309 (11.2) 0 (0) 309 (18.0)
Lung 93 (3.0) 68 (6.2) 25 (1.0)
Other 1,134 (44.1) 426 (45.3) 708 (43.4)
Years since diagnosis (yr) < 0.001
< 2 397 (14.6) 183 (18.8) 214 (12.0)
≥ 2 to < 5 715 (26.9) 262 (25.5) 453 (27.8)
≥ 5 to < 10 781 (28.7) 321 (30.5) 460 (27.5)
≥ 10 858 (29.9) 258 (25.2) 600 (32.7)
Number of diagnosed cancers 0.274
1 2,630 (95.7) 962 (95.0) 1,668 (96.0)
≥ 2 126 (4.3) 63 (5.0) 63 (4.0)
Values are presented as number (%). Numbers are unweighted number of subjects and percentage are weighted by sampling weights.
*In case of missing data, The sum of male or female subjects for each characteristic does not equal 1,025 (male) or 1,731 (female).
The p values of % differences between males and females by the χ2 test.
The KHEI scores by KHEI components and sex among cancer survivors
Table 3 compares the mean KHEI score of male and female cancer survivors. The total mean score of the KHEI for both sexes was 62.8 (SE = 0.34). Female cancer survivors’ total mean score of KHEI was higher than the male’s (65.2 ± 0.40 for the female; 60.3 ± 0.60 for the male, p < 0.001). The higher scores for female cancer survivors may be due to female cancer survivors consuming more total and fresh fruit and less sodium and simple sugars compared to male cancer survivors. In addition, male cancer survivors scored higher than female cancer survivors for total vegetable intake. Still, they scored the same as female cancer survivors for vegetable intake, excluding kimchi and pickled vegetables. Therefore, the higher total vegetable intake score for males can be attributed to the consumption of kimchi and pickled vegetables.
Table 3

The mean value of each KHEI item by sex among cancer survivors

Table 3
Components Score range Total* (n = 2,756) Male (n = 1,025) Female (n = 1,731) p value
Total score§ 0–100 62.8 ± 0.34 60.3 ± 0.60 65.2 ± 0.40 < 0.001
Adequacy (8) 0–55
Have breakfast 0–10 9.5 ± 0.04 9.5 ± 0.08 9.5 ± 0.05 0.742
Mixed grains intake 0–5 2.3 ± 0.05 2.3 ± 0.08 2.4 ± 0.06 0.448
Total fruits intake 0–5 2.7 ± 0.05 2.3 ± 0.09 3.0 ± 0.06 < 0.001
Fresh fruits intake 0–5 3.0 ± 0.05 2.7 ± 0.10 3.4 ± 0.06 < 0.001
Total vegetable intake 0–5 3.2 ± 0.04 3.2 ± 0.07 3.0 ± 0.05 0.039
Vegetable intake, excluding Kimchi and pickled vegetable intake 0–5 2.6 ± 0.04 2.5 ± 0.07 2.7 ± 0.05 0.143
Meat, fish, eggs, and beans intake 0–10 5.5 ± 0.08 5.5 ± 0.14 5.4 ± 0.10 0.419
Milk and milk product intake 0–10 2.8 ± 0.10 2.7 ± 0.16 3.0 ± 0.12 0.084
Moderation (3) 0–25
The ratio of white meat to red meat 0-5 3.1 ± 0.06 3.0 ± 0.10 3.2 ± 0.07 0.199
Sodium intake 0–10 6.5 ± 0.08 5.7 ± 0.14 7.3 ± 0.09 < 0.001
Percentage of energy from sweets and beverages 0–10 8.8 ± 0.07 8.3 ± 0.14 9.4 ± 0.06 < 0.001
Energy balance (3) 0–15
Percentage of energy from carbohydrate 0–5 2.0 ± 0.05 2.1 ± 0.09 2.0 ± 0.06 0.152
Percentage of energy intake from fat 0–5 2.9 ± 0.05 2.8 ± 0.08 2.9 ± 0.06 0.673
Energy intake 0–5 3.2 ± 0.05 3.3 ± 0.09 3.2 ± 0.06 0.544
All values were presented as mean ± SE.
KHEI, Korean Healthy Eating Index; SE, standard error.
*Age (continuous)- and sex-adjusted means ± SE.
Age (continuous)-adjusted means ± SE.
The p values for mean differences of the KHEI score by sex using multivariate linear regression after adjusting for age (continuous).
§Total score was multiplied by 100/95 to convert 95 points of total score into 100 points.
The KHEI scores by factors and sex among cancer survivors
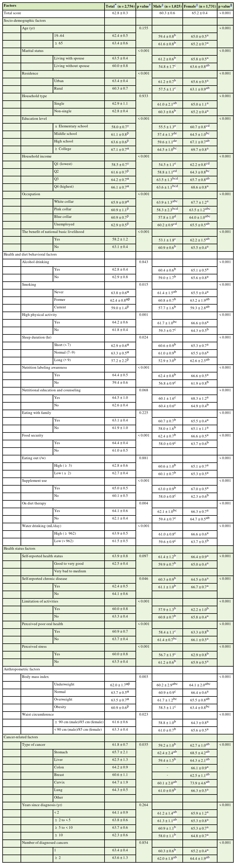
Table 4 shows that KHEI scores by sex differ across subgroups of the factors. When comparing subgroups within the same factor between males and females, there were statistically significant differences in KHEI scores for most factor subgroups. However, smoking and cancer type did not differ across all subgroups, and household type, household income, occupation, sleep duration, activity limitations, BMI, years since diagnosis, and number of diagnosed cancers did not differ in some subgroups.
Table 4

The mean value of the Korean Healthy Eating Index score by factors and sex among cancer survivors

Table 4
Factors Total* (n = 2,756) p value Male (n = 1,025) Female (n = 1,731) p value§
Total score 62.8 ± 0.3 60.3 ± 0.6 65.2 ± 0.4 < 0.001
Socio-demographic factors
Age (yr) 0.155 < 0.001
19–64 62.4 ± 0.5 59.4 ± 0.8b 65.0 ± 0.5a
≥ 65 63.4 ± 0.6 61.6 ± 0.8b 65.2 ± 0.7a
Marital status < 0.001 < 0.001
Living with spouse 63.5 ± 0.4 61.2 ± 0.6b 65.8 ± 0.5a
Living without spouse 60.0 ± 0.8 54.8 ± 1.7c 63.6 ± 0.8ab
Residence < 0.001 < 0.001
Urban 63.4 ± 0.4 61.2 ± 0.7b 65.6 ± 0.5a
Rural 60.3 ± 0.7 57.5 ± 1.1c 63.1 ± 0.9ab
Household type 0.933 < 0.001
Single 62.9 ± 1.1 61.0 ± 2.1ab 65.0 ± 1.1a
Non-single 62.8 ± 0.4 60.3 ± 0.6b 65.2 ± 0.4a
Education level < 0.001 < 0.001
≤ Elementary school 58.0 ± 0.7γ 55.5 ± 1.3e 60.7 ± 0.8cd
Middle school 61.1 ± 0.8β 57.4 ± 1.3de 64.5 ± 1.0bc
High school 63.6 ± 0.6β 59.6 ± 1.1de 67.1 ± 0.7ab
≥ College 67.1 ± 0.7α 64.5 ± 1.0bc 69.7 ± 0.8a
Household income < 0.001 < 0.001
Q1 (lowest) 58.5 ± 0.7γ 54.5 ± 1.1e 62.2 ± 0.8cd
Q2 61.6 ± 0.7β 58.8 ± 1.1ed 64.3 ± 0.8bc
Q3 64.2 ± 0.7α 63.5 ± 1.3bcd 65.7 ± 0.8ab
Q4 (highest) 66.1 ± 0.7α 63.6 ± 1.1bcd 68.6 ± 0.8a
Occupation < 0.001 < 0.001
White collar 65.9 ± 0.9α 63.9 ± 1.3abc 67.7 ± 1.2a
Pink collar 60.9 ± 1.1β 58.3 ± 2.3bcd 63.5 ± 1.2abc
Blue collar 60.9 ± 0.7β 57.8 ± 1.0d 64.0 ± 1.0abc
Unemployed 62.9 ± 0.5β 60.2 ± 0.9cd 65.5 ± 0.5ab
The benefit of national basic livelihood < 0.001 < 0.001
Yes 58.2 ± 1.2 53.1 ± 1.8c 62.2 ± 1.5ab
No 63.1 ± 0.4 60.9 ± 0.6b 65.5 ± 0.4a
Health and diet behavioral factors
Alcohol drinking 0.843 < 0.001
Yes 62.8 ± 0.4 60.4 ± 0.6b 65.1 ± 0.5a
No 62.9 ± 0.8 59.0 ± 1.7b 65.6 ± 0.8a
Smoking 0.015 < 0.001
Never 63.8 ± 0.6α 61.4 ± 1.5ab 65.5 ± 0.4a
Former 62.4 ± 0.8αβ 60.8 ± 0.7b 63.2 ± 1.9ab
Current 59.0 ± 1.4β 57.7 ± 1.6b 59.3 ± 2.8ab
High physical activity 0.001 < 0.001
Yes 64.2 ± 0.6 61.7 ± 1.0bc 66.6 ± 0.6a
No 61.8 ± 0.4 59.3 ± 0.7c 64.3 ± 0.5b
Sleep duration (hr) 0.024 < 0.001
Short (< 7) 62.9 ± 0.6α 60.6 ± 0.9b 65.3 ± 0.7a
Normal (7–9) 63.3 ± 0.5α 61.0 ± 0.9b 65.5 ± 0.6a
Long (> 9) 57.2 ± 2.2β 52.9 ± 3.0b 62.6 ± 2.5ab
Nutrition labeling awareness < 0.001 < 0.001
Yes 64.4 ± 0.5 62.4 ± 0.8b 66.6 ± 0.5a
No 59.4 ± 0.6 56.8 ± 0.9c 61.9 ± 0.8b
Nutritional education and counseling 0.068 < 0.001
Yes 64.5 ± 1.0 60.1 ± 1.6c 68.3 ± 1.2a
No 62.6 ± 0.4 60.4 ± 0.6c 64.9 ± 0.4b
Eating with family 0.225 < 0.001
Yes 63.1 ± 0.4 60.7 ± 0.7b 65.5 ± 0.4a
No 61.9 ± 1.0 58.0 ± 1.6b 65.1 ± 1.1a
Food security < 0.001 62.4 ± 0.7b 66.6 ± 0.5a < 0.001
Yes 64.4 ± 0.4 58.0 ± 0.9c 63.7 ± 0.6b
No 61.0 ± 0.5
Eating out (/w) 0.881 < 0.001
High (≥ 3) 62.8 ± 0.6 60.6 ± 1.0b 65.1 ± 0.7a
Low (≤ 2) 62.7 ± 0.4 60.1 ± 0.7b 65.3 ± 0.5a
Supplement use < 0.001 < 0.001
Yes 65.0 ± 0.5 63.0 ± 0.9b 67.0 ± 0.5a
No 60.1 ± 0.5 58.0 ± 0.8c 62.3 ± 0.6b
On diet therapy 0.004 < 0.001
Yes 64.1 ± 0.6 62.1 ± 1.0bc 66.3 ± 0.7a
No 62.1 ± 0.4 59.4 ± 0.7c 64.7 ± 0.5ab
Water drinking (mL/day) < 0.001 < 0.001
High (≥ 962) 63.9 ± 0.5 61.0 ± 0.8c 66.6 ± 0.6a
Low (< 962) 61.5 ± 0.5 59.6 ± 0.9c 63.7 ± 0.5b
Health status factors
Self-reported health status 63.9 ± 0.8 0.097 61.4 ± 1.2b 66.4 ± 0.9a < 0.001
Good to very good 62.5 ± 0.4 59.9 ± 0.7b 65.0 ± 0.4a
Very bad to medium
Self-reported chronic disease 0.046 60.3 ± 0.9b 64.5 ± 0.6a < 0.001
Yes 62.4 ± 0.5 61.1 ± 1.0b 66.7 ± 0.7a
No 64.1 ± 0.6
Limitation of activities < 0.001 < 0.001
Yes 60.0 ± 0.8 57.9 ± 1.3b 62.2 ± 1.0b
No 63.3 ± 0.4 60.8 ± 0.7b 65.8 ± 0.4a
Perceived poor oral health < 0.001 < 0.001
Yes 60.9 ± 0.7 58.4 ± 1.1c 63.3 ± 0.8b
No 63.7 ± 0.4 61.4 ± 0.7bc 66.1 ± 0.5a
Perceived stress < 0.001 < 0.001
Yes 60.0 ± 0.8 56.7 ± 1.5c 62.9 ± 0.8b
No 63.5 ± 0.4 61.2 ± 0.6b 65.9 ± 0.5a
Anthropometric factors
Body mass index 0.003 < 0.001
Underweight 62.0 ± 1.7αβ 60.2 ± 2.9abc 64.1 ± 2.0abc
Normal 63.7 ± 0.5α 60.9 ± 0.9c 66.4 ± 0.6a
Overweight 63.5 ± 0.7α 61.7 ± 1.2bc 65.5 ± 0.8ab
Obesity 60.9 ± 0.6β 58.5 ± 1.1c 63.4 ± 0.8bc
Waist circumference 0.023 < 0.001
≥ 90 cm (male)/85 cm (female) 61.6 ± 0.6 58.8 ± 1.0b 64.3 ± 0.8a
< 90 cm (male)/85 cm (female) 63.3 ± 0.4 61.0 ± 0.7b 65.6 ± 0.5a
Cancer-related factors
Type of cancer 61.8 ± 0.7 0.035 59.2 ± 1.0b 62.7 ± 1.0ab < 0.001
Stomach 65.7 ± 2.1 62.4 ± 2.4ab 68.5 ± 4.2ab
Liver 62.5 ± 1.3 59.4 ± 1.5b 64.3 ± 2.1ab
Colon 64.2 ± 0.9 - 66.1 ± 0.9a
Breast 60.6 ± 1.1 - 62.5 ± 1.1ab
Cervix 64.7 ± 1.9 60.1 ± 2.0ab 73.9 ± 4.6ab
Lung 64.3 ± 0.5 61.0 ± 0.9b 66.3 ± 0.5a
Other
Years since diagnosis (yr) 0.264 < 0.001
< 2 64.1 ± 0.9 61.2 ± 1.4ab 65.9 ± 1.2a
≥ 2 to < 5 63.8 ± 0.6 61.3 ± 1.1ab 65.3 ± 0.8a
≥ 5 to < 10 63.7 ± 0.6 60.9 ± 1.1b 65.3 ± 0.7a
≥ 10 62.3 ± 0.6 58.0 ± 1.1b 64.8 ± 0.7a
Number of diagnosed cancers 0.854 < 0.001
1 63.4 ± 0.4 60.3 ± 0.6b 65.2 ± 0.4a
≥ 2 63.6 ± 1.3 62.0 ± 1.8ab 64.4 ± 1.9ab
All values were presented as mean ± SE.
SE, standard error.
*Age (continuous)- and sex-adjusted means ± SE except for the ‘age’ factor; means ± SE of the ‘age’ factor was sex-adjusted only; different Greek letters in mean values indicate significant differences based on Tukey's test.
The p values for mean differences in a multivariable regression model, including each applicable factor, age (continuous), and sex.
Age (continuous)-adjusted means ± SE except for the ‘age’ factor; different alphabets in mean values indicate significant differences based on Tukey's test.
§The p values for mean differences in a multivariable regression model, including each applicable factor and age (continuous).
The sex effect on the KHEI scores among cancer survivors
We analyzed the sex effect on the KHEI score adjusted for all thirty potential confounders, showing significantly different KHEI scores between males and females. Male cancer survivors had lower KHEI scores than female cancer survivors by 3.8 points (unstandardized regression coefficient β for males’ KHEI scores versus females = −3.8, SE = 1.2, p value = 0.002). The VIF to assess multicollinearity was < 4.0 (maximum VIF = 3.38).
Factors associated with the KHEI scores by sex among cancer survivors
Table 5 indicates the factors related to KHEI scores in male or female cancer survivors. Fifteen and eight factors were identified as contributing to lower diet quality scores in male and female cancer survivors, respectively (male, adjusted R2 = 0.25, F-value = 10.15, p value < 0.001; female, adjusted R2 = 0.12, F-value = 8.32, p value < 0.001). For males, sleep duration, household type, and economic factors (household income, benefit of national basic livelihood, manual occupation, lack of food security) were the main factors contributing to lower diet quality scores that differed from those of females. In females, on the other hand, education (nutritional education, school education), cancer type, and pink-collar jobs were the main factors that differed from those of males. Being an adult before age 64, obesity, and not taking dietary supplements were common factors for lower diet quality scores in both males and females.
Table 5

Factors associated with the Korean Healthy Eating Index scores by sex among cancer survivors

Table 5
Males Females
Factors (reference) β* SE p value Factors (reference) β SE p value
Constant 82.9 3.4 < 0.001 Constant 80.4 1.9 < 0.001
> 9 hr sleep duration (Ref. 7–9 hr sleep duration) −8.6 2.6 0.001 No nutritional education (Ref. Nutritional education) −5.5 1.5 < 0.001
Non-single household (Ref. Single household) −8.1 2.6 0.002 Elementary school graduation (Ref. ≥ College) −4.7 1.0 < 0.001
Household income Q1 (Ref. Q4) −6.6 1.6 < 0.001 No dietary supplement use (Ref. Use) −3.9 0.8 < 0.001
Living without a spouse (Ref. Living with a spouse) −4.9 2.2 0.027 Stomach cancer (Ref. Other cancers) −3.1 1.4 0.025
Benefit of national basic livelihood (Ref. No) −4.7 2.4 0.046 Obesity (Ref. Normal weight) −3.0 0.9 0.001
19–64 yr (Ref. ≥ 65 yr) −4.6 1.2 < 0.001 Cervical cancer (Ref. Other cancers) −3.0 1.1 0.005
No nutrition labeling awareness (Ref. Awareness) −4.3 1.1 < 0.001 Pink collar (Ref. Unemployed) −2.8 1.3 0.026
Obesity (Ref. Normal weight) −3.9 1.1 0.001 19–64 yr (Ref. ≥ 65 yr) −2.1 1.0 0.043
Household income Q2 (Ref. Q4) −3.8 1.3 0.004
Limitation of activity (Ref. No limitation) −3.7 1.4 0.011
No dietary supplement use (Ref. Use) −3.3 1.0 0.002
Not on diet therapy (Ref. On diet diet therapy) −3.3 1.1 0.002
Blue collar (Ref. Unemployed) −3.0 1.2 0.011
Perceived stress (Ref. No perceived stress) −2.7 1.4 0.047
No food security (Ref. Food security) −2.3 1.1 0.032
All values were presented as mean ± standard error.
*Unstandardized regression coefficient.
The VIF to check for multicollinearity was < 4.0 (maximum VIF = 2.64 for males and 3.30 for females).
We discovered the following results in this large nationwide study. After adjusting for age, the quality of the female cancer survivors' diet is higher than that of the male (p value < 0.001; Table 3). These higher diet quality scores for females were attributed to higher total and fresh fruit intake and lower sweets/beverage intake than males (Table 3). All thirty factors considered in our study affected the difference in diet quality scores between males and females (Table 4). After adjusting these factors, the female cancer survivors’ diet quality score (KHEI score = 84.6) is still higher than the males' (KHEI score = 80.8). Therefore, we discovered that the factor ‘sex’ affected diet quality scores. Finally, based on the above findings, we found that factors associated with lower diet quality scores among cancer survivors differed between males and females. In male cancer survivors, long sleep duration (> 9 hours), non-single household, household income, living without a spouse, the benefit of national basic livelihood, the age of 19–64, nutrition labeling unawareness, obesity, limitation of activity, dietary supplement non-use, no diet therapy, blue-collar job, perceived stress, food insecurity were significant predictors of lower diet quality scores. On the other hand, in female cancer survivors, no nutritional education, elementary school graduation, dietary supplement non-use, stomach or cervical cancer, obesity, pink collar, and the age of 19–64 were factors contributing to lower diet quality scores (Table 5).
To our knowledge, no previous research has divided cancer survivors into males and females and studied the factors that influence the diet quality of each sex. We therefore reviewed similar previous studies. A study of 242 cancer patients (79 males, 162 females) in the United States reported that a lower education level was associated with lower diet quality scores while being an unemployed homemaker was associated with higher diet quality scores [18]. This is consistent with the findings for female cancer survivors in this study. However, this previous study reported no difference in diet quality scores between males and females, which is inconsistent with the current study [18]. This discrepancy could be due to differences in sample size, socio-cultural background, ethnicity, and diet quality assessment tool. Another study, which separated the male and female general population, reported that, only in males, widowhood, previous smoking, and low BMI (< 20 kg/m2) were associated with lower dietary quality scores [19]. This finding is inconsistent with our study of cancer survivors. This is thought to be due to the overall changes that a cancer diagnosis brings to an individual's quality of life, limitations in activities of daily living, depression, perceived health, and mental health [20].
Several possible explanations can be suggested for the differences between males and females in the factors associated with lower diet quality scores. Regarding male cancer survivors, the current study observed an association between longer sleep duration and lower dietary quality scores. It has been reported that longer sleep duration may cause changes in conventional meal patterns and timing and cause snacking instead of eating meals [21]. Frequent snacking can lead to excessive carbohydrates, fats, and simple sugars and insufficient protein, vegetables, and fruit intake, leading to lower diet quality [22]. Males are more exposed to this risk. This is because, traditionally, females are more involved in meal preparation in Korea, so males are more likely to lack meal preparation skills. Therefore, males may slip into low-quality snacking more readily than females. In addition, it is also notable that for males, factors related to economic circumstances are more prevalent. Household income affects an individual's nutritional status and health by enabling them to purchase nutritious, high-quality food [23, 24]. The lowest income groups reported higher intakes of whole milk, meat, meat products, fats, simple sugars, potatoes, and processed cereals and lower intakes of fresh fruits and vegetables than the highest income groups [25]. In Korea, males are the primary breadwinners [26], and household income is reported to decrease after a cancer diagnosis [27]. Therefore, male cancer survivors may be more sensitive to economic factors, which may affect their food purchases and choices and, in turn, be associated with lower diet quality. The fact that male cancer survivors eat out more often than females may also make them more susceptible to economic factors (Table 1). The finding that male cancer survivors who live alone have higher diet quality scores than those who do not may be interpreted in the same manner. Male cancer survivors with dependents may be more affected by economic factors, leading them to alter their dietary behaviors, such as food choices and eating habits, in ways that could diminish the quality of their diet.
On the other hand, concerning female cancer survivors, education was found to be significantly associated with diet quality scores. Level of schooling is likely to be associated with understanding nutrition-related information, and nutrition education is expected to be linked to desirable nutrition-related behaviors. In particular, females have been reported to have more positive food-related beliefs and attitudes and a greater willingness to change their dietary behavior than males. Therefore, females are thought to be more compliant with recommended dietary behaviors than males [28]. In this context, it is proposed that nutritional education significantly impacts diet quality scores for female cancer survivors, as they are more likely to apply the information learned from nutritional education compared to males. Additionally, females are more likely to be the primary meal preparers and, therefore, may be more favorable to implement the knowledge gained from nutritional education. In conclusion, nutritional interventions for male cancer survivors may be more effective in improving diet quality if factors such as sleep duration, economic factors, and food preparation skills are considered. On the other hand, when nutrition interventions are targeted at female cancer survivors, it is thought that focusing on nutritional education may be beneficial to improve the quality of their diets.
Our study has some limitations. Firstly, this study is based on cross-sectional data and is inherently limited to infer temporality and causality between diet quality scores and related factors. Secondly, clinical data, such as cancers and chronic diseases, are self-reported. Thus, the potential for reporting bias and misclassification should be considered. Thirdly, the subjects’ dietary intake data by 24-hour recall inherently has limitations in assessing habitual food consumption. Fourthly, although as many factors related to diet quality scores as possible were involved based on prior studies, the effect of unmeasured residual factors should not be overlooked. Fifth, the dietary quality measures used in this study were designed for the general population and must be further tested for reliability and validity in cancer survivors. Finally, the data analyzed in this study were based on Korean populations. While they can be generalized to other Asian populations, they may be limited to different races or ethnicities.
Nevertheless, to our knowledge, the current study is the first to identify the factors associated with lower diet quality scores in cancer survivors rather than non-cancer survivors. Furthermore, our study found that the factors related to diet quality scores differed between male and female cancer survivors. Additionally, we included as many factors as possible from the literature on socio-demographic, health and diet behavioral, health status, anthropometric, and cancer-related factors. Finally, the analysis was conducted on Koreans, so Asian-specific factors were fully reflected.
Factors associated with lower diet quality scores are sex-specific. Therefore, when screening for cancer survivors at risk of lower diet quality, considering the male-specific and female-specific factors identified in this study may help to detect them more quickly and accurately. In addition, identifying and focusing on the modifiable sex-specific factors revealed in this study in nutritional interventions such as education may be an effective way to improve the quality of cancer survivors' diets. We hope this research will help improve the quality of cancer survivors' diets, ultimately improving their quality of life and contributing to their survival.
National Research Foundation of Koreahttps://doi.org/10.13039/501100003725 NRF-2018R1D1A1B07045353NRF-2021R1F1A1050847

Funding: This research was supported by grants from the National Research Foundation of Korea (NRF–2018R1D1A1B07045353; NRF–2021R1F1A1050847).

Conflict of Interest: The authors declare that they have no competing interests.

Author Contributions:

  • Conceptualization: Je Y, Jung S.

  • Data curation: Je Y, Jung S.

  • Formal analysis: Jung S.

  • Funding acquisition: Je Y.

  • Investigation: Je Y, Jung S.

  • Writing - original draft: Jung S.

  • Writing - review & editing: Je Y.

Supplementary Table 1

The details of factors related to Korean Healthy Eating Index scores among cancer survivors
cnr-14-41-s001.xls
  • 1. Statistics Korea. Causes of death statistics for 2023. 2024. cited 2025 January 10. Available from https://kostat.go.kr
  • 2. Hirayama T. Life-style and cancer: from epidemiological evidence to public behavior change to mortality reduction of target cancers. J Natl Cancer Inst Monogr 1992;65-74.
  • 3. Yassibaş E, Arslan P, Yalçin S. Evaluation of dietary and life-style habits of patients with gastric cancer: a case-control study in Turkey. Asian Pac J Cancer Prev 2012;13:2291-2297.
  • 4. Flower G, Fritz H, Balneaves LG, Verma S, Skidmore B, et al. Flax and breast cancer: a systematic review. Integr Cancer Ther 2014;13:181-192.
  • 5. Freudenheim JL, Marshall JR, Vena JE, Laughlin R, Brasure JR, et al. Premenopausal breast cancer risk and intake of vegetables, fruits, and related nutrients. J Natl Cancer Inst 1996;88:340-348.
  • 6. Wu J, Zeng R, Huang J, Li X, Zhang J, et al. Dietary protein sources and incidence of breast cancer: a dose-response meta-analysis of prospective studies. Nutrients 2016;8:730.
  • 7. Dandamudi A, Tommie J, Nommsen-Rivers L, Couch S. Dietary patterns and breast cancer risk: a systematic review. Anticancer Res 2018;38:3209-3222.
  • 8. Harmon BE, Boushey CJ, Shvetsov YB, Ettienne R, Reedy J, et al. Associations of key diet-quality indexes with mortality in the multiethnic cohort: the dietary patterns methods project. Am J Clin Nutr 2015;101:587-597.
  • 9. Milajerdi A, Namazi N, Larijani B, Azadbakht L. The association of dietary quality indices and cancer mortality: a systematic review and meta-analysis of cohort studies. Nutr Cancer 2018;70:1091-1105.
  • 10. Reedy J, Krebs-Smith SM, Miller PE, Liese AD, Kahle LL, et al. Higher diet quality is associated with decreased risk of all-cause, cardiovascular disease, and cancer mortality among older adults. J Nutr 2014;144:881-889.
  • 11. Chen Y, Kim M, Paye S, Benayoun BA. Sex as a biological variable in nutrition research: from human studies to animal models. Annu Rev Nutr 2022;42:227-250.
  • 12. Kiefer I, Rathmanner T, Kunze M. Eating and dieting differences in men and women. J Mens Health Gend 2005;2:194-201.
  • 13. Feuerstein M. Defining cancer survivorship. J Cancer Surviv 2007;1:5-7.
  • 14. Marzorati C, Riva S, Pravettoni G. Who is a cancer survivor? A systematic review of published definitions. J Cancer Educ 2017;32:228-237.
  • 15. Yun S, Park S, Yook SM, Kim K, Shim JE, et al. Development of the Korean healthy eating index for adults, based on the Korea National Health and Nutrition Examination Survey. Nutr Res Pract 2022;16:233-247.
  • 16. Yook SM, Park S, Moon HK, Kim K, Shim JE, et al. Development of Korean healthy eating index for adults using the Korea national health and nutrition examination survey data. J Nutr Health 2015;48:419-428.
  • 17. Kim S, Yang JH, Park GH. Eating frequency is inversely associated with BMI, waist circumference and the proportion of body fat in Korean adults when diet quality is high, but not when it is low: analysis of the Fourth Korea National Health and Nutrition Examination Survey (KNHANES IV). Br J Nutr 2018;119:918-927.
  • 18. Kane K, Ilic S, Paden H, Lustberg M, Grenade C, et al. An evaluation of factors predicting diet quality among cancer patients. Nutrients 2018;10:1019.
  • 19. Kang M, Park SY, Shvetsov YB, Wilkens LR, Marchand LL, et al. Sex differences in sociodemographic and lifestyle factors associated with diet quality in a multiethnic population. Nutrition 2019;66:147-152.
  • 20. Williams K, Jackson SE, Beeken RJ, Steptoe A, Wardle J. The impact of a cancer diagnosis on health and well-being: a prospective, population-based study. Psychooncology 2016;25:626-632.
  • 21. Jansen EC, Prather A, Leung CW. Associations between sleep duration and dietary quality: results from a nationally-representative survey of US adults. Appetite 2020;153:104748.
  • 22. Kim S, DeRoo LA, Sandler DP. Eating patterns and nutritional characteristics associated with sleep duration. Public Health Nutr 2011;14:889-895.
  • 23. Bowman S. Low economic status is associated with suboptimal intakes of nutritious foods by adults in the National Health and Nutrition Examination Survey 1999–2002. Nutr Res 2007;27:515-523.
  • 24. Drewnowski A, Darmon N. Food choices and diet costs: an economic analysis. J Nutr 2005;135:900-904.
  • 25. James WPT, Nelson M, Ralph A, Leather S. Socioeconomic determinants of health. The contribution of nutrition to inequalities in health. BMJ 1997;314:1545-1549.
  • 26. Ministry of Employment and Labor. Survey report on labor conditions by employment type. 2024. cited 2025 January 12. Available from https://www.index.go.kr
  • 27. Lee S, Min I. Dynamic impact of cancer diagnosis on income and medical expenditure: an event study approach. Korean Social Security Studies 2022;38:79-100.
  • 28. Turrell G. Determinants of gender differences in dietary behavior. Nutr Res 1997;17:1105-1120.

Download Citation

Download a citation file in RIS format that can be imported by all major citation management software, including EndNote, ProCite, RefWorks, and Reference Manager.

Format:

Include:

Sex-Specific Factors Associated With Diet Quality in Cancer Survivors: Korea National Health and Nutrition Examination Survey (KNHANES) 2008–2019
Clin Nutr Res. 2025;14(1):41-54.   Published online January 23, 2025
Download Citation

Download a citation file in RIS format that can be imported by all major citation management software, including EndNote, ProCite, RefWorks, and Reference Manager.

Format:
Include:
Sex-Specific Factors Associated With Diet Quality in Cancer Survivors: Korea National Health and Nutrition Examination Survey (KNHANES) 2008–2019
Clin Nutr Res. 2025;14(1):41-54.   Published online January 23, 2025
Close

Figure

  • 0
Sex-Specific Factors Associated With Diet Quality in Cancer Survivors: Korea National Health and Nutrition Examination Survey (KNHANES) 2008–2019
Image
Figure 1 Study subjects included in the study.
Sex-Specific Factors Associated With Diet Quality in Cancer Survivors: Korea National Health and Nutrition Examination Survey (KNHANES) 2008–2019
0–10062.8 ± 0.3460.3 ± 0.6065.2 ± 0.40< 0.001Adequacy (8)0–55Have breakfast0–109.5 ± 0.049.5 ± 0.089.5 ± 0.050.742Mixed grains intake0–52.3 ± 0.052.3 ± 0.082.4 ± 0.060.448Total fruits intake0–52.7 ± 0.052.3 ± 0.093.0 ± 0.06< 0.001Fresh fruits intake0–53.0 ± 0.052.7 ± 0.103.4 ± 0.06< 0.001Total vegetable intake0–53.2 ± 0.043.2 ± 0.073.0 ± 0.050.039Vegetable intake, excluding Kimchi and pickled vegetable intake0–52.6 ± 0.042.5 ± 0.072.7 ± 0.050.143Meat, fish, eggs, and beans intake0–105.5 ± 0.085.5 ± 0.145.4 ± 0.100.419Milk and milk product intake0–102.8 ± 0.102.7 ± 0.163.0 ± 0.120.084Moderation (3)0–25The ratio of white meat to red meat0-53.1 ± 0.063.0 ± 0.103.2 ± 0.070.199Sodium intake0–106.5 ± 0.085.7 ± 0.147.3 ± 0.09< 0.001Percentage of energy from sweets and beverages0–108.8 ± 0.078.3 ± 0.149.4 ± 0.06< 0.001Energy balance (3)0–15Percentage of energy from carbohydrate0–52.0 ± 0.052.1 ± 0.092.0 ± 0.060.152Percentage of energy intake from fat0–52.9 ± 0.052.8 ± 0.082.9 ± 0.060.673Energy intake0–53.2 ± 0.053.3 ± 0.093.2 ± 0.060.544 65.0 ± 0.5a ≥ 6563.4 ± 0.661.6 ± 0.8b 65.2 ± 0.7a Marital status< 0.001< 0.001Living with spouse63.5 ± 0.461.2 ± 0.6b 65.8 ± 0.5a Living without spouse60.0 ± 0.854.8 ± 1.7c 63.6 ± 0.8ab Residence< 0.001< 0.001Urban63.4 ± 0.461.2 ± 0.7b 65.6 ± 0.5a Rural60.3 ± 0.757.5 ± 1.1c 63.1 ± 0.9ab Household type0.933< 0.001Single62.9 ± 1.161.0 ± 2.1ab 65.0 ± 1.1a Non-single62.8 ± 0.460.3 ± 0.6b 65.2 ± 0.4a Education level< 0.001< 0.001≤ Elementary school58.0 ± 0.7γ 55.5 ± 1.3e 60.7 ± 0.8cd Middle school61.1 ± 0.8β 57.4 ± 1.3de 64.5 ± 1.0bc High school63.6 ± 0.6β 59.6 ± 1.1de 67.1 ± 0.7ab ≥ College67.1 ± 0.7α 64.5 ± 1.0bc 69.7 ± 0.8a Household income< 0.001< 0.001Q1 (lowest)58.5 ± 0.7γ 54.5 ± 1.1e 62.2 ± 0.8cd Q261.6 ± 0.7β 58.8 ± 1.1ed 64.3 ± 0.8bc Q364.2 ± 0.7α 63.5 ± 1.3bcd 65.7 ± 0.8ab Q4 (highest)66.1 ± 0.7α 63.6 ± 1.1bcd 68.6 ± 0.8a Occupation< 0.001< 0.001White collar65.9 ± 0.9α 63.9 ± 1.3abc 67.7 ± 1.2a Pink collar60.9 ± 1.1β 58.3 ± 2.3bcd 63.5 ± 1.2abc Blue collar60.9 ± 0.7β 57.8 ± 1.0d 64.0 ± 1.0abc Unemployed62.9 ± 0.5β 60.2 ± 0.9cd 65.5 ± 0.5ab The benefit of national basic livelihood< 0.001< 0.001Yes58.2 ± 1.253.1 ± 1.8c 62.2 ± 1.5ab No63.1 ± 0.460.9 ± 0.6b 65.5 ± 0.4a Health and diet behavioral factorsAlcohol drinking0.843< 0.001Yes62.8 ± 0.460.4 ± 0.6b 65.1 ± 0.5a No62.9 ± 0.859.0 ± 1.7b 65.6 ± 0.8a Smoking0.015< 0.001Never63.8 ± 0.6α 61.4 ± 1.5ab 65.5 ± 0.4a Former62.4 ± 0.8αβ 60.8 ± 0.7b 63.2 ± 1.9ab Current59.0 ± 1.4β 57.7 ± 1.6b 59.3 ± 2.8ab High physical activity0.001< 0.001Yes64.2 ± 0.661.7 ± 1.0bc 66.6 ± 0.6a No61.8 ± 0.459.3 ± 0.7c 64.3 ± 0.5b Sleep duration (hr)0.024< 0.001Short (< 7)62.9 ± 0.6α 60.6 ± 0.9b 65.3 ± 0.7a Normal (7–9)63.3 ± 0.5α 61.0 ± 0.9b 65.5 ± 0.6a Long (> 9)57.2 ± 2.2β 52.9 ± 3.0b 62.6 ± 2.5ab Nutrition labeling awareness< 0.001< 0.001Yes64.4 ± 0.562.4 ± 0.8b 66.6 ± 0.5a No59.4 ± 0.656.8 ± 0.9c 61.9 ± 0.8b Nutritional education and counseling0.068< 0.001Yes64.5 ± 1.060.1 ± 1.6c 68.3 ± 1.2a No62.6 ± 0.460.4 ± 0.6c 64.9 ± 0.4b Eating with family0.225< 0.001Yes63.1 ± 0.460.7 ± 0.7b 65.5 ± 0.4a No61.9 ± 1.058.0 ± 1.6b 65.1 ± 1.1a Food security< 0.00162.4 ± 0.7b 66.6 ± 0.5a < 0.001Yes64.4 ± 0.458.0 ± 0.9c 63.7 ± 0.6b No61.0 ± 0.5Eating out (/w)0.881< 0.001High (≥ 3)62.8 ± 0.660.6 ± 1.0b 65.1 ± 0.7a Low (≤ 2)62.7 ± 0.460.1 ± 0.7b 65.3 ± 0.5a Supplement use< 0.001< 0.001Yes65.0 ± 0.563.0 ± 0.9b 67.0 ± 0.5a No60.1 ± 0.558.0 ± 0.8c 62.3 ± 0.6b On diet therapy0.004< 0.001Yes64.1 ± 0.662.1 ± 1.0bc 66.3 ± 0.7a No62.1 ± 0.459.4 ± 0.7c 64.7 ± 0.5ab Water drinking (mL/day)< 0.001< 0.001High (≥ 962)63.9 ± 0.561.0 ± 0.8c 66.6 ± 0.6a Low (< 962)61.5 ± 0.559.6 ± 0.9c 63.7 ± 0.5b Health status factorsSelf-reported health status63.9 ± 0.80.09761.4 ± 1.2b 66.4 ± 0.9a < 0.001Good to very good62.5 ± 0.459.9 ± 0.7b 65.0 ± 0.4a Very bad to mediumSelf-reported chronic disease0.04660.3 ± 0.9b 64.5 ± 0.6a < 0.001Yes62.4 ± 0.561.1 ± 1.0b 66.7 ± 0.7a No64.1 ± 0.6Limitation of activities< 0.001< 0.001Yes60.0 ± 0.857.9 ± 1.3b 62.2 ± 1.0b No63.3 ± 0.460.8 ± 0.7b 65.8 ± 0.4a Perceived poor oral health< 0.001< 0.001Yes60.9 ± 0.758.4 ± 1.1c 63.3 ± 0.8b No63.7 ± 0.461.4 ± 0.7bc 66.1 ± 0.5a Perceived stress< 0.001< 0.001Yes60.0 ± 0.856.7 ± 1.5c 62.9 ± 0.8b No63.5 ± 0.461.2 ± 0.6b 65.9 ± 0.5a Anthropometric factorsBody mass index0.003< 0.001Underweight62.0 ± 1.7αβ 60.2 ± 2.9abc 64.1 ± 2.0abc Normal63.7 ± 0.5α 60.9 ± 0.9c 66.4 ± 0.6a Overweight63.5 ± 0.7α 61.7 ± 1.2bc 65.5 ± 0.8ab Obesity60.9 ± 0.6β 58.5 ± 1.1c 63.4 ± 0.8bc Waist circumference0.023< 0.001≥ 90 cm (male)/85 cm (female)61.6 ± 0.658.8 ± 1.0b 64.3 ± 0.8a < 90 cm (male)/85 cm (female)63.3 ± 0.461.0 ± 0.7b 65.6 ± 0.5a Cancer-related factorsType of cancer61.8 ± 0.70.03559.2 ± 1.0b 62.7 ± 1.0ab < 0.001Stomach65.7 ± 2.162.4 ± 2.4ab 68.5 ± 4.2ab Liver62.5 ± 1.359.4 ± 1.5b 64.3 ± 2.1ab Colon64.2 ± 0.9-66.1 ± 0.9a Breast60.6 ± 1.1-62.5 ± 1.1ab Cervix64.7 ± 1.960.1 ± 2.0ab 73.9 ± 4.6ab Lung64.3 ± 0.561.0 ± 0.9b 66.3 ± 0.5a OtherYears since diagnosis (yr)0.264< 0.001< 264.1 ± 0.961.2 ± 1.4ab 65.9 ± 1.2a ≥ 2 to < 563.8 ± 0.661.3 ± 1.1ab 65.3 ± 0.8a ≥ 5 to < 1063.7 ± 0.660.9 ± 1.1b 65.3 ± 0.7a ≥ 1062.3 ± 0.658.0 ± 1.1b 64.8 ± 0.7a Number of diagnosed cancers0.854< 0.001163.4 ± 0.460.3 ± 0.6b 65.2 ± 0.4a ≥ 263.6 ± 1.362.0 ± 1.8ab 64.4 ± 1.9ab
Table 1 Socio-demographic and behavioral characteristics of cancer survivors

Values are presented as number (%). Numbers are unweighted number of subjects and percentage are weighted by sampling weights.

*In case of missing data, the sum of male or female subjects for each characteristic does not equal 1,025 (male) or 1,731 (female).

The p values of % differences between males and females by the χ2 test.

Table 2 Health status, anthropometric, and cancer-related characteristics of cancer survivors

Values are presented as number (%). Numbers are unweighted number of subjects and percentage are weighted by sampling weights.

*In case of missing data, The sum of male or female subjects for each characteristic does not equal 1,025 (male) or 1,731 (female).

The p values of % differences between males and females by the χ2 test.

Table 3 The mean value of each KHEI item by sex among cancer survivors

All values were presented as mean ± SE.

KHEI, Korean Healthy Eating Index; SE, standard error.

*Age (continuous)- and sex-adjusted means ± SE.

Age (continuous)-adjusted means ± SE.

The p values for mean differences of the KHEI score by sex using multivariate linear regression after adjusting for age (continuous).

§Total score was multiplied by 100/95 to convert 95 points of total score into 100 points.

Table 4 The mean value of the Korean Healthy Eating Index score by factors and sex among cancer survivors

All values were presented as mean ± SE.

SE, standard error.

*Age (continuous)- and sex-adjusted means ± SE except for the ‘age’ factor; means ± SE of the ‘age’ factor was sex-adjusted only; different Greek letters in mean values indicate significant differences based on Tukey's test.

The p values for mean differences in a multivariable regression model, including each applicable factor, age (continuous), and sex.

Age (continuous)-adjusted means ± SE except for the ‘age’ factor; different alphabets in mean values indicate significant differences based on Tukey's test.

§The p values for mean differences in a multivariable regression model, including each applicable factor and age (continuous).

Table 5 Factors associated with the Korean Healthy Eating Index scores by sex among cancer survivors

All values were presented as mean ± standard error.

*Unstandardized regression coefficient.